1. Overview
2. Implementing the Transceiver PHY Layer in L-Tile/H-Tile
3. PLLs and Clock Networks
4. Resetting Transceiver Channels
5. Stratix® 10 L-Tile/H-Tile Transceiver PHY Architecture
6. Reconfiguration Interface and Dynamic Reconfiguration
7. Calibration
8. Debugging Transceiver Links
A. Logical View of the L-Tile/H-Tile Transceiver Registers
2.1. Transceiver Design IP Blocks
2.2. Transceiver Design Flow
2.3. Configuring the Native PHY IP Core
2.4. Using the Stratix® 10 L-Tile/H-Tile Transceiver Native PHY Stratix® 10 FPGA IP Core
2.5. Implementing the PHY Layer for Transceiver Protocols
2.6. Unused or Idle Transceiver Channels
2.7. Simulating the Native PHY IP Core
2.8. Implementing the Transceiver Native PHY Layer in L-Tile/H-Tile Revision History
2.3.1. Protocol Presets
2.3.2. GXT Channels
2.3.3. General and Datapath Parameters
2.3.4. PMA Parameters
2.3.5. PCS-Core Interface Parameters
2.3.6. Analog PMA Settings Parameters
2.3.7. Enhanced PCS Parameters
2.3.8. Standard PCS Parameters
2.3.9. PCS Direct Datapath Parameters
2.3.10. Dynamic Reconfiguration Parameters
2.3.11. Generation Options Parameters
2.3.12. PMA, Calibration, and Reset Ports
2.3.13. PCS-Core Interface Ports
2.3.14. Enhanced PCS Ports
2.3.15. Standard PCS Ports
2.3.16. Transceiver PHY PCS-to-Core Interface Reference Port Mapping
2.3.17. IP Core File Locations
2.4.2.1. Receiver Word Alignment
2.4.2.2. Receiver Clock Compensation
2.4.2.3. Encoding/Decoding
2.4.2.4. Running Disparity Control and Check
2.4.2.5. FIFO Operation for the Enhanced PCS
2.4.2.6. Polarity Inversion
2.4.2.7. Data Bitslip
2.4.2.8. Bit Reversal
2.4.2.9. Byte Reversal
2.4.2.10. Double Rate Transfer Mode
2.4.2.11. Asynchronous Data Transfer
2.4.2.12. Low Latency
2.5.1.1. Transceiver Channel Datapath for PIPE
2.5.1.2. Supported PIPE Features
2.5.1.3. How to Connect TX PLLs for PIPE Gen1, Gen2, and Gen3 Modes
2.5.1.4. How to Implement PCI Express (PIPE) in Stratix® 10 Transceivers
2.5.1.5. Native PHY IP Core Parameter Settings for PIPE
2.5.1.6. fPLL IP Core Parameter Settings for PIPE
2.5.1.7. ATX PLL IP Core Parameter Settings for PIPE
2.5.1.8. Native PHY IP Core Ports for PIPE
2.5.1.9. fPLL Ports for PIPE
2.5.1.10. ATX PLL Ports for PIPE
2.5.1.11. Preset Mappings to TX De-emphasis
2.5.1.12. How to Place Channels for PIPE Configurations
2.5.1.13. Link Equalization for Gen3
2.5.1.14. Timing Closure Recommendations
3.1. PLLs
3.2. Input Reference Clock Sources
3.3. Transmitter Clock Network
3.4. Clock Generation Block
3.5. FPGA Fabric-Transceiver Interface Clocking
3.6. Double Rate Transfer Mode
3.7. Transmitter Data Path Interface Clocking
3.8. Receiver Data Path Interface Clocking
3.9. Channel Bonding
3.10. PLL Cascading Clock Network
3.11. Using PLLs and Clock Networks
3.12. PLLs and Clock Networks Revision History
4.1. When Is Reset Required?
4.2. Transceiver PHY Reset Controller Stratix® 10 FPGA IP Implementation
