Developer Reference for Intel® oneAPI Math Kernel Library for C
A newer version of this document is available. Customers should click here to go to the newest version.
?ggsvd
Computes the generalized singular value decomposition of a pair of general rectangular matrices (deprecated).
lapack_int LAPACKE_sggsvd( int matrix_layout, char jobu, char jobv, char jobq, lapack_int m, lapack_int n, lapack_int p, lapack_int* k, lapack_int* l, float* a, lapack_int lda, float* b, lapack_int ldb, float* alpha, float* beta, float* u, lapack_int ldu, float* v, lapack_int ldv, float* q, lapack_int ldq, lapack_int* iwork );
lapack_int LAPACKE_dggsvd( int matrix_layout, char jobu, char jobv, char jobq, lapack_int m, lapack_int n, lapack_int p, lapack_int* k, lapack_int* l, double* a, lapack_int lda, double* b, lapack_int ldb, double* alpha, double* beta, double* u, lapack_int ldu, double* v, lapack_int ldv, double* q, lapack_int ldq, lapack_int* iwork );
lapack_int LAPACKE_cggsvd( int matrix_layout, char jobu, char jobv, char jobq, lapack_int m, lapack_int n, lapack_int p, lapack_int* k, lapack_int* l, lapack_complex_float* a, lapack_int lda, lapack_complex_float* b, lapack_int ldb, float* alpha, float* beta, lapack_complex_float* u, lapack_int ldu, lapack_complex_float* v, lapack_int ldv, lapack_complex_float* q, lapack_int ldq, lapack_int* iwork );
lapack_int LAPACKE_zggsvd( int matrix_layout, char jobu, char jobv, char jobq, lapack_int m, lapack_int n, lapack_int p, lapack_int* k, lapack_int* l, lapack_complex_double* a, lapack_int lda, lapack_complex_double* b, lapack_int ldb, double* alpha, double* beta, lapack_complex_double* u, lapack_int ldu, lapack_complex_double* v, lapack_int ldv, lapack_complex_double* q, lapack_int ldq, lapack_int* iwork );
- mkl.h
This routine is deprecated; use ggsvd3.
The routine computes the generalized singular value decomposition (GSVD) of an m-by-n real/complex matrix A and p-by-n real/complex matrix B:
U'*A*Q = D1*(0 R), V'*B*Q = D2*(0 R),
where U, V and Q are orthogonal/unitary matrices and U', V' mean transpose/conjugate transpose of U and V respectively.
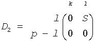
Let k+l = the effective numerical rank of the matrix (A', B')', then R is a (k+l)-by-(k+l) nonsingular upper triangular matrix, D1 and D2 are m-by-(k+l) and p-by-(k+l) "diagonal" matrices and of the following structures, respectively:
If m-k-l≥0,



where
C = diag(alpha[k],..., alpha[k + l - 1])
S = diag(beta[k],...,beta[k + l - 1])
C2 + S2 = I
Nonzero element ri j (1 ≤i≤j≤k + l) of R is stored in a[(i - 1) + (n - k - l + j - 1)*lda] for column major layout and in a[(i - 1)*lda + (n - k - l + j - 1)] for row major layout.
If m-k-l < 0,



where
C = diag(alpha[k],..., alpha(m)),
S = diag(beta[k],...,beta[m - 1]),
C2 + S2 = I
On exit, the location of nonzero element ri j (1 ≤i≤j≤k + l) of R depends on the value of i. For i≤m this element is stored in a[(i - 1) + (n - k - l + j - 1)*lda] for column major layout and in a[(i - 1)*lda + (n - k - l + j - 1)] for row major layout. For m < i≤k + l it is stored in b[(i - k - 1) + (n - k - l + j - 1)*ldb] for column major layout and in b[(i - k - 1)*ldb + (n - k - l + j - 1)] for row major layout.
