Intel® oneAPI Data Analytics Library Developer Guide and Reference
A newer version of this document is available. Customers should click here to go to the newest version.
Cross-entropy Loss
Cross-entropy loss is an objective function minimized in the process of logistic regression training when a dependent variable takes more than two values.
Details
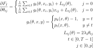
Given n feature vectors of np-dimensional feature vectors, a vector of class labels
, where
describes the class, to which the feature vector
belongs, where T is the number of classes, optimization solver optimizes cross-entropy loss objective function by argument
, it is a matrix of size
. The cross entropy loss objective function
has the following format
where
, with
and
,
,
For a given set of indices ,
,
, the value and the gradient of the sum of functions in the argument X respectively have the format:


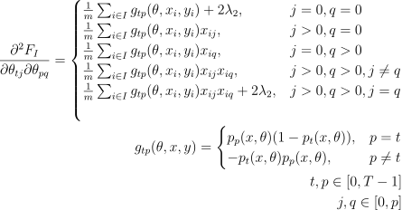
where

Hessian matrix is a symmetric matrix of size , where


, where
is the learning rate
For more details, see [Hastie2009].
Computation
Algorithm Input
The cross entropy loss algorithm accepts the input described below. Pass the Input ID as a parameter to the methods that provide input for your algorithm. For more details, see Algorithms.
Input ID |
Input |
argument |
A numeric table of size
NOTE:
The sizes of the argument, gradient, and hessian numeric tables do not depend on interceptFlag. When interceptFlag is set to false, the computation of
![]() |
data |
A numeric table of size
NOTE:
This parameter can be an object of any class derived from NumericTable.
|
dependentVariables |
A numeric table of size
NOTE:
This parameter can be an object of any class derived from NumericTable, except for PackedTriangularMatrix , PackedSymmetricMatrix , and CSRNumericTable.
|
Algorithm Parameters
The cross entropy loss algorithm has the following parameters. Some of them are required only for specific values of the computation method’s parameter method:
Parameter |
Default value |
Description |
algorithmFPType |
float |
The floating-point type that the algorithm uses for intermediate computations. Can be float or double. |
method |
defaultDense |
Performance-oriented computation method. |
numberOfTerms |
Not applicable |
The number of terms in the objective function. |
batchIndices |
Not applicable |
The numeric table of size
NOTE:
This parameter can be an object of any class derived from NumericTable except PackedTriangularMatrix and PackedSymmetricMatrix .
|
resultsToCompute |
gradient |
The 64-bit integer flag that specifies which characteristics of the objective function to compute. Provide one of the following values to request a single characteristic or use bitwise OR to request a combination of the characteristics:
|
interceptFlag |
true |
A flag that indicates a need to compute |
penaltyL1 |
0 |
L1 regularization coefficient |
penaltyL2 |
0 |
L2 regularization coefficient |
nClasses |
Not applicable |
The number of classes (different values of dependent variable) |
Algorithm Output
For the output of the cross entropy loss algorithm, see Output for objective functions.