4.3. How Do I Reset?
4.4. Using PCS Reset Status Port
4.5. Using Transceiver PHY Reset Controller Stratix® 10 FPGA IP
4.6. Using a User-Coded Reset Controller
4.7. Combining Status or PLL Lock Signals with User Coded Reset Controller
4.8. Resetting Transceiver Channels Revision History
4.3.1.1. Resetting the Transmitter After Power Up
4.3.1.2. Resetting the Transmitter During Device Operation
4.3.1.3. Resetting the Receiver After Power Up
4.3.1.4. Resetting the Receiver During Device Operation (Auto Mode)
4.3.1.5. Clock Data Recovery in Manual Lock Mode
4.3.1.6. Special TX PCS Reset Release Sequence
5.1. PMA Architecture
5.2. Enhanced PCS Architecture
5.3. Stratix® 10 Standard PCS Architecture
5.4. Stratix® 10 PCI Express Gen3 PCS Architecture
5.5. PCS Support for GXT Channels
5.6. Square Wave Generator
5.7. PRBS Pattern Generator
5.8. PRBS Pattern Verifier
5.9. Loopback Modes
5.10. Stratix® 10 L-Tile/H-Tile Transceiver PHY Architecture Revision History
5.1.2.1.1. Programmable Differential On-Chip Termination (OCT)
5.1.2.1.2. Signal Detector
5.1.2.1.3. Continuous Time Linear Equalization (CTLE)
5.1.2.1.4. Variable Gain Amplifier (VGA)
5.1.2.1.5. Adaptive Parametric Tuning (ADAPT) Engine
5.1.2.1.6. Decision Feedback Equalization (DFE)
5.1.2.1.7. On-Die Instrumentation
5.2.1.1. TX Core FIFO
5.2.1.2. TX PCS FIFO
5.2.1.3. Interlaken Frame Generator
5.2.1.4. Interlaken CRC-32 Generator
5.2.1.5. 64B/66B Encoder and Transmitter State Machine (TX SM)
5.2.1.6. Scrambler
5.2.1.7. Interlaken Disparity Generator
5.2.1.8. TX Gearbox, TX Bitslip and Polarity Inversion
5.2.1.9. KR FEC Blocks
5.2.2.1. RX Gearbox, RX Bitslip, and Polarity Inversion
5.2.2.2. Block Synchronizer
5.2.2.3. Interlaken Disparity Checker
5.2.2.4. Descrambler
5.2.2.5. Interlaken Frame Synchronizer
5.2.2.6. 64B/66B Decoder and Receiver State Machine (RX SM)
5.2.2.7. 10GBASE-R Bit-Error Rate (BER) Checker
5.2.2.8. Interlaken CRC-32 Checker
5.2.2.9. RX PCS FIFO
5.2.2.10. RX Core FIFO
5.3.1.4.1. 8B/10B Encoder Control Code Encoding
5.3.1.4.2. 8B/10B Encoder Reset Condition
5.3.1.4.3. 8B/10B Encoder Idle Character Replacement Feature
5.3.1.4.4. 8B/10B Encoder Current Running Disparity Control Feature
5.3.1.4.5. 8B/10B Encoder Bit Reversal Feature
5.3.1.4.6. 8B/10B Encoder Byte Reversal Feature
5.3.2.1.1. Word Aligner Bitslip Mode
5.3.2.1.2. Word Aligner Manual Mode
5.3.2.1.3. Word Aligner Synchronous State Machine Mode
5.3.2.1.4. Word Aligner Deterministic Latency Mode
5.3.2.1.5. Word Aligner Pattern Length for Various Word Aligner Modes
5.3.2.1.6. Word Aligner RX Bit Reversal Feature
5.3.2.1.7. Word Aligner RX Byte Reversal Feature
5.3.2.6.1. Byte Deserializer Disabled Mode
5.3.2.6.2. Byte Deserializer Deserialize x2 Mode
5.3.2.6.3. Byte Deserializer Deserialize x4 Mode
5.3.2.6.4. Bonded Byte Deserializer
5.3.2.6.5. Byte Ordering Register-Transfer Level (RTL)
