Developer Reference for Intel® oneAPI Math Kernel Library for C
A newer version of this document is available. Customers should click here to go to the newest version.
?tgsja
Computes the generalized SVD of two upper triangular or trapezoidal matrices.
lapack_int LAPACKE_stgsja( int matrix_layout, char jobu, char jobv, char jobq, lapack_int m, lapack_int p, lapack_int n, lapack_int k, lapack_int l, float* a, lapack_int lda, float* b, lapack_int ldb, float tola, float tolb, float* alpha, float* beta, float* u, lapack_int ldu, float* v, lapack_int ldv, float* q, lapack_int ldq, lapack_int* ncycle );
lapack_int LAPACKE_dtgsja( int matrix_layout, char jobu, char jobv, char jobq, lapack_int m, lapack_int p, lapack_int n, lapack_int k, lapack_int l, double* a, lapack_int lda, double* b, lapack_int ldb, double tola, double tolb, double* alpha, double* beta, double* u, lapack_int ldu, double* v, lapack_int ldv, double* q, lapack_int ldq, lapack_int* ncycle );
lapack_int LAPACKE_ctgsja( int matrix_layout, char jobu, char jobv, char jobq, lapack_int m, lapack_int p, lapack_int n, lapack_int k, lapack_int l, lapack_complex_float* a, lapack_int lda, lapack_complex_float* b, lapack_int ldb, float tola, float tolb, float* alpha, float* beta, lapack_complex_float* u, lapack_int ldu, lapack_complex_float* v, lapack_int ldv, lapack_complex_float* q, lapack_int ldq, lapack_int* ncycle );
lapack_int LAPACKE_ztgsja( int matrix_layout, char jobu, char jobv, char jobq, lapack_int m, lapack_int p, lapack_int n, lapack_int k, lapack_int l, lapack_complex_double* a, lapack_int lda, lapack_complex_double* b, lapack_int ldb, double tola, double tolb, double* alpha, double* beta, lapack_complex_double* u, lapack_int ldu, lapack_complex_double* v, lapack_int ldv, lapack_complex_double* q, lapack_int ldq, lapack_int* ncycle );
- mkl.h
The routine computes the generalized singular value decomposition (GSVD) of two real/complex upper triangular (or trapezoidal) matrices A and B. On entry, it is assumed that matrices A and B have the following forms, which may be obtained by the preprocessing subroutine ggsvp from a general m-by-n matrix A and p-by-n matrix B:



where the k-by-k matrix A12 and l-by-l matrix B13 are nonsingular upper triangular; A23 is l-by-l upper triangular if m-k-l≥0, otherwise A23 is (m-k)-by-l upper trapezoidal.
On exit,
UH*A*Q = D1*(0 R), VH*B*Q = D2*(0 R),
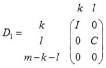
where U, V and Q are orthogonal/unitary matrices, R is a nonsingular upper triangular matrix, and D1 and D2 are "diagonal" matrices, which are of the following structures:
If m-k-l≥0,



where
C = diag(alpha[k],...,alpha[k+l-1])
S = diag(beta[k],...,beta[k+l-1])
C2 + S2 = I
R is stored in a(1:k+l, n-k-l+1:n ) on exit.
If m-k-l < 0,



