Intel® oneAPI Data Analytics Library Developer Guide and Reference
A newer version of this document is available. Customers should click here to go to the newest version.
Adaptive Subgradient Method
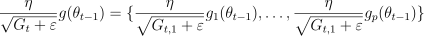
The adaptive subgradient method (AdaGrad) [Duchi2011] follows the algorithmic framework of an iterative solver with the algorithm-specific transformation T, set of intrinsic parameters
defined for the learning rate
, and algorithm-specific vector U and power d of Lebesgue space defined as follows:
:
, where
is the i-th coordinate of the gradient 
, where
Convergence check: 
Computation
The adaptive subgradient (AdaGrad) method is a special case of an iterative solver. For parameters, input, and output of iterative solvers, see Computation for Iterative Solver.
Algorithm Input
In addition to the input of the iterative solver, the AdaGrad method accepts the following optional input:
OptionalDataID |
Input |
|---|---|
gradientSquareSum |
A numeric table of size |
Algorithm Parameters
In addition to parameters of the iterative solver, the AdaGrad method has the following parameters:
Parameter |
Default Value |
Description |
|---|---|---|
algorithmFPType |
float |
The floating-point type that the algorithm uses for intermediate computations. Can be float or double. |
method |
defaultDense |
Default performance-oriented computation method. |
batchIndices |
NULL |
A numeric table of size |
batchSize |
128 |
The number of batch indices to compute the stochastic gradient. If batchSize equals the number of terms in the objective function, no random sampling is performed, and all terms are used to calculate the gradient. The algorithm ignores this parameter if the batchIndices parameter is provided. |
learningRate |
A numeric table of size |
A numeric table of size
NOTE:
This parameter can be an object of any class derived from NumericTable, except for PackedTriangularMatrix, PackedSymmetricMatrix, and CSRNumericTable.
|
degenerateCasesThreshold |
|
Value |
engine |
SharePtr< engines:: mt19937:: Batch>() |
Pointer to the random number generator engine that is used internally for generation of 32-bit integer indices of terms in the objective function. |
Algorithm Output
In addition to the output of the iterative solver, the AdaGrad method calculates the following optional result:
OptionalDataID |
Output |
|---|---|
gradientSquareSum |
A numeric table of size |
with the values of
. Each value is an accumulated sum of squares of coordinate values of a corresponding gradient.
for the defaultDense method that represents 32-bit integer indices of terms in the objective function. If no indices are provided, the algorithm generates random indices.
that contains the default step length equal to 0.01.
needed to avoid degenerate cases when computing square roots.