5.3.2.6.6. Byte Serializer Effects on Data Propagation at the RX Side
5.3.2.6.7. ModelSim Byte Ordering Analysis
6.1. Reconfiguring Channel and PLL Blocks
6.2. Interacting with the Reconfiguration Interface
6.3. Multiple Reconfiguration Profiles
6.4. Arbitration
6.5. Recommendations for Dynamic Reconfiguration
6.6. Steps to Perform Dynamic Reconfiguration
6.7. Direct Reconfiguration Flow
6.8. Native PHY IP or PLL IP Core Guided Reconfiguration Flow
6.9. Reconfiguration Flow for Special Cases
6.10. Changing Analog PMA Settings
6.11. Ports and Parameters
6.12. Dynamic Reconfiguration Interface Merging Across Multiple IP Blocks
6.13. Embedded Debug Features
6.14. Timing Closure Recommendations
6.15. Unsupported Features
6.16. Transceiver Register Map
6.17. Reconfiguration Interface and Dynamic Revision History
7.5.1. Recalibrating a Duplex Channel (Both PMA TX and PMA RX)
7.5.2. Recalibrating the PMA RX Only in a Duplex Channel
7.5.3. Recalibrating the PMA TX Only in a Duplex Channel
7.5.4. Recalibrating a PMA Simplex RX Only (No PMA Simplex TX Used)
7.5.5. Recalibrating a PMA Simplex TX Only (No PMA Simplex RX Used)
7.5.6. Recalibrating the PMA Simplex RX in a Channel where PMA Simplex RX and TX are Merged
7.5.7. Recalibrating the PMA Simplex TX in a Channel where PMA Simplex RX and TX are Merged
7.5.8. Recalibrating the fPLL
7.5.9. Recalibrating the ATX PLL
7.5.10. Recalibrating the CMU PLL When it is Used as a TX PLL
A.4.1. Transmitter PMA Logical Register Map
A.4.2. Receiver PMA Logical Register Map
A.4.3. Pattern Generators and Checkers
A.4.4. Loopback
A.4.5. Optional Reconfiguration Logic PHY- Capability
A.4.6. Optional Reconfiguration Logic PHY- Control & Status
A.4.7. Embedded Streamer (Native PHY)
A.4.8. Static Polarity Inversion
A.4.9. Reset
A.4.10. CDR/CMU and PMA Calibration
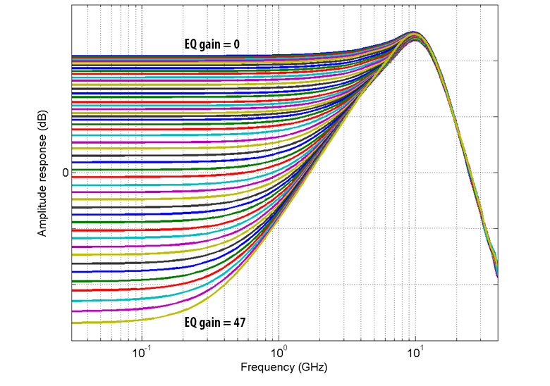
5.1.2.1.3. Continuous Time Linear Equalization (CTLE)
The CTLE boosts the signal that is attenuated due to channel characteristics. Each receiver buffer has independently programmable equalization circuits. These equalization circuits amplify the high-frequency component of the incoming signal by compensating for the low-pass characteristics of the physical medium. The CTLE supports AC gain and another setting called, EQ gain, that modifies the DC gain for equalization tuning.
Based on the AC gain selected, the EQ gain applies de-emphasis to the low-frequency spectrum for equalization. See the figures below for the relative effect of these settings on the frequency response of your signal.
Figure 190. Effect of AC Gain on the Frequency Response

Note: This plot was derived with EQ gain = 32. This is only an approximation and is expected to vary across PVT.
Figure 191. Effect of EQ Gain on the Frequency Response

Note: This plot was derived with AC gain = 15. This is only an approximation and is expected to vary across PVT.