The routine computes C, S, R, and optionally the orthogonal/unitary transformation matrices U, V and Q.
In particular, if B is an n-by-n nonsingular matrix, then the GSVD of A and B implicitly gives the SVD of A*B-1:
A*B-1 = U*(D1*D2-1)*V'.
If (A', B')' has orthonormal columns, then the GSVD of A and B is also equal to the CS decomposition of A and B. Furthermore, the GSVD can be used to derive the solution of the eigenvalue problem:
A'**A*x = λ*B'*B*x.
- matrix_layout
-
Specifies whether matrix storage layout is row major (LAPACK_ROW_MAJOR) or column major (LAPACK_COL_MAJOR).
- jobu
-
Must be 'U' or 'N'.
If jobu = 'U', orthogonal/unitary matrix U is computed.
If jobu = 'N', U is not computed.
- jobv
-
Must be 'V' or 'N'.
If jobv = 'V', orthogonal/unitary matrix V is computed.
If jobv = 'N', V is not computed.
- jobq
-
Must be 'Q' or 'N'.
If jobq = 'Q', orthogonal/unitary matrix Q is computed.
If jobq = 'N', Q is not computed.
- m
-
The number of rows of the matrix A (m≥ 0).
- n
-
The number of columns of the matrices A and B (n≥ 0).
- p
-
The number of rows of the matrix B (p≥ 0).
- a, b
-
Arrays:
a(size at least max(1, lda*n) for column major layout and max(1, lda*m) for row major layout) contains the m-by-n matrix A.
b(size at least max(1, ldb*n) for column major layout and max(1, ldb*p) for row major layout) contains the p-by-n matrix B.
- lda
-
The leading dimension of a; at least max(1, m)for column major layout and max(1, n) for row major layout.
- ldb
-
The leading dimension of b; at least max(1, p)for column major layout and max(1, n) for row major layout.
- ldu
-
The leading dimension of the array u .
ldu≥ max(1, m) if jobu = 'U'; ldu≥ 1 otherwise.
- ldv
-
The leading dimension of the array v .
ldv≥ max(1, p) if jobv = 'V'; ldv≥ 1 otherwise.
- ldq
-
The leading dimension of the array q .
ldq≥ max(1, n) if jobq = 'Q'; ldq≥ 1 otherwise.
- k, l
-
On exit, k and l specify the dimension of the subblocks. The sum k+l is equal to the effective numerical rank of (A', B')'.
- a
-
On exit, a contains the triangular matrix R or part of R.
- b
-
On exit, b contains part of the triangular matrix R if m-k-l < 0.
- alpha, beta
-
Arrays, size at least max(1, n) each.
Contain the generalized singular value pairs of A and B:
alpha(1:k) = 1,
beta(1:k) = 0,
and if m-k-l≥ 0,
alpha(k+1:k+l) = C,
beta(k+1:k+l) = S,
or if m-k-l < 0,
alpha(k+1:m)= C, alpha(m+1:k+l)=0
beta(k+1:m) = S, beta(m+1:k+l) = 1
and
alpha(k+l+1:n) = 0
beta(k+l+1:n) = 0.
- u, v, q
-
Arrays:
u, size at least max(1, ldu*m).
If jobu = 'U', u contains the m-by-m orthogonal/unitary matrix U.
If jobu = 'N', u is not referenced.
v, size at least max(1, ldv*p).
If jobv = 'V', v contains the p-by-p orthogonal/unitary matrix V.
If jobv = 'N', v is not referenced.
q, size at least max(1, ldq*n).
If jobq = 'Q', q contains the n-by-n orthogonal/unitary matrix Q.
If jobq = 'N', q is not referenced.
- iwork
-
On exit, iwork stores the sorting information.
This function returns a value info.
If info=0, the execution is successful.
If info = -i, the i-th parameter had an illegal value.
If info = 1, the Jacobi-type procedure failed to converge. For further details, see subroutine tgsja.