where
C = diag(alpha[k],...,alpha[m-1]),
S = diag(beta[k],...,beta[m-1]),
C2 + S2 = I
On exit, is stored in a(1:m, n-k-l+1:n ) and R33 is stored
in b(m-k+1:l, n+m-k-l+1:n ).
The computation of the orthogonal/unitary transformation matrices U, V or Q is optional. These matrices may either be formed explicitly, or they may be postmultiplied into input matrices U1, V1, or Q1.
- matrix_layout
-
Specifies whether matrix storage layout is row major (LAPACK_ROW_MAJOR) or column major (LAPACK_COL_MAJOR).
- jobu
-
Must be 'U', 'I', or 'N'.
If jobu = 'U', u must contain an orthogonal/unitary matrix U1 on entry.
If jobu = 'I', u is initialized to the unit matrix.
If jobu = 'N', u is not computed.
- jobv
-
Must be 'V', 'I', or 'N'.
If jobv = 'V', v must contain an orthogonal/unitary matrix V1 on entry.
If jobv = 'I', v is initialized to the unit matrix.
If jobv = 'N', v is not computed.
- jobq
-
Must be 'Q', 'I', or 'N'.
If jobq = 'Q', q must contain an orthogonal/unitary matrix Q1 on entry.
If jobq = 'I', q is initialized to the unit matrix.
If jobq = 'N', q is not computed.
- m
-
The number of rows of the matrix A (m≥ 0).
- p
-
The number of rows of the matrix B (p≥ 0).
- n
-
The number of columns of the matrices A and B (n≥ 0).
- k, l
-
Specify the subblocks in the input matrices A and B, whose GSVD is computed.
- a, b, u, v, q
-
Arrays:
a(size at least max(1, lda*n) for column major layout and max(1, lda*m) for row major layout) contains the m-by-n matrix A.
b(size at least max(1, ldb*n) for column major layout and max(1, ldb*p) for row major layout) contains the p-by-n matrix B.
If jobu = 'U', u (size max(1, ldu*m)) must contain a matrix U1 (usually the orthogonal/unitary matrix returned by ?ggsvp).
If jobv = 'V', v (size at least max(1, ldv*p)) must contain a matrix V1 (usually the orthogonal/unitary matrix returned by ?ggsvp).
If jobq = 'Q', q (size at least max(1, ldq*n)) must contain a matrix Q1 (usually the orthogonal/unitary matrix returned by ?ggsvp).
- lda
-
The leading dimension of a; at least max(1, m)for column major layout and max(1, n) for row major layout.
- ldb
-
The leading dimension of b; at least max(1, p) for column major layout and max(1, n) for row major layout.
- ldu
-
The leading dimension of the array u .
ldu≥ max(1, m) if jobu = 'U'; ldu≥ 1 otherwise.
- ldv
-
The leading dimension of the array v .
ldv≥ max(1, p) if jobv = 'V'; ldv≥ 1 otherwise.
- ldq
-
The leading dimension of the array q .
ldq≥ max(1, n) if jobq = 'Q'; ldq≥ 1 otherwise.
- tola, tolb
-
tola and tolb are the convergence criteria for the Jacobi-Kogbetliantz iteration procedure. Generally, they are the same as used in ?ggsvp:
tola = max(m, n)*|A|*MACHEPS,
tolb = max(p, n)*|B|*MACHEPS.
- a
-
On exit, a(n-k+1:n, 1:min(k+l, m)) contains the triangular matrix R or part of R.
- b
-
On exit, if necessary, b(m-k+1: l, n+m-k-l+1: n)) contains a part of R.
- alpha, beta
-
Arrays, size at least max(1, n). Contain the generalized singular value pairs of A and B:
alpha(1:k) = 1,
beta(1:k) = 0,
and if m-k-l≥ 0,
alpha(k+1:k+l) = diag(C),
beta(k+1:k+l) = diag(S),
or if m-k-l < 0,
alpha(k+1:m)= diag(C), alpha(m+1:k+l)=0
beta(k+1:m) = diag(S),
beta(m+1:k+l) = 1.
Furthermore, if k+l < n,
alpha(k+l+1:n)= 0 and
beta(k+l+1:n) = 0.
- u
-
If jobu = 'I', u contains the orthogonal/unitary matrix U.
If jobu = 'U', u contains the product U1*U.
If jobu = 'N', u is not referenced.
- v
-
If jobv = 'I', v contains the orthogonal/unitary matrix U.
If jobv = 'V', v contains the product V1*V.
If jobv = 'N', v is not referenced.
- q
-
If jobq = 'I', q contains the orthogonal/unitary matrix U.
If jobq = 'Q', q contains the product Q1*Q.
If jobq = 'N', q is not referenced.
- ncycle
-
The number of cycles required for convergence.
This function returns a value info.
If info=0, the execution is successful.
If info = -i, the i-th parameter had an illegal value.
If info = 1, the procedure does not converge after MAXIT cycles.