1. Stratix® 10 Variable Precision DSP Blocks Overview
2. Block Architecture Overview
3. Operational Mode Descriptions
4. Design Considerations
5. Stratix® 10 Variable Precision DSP Blocks Implementation Guide
6. Native Fixed Point DSP Stratix® 10 FPGA IP Core References
7. Multiply Adder IP Core References
8. ALTMULT_COMPLEX Intel® FPGA IP Core References
9. LPM_MULT Intel® FPGA IP Core References
10. Native Floating Point DSP Stratix® 10 FPGA IP References
11. LPM_DIVIDE (Divider) Intel FPGA IP Core
12. Stratix® 10 Variable Precision DSP Blocks User Guide Document Archives
13. Document Revision History for the Stratix® 10 Variable Precision DSP Blocks User Guide
2.1. Input Register Bank for Fixed-Point and Floating-Point Arithmetic
2.2. Pipeline Registers for Fixed-Point and Floating-Point Arithmetic
2.3. Pre-adder for Fixed-Point Arithmetic
2.4. Internal Coefficient for Fixed-Point Arithmetic
2.5. Multipliers for Fixed-Point and Floating-Point Arithmetic
2.6. Adder or Subtractor for Fixed-Point and Floating-Point Arithmetic
2.7. Accumulator, Chainout Adder, and Preload Constant for Fixed-Point Arithmetic
2.8. Systolic Register for Fixed-Point Arithmetic
2.9. Double Accumulation Register for Fixed-Point Arithmetic
2.10. Output Register Bank for Fixed-Point and Floating-Point Arithmetic
2.11. Exception Handling for Floating-Point Arithmetic
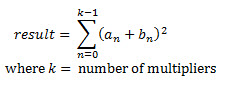
7.2.1.4. Pre-adder Square Mode
This mode is expressed in the following equation.

The following shows the pre-adder square mode of two multipliers.
Figure 36. Pre-adder Square Mode