Intel® oneAPI Data Analytics Library Developer Guide and Reference
A newer version of this document is available. Customers should click here to go to the newest version.
Normal Distribution
Generates normally distributed random numbers.
Details
Normal (Gaussian) random number generator fills the input n x p numeric table with Gaussian random numbers with mean α and standard deviation σ, where α, σ∈R and σ > 0. The probability density function is given by:

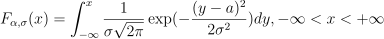
The cumulative distribution function is as follows:

Batch Processing
Algorithm Parameters
Normal distribution algorithm has the following parameters in addition to the common parameters specified in Distributions:
Parameter |
Default Value |
Description |
---|---|---|
algorithmFPType |
float |
The floating-point type that the algorithm uses for intermediate computations. Can be float or double. |
method |
defaultDense |
Performance-oriented computation method, the only method supported by the algorithm. The only method supported so far is the Inverse Cumulative Distribution Function (ICDF) method. |
a |
0 |
The mean |
sigma |
1 |
The standard deviation |
Examples
Python*
Batch Processing: