Intel® oneAPI Data Analytics Library Developer Guide and Reference
A newer version of this document is available. Customers should click here to go to the newest version.
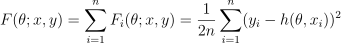
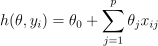
Mean Squared Error Algorithm
Details
Given , a set of feature vectors
, and a set of respective responses
, the mean squared error (MSE) objective function
is a function that has the format:



In oneDAL implementation of the MSE, the is represented as:

For a given set of the indices ,
,
,
, the value and the gradient of the sum of functions in the argument x respectively have the format:


where


Computation
Algorithm Input
The mean squared error algorithm accepts the input described below. Pass the Input ID as a parameter to the methods that provide input for your algorithm. For more details, see Algorithms.
Input ID |
Input |
argument |
A numeric table of size |
data |
A numeric table of size |
dependentVariables |
A numeric table of size |
Optional Algorithm Input
The mean squared error algorithm accepts the optional input described below. Pass the Optional Input ID as a parameter to the methods that provide input for your algorithm. For more details, see Algorithms.
Input ID |
Input |
weights |
Optional input. Pointer to the By default, all weights are equal to 1. |
gramMatrix |
Optional input. Pointer to the By default, the table is set to empty numeric table. |
Algorithm Parameters
The mean squared error algorithm has the following parameters. Some of them are required only for specific values of the computation method parameter method:
Parameter |
Default value |
Description |
penaltyL1 |
0 |
The numeric table of size |
penaltyL2 |
0 |
The numeric table of size |
interceptFlag |
true |
Flag to indicate whether or not to compute the intercept. |
algorithmFPType |
float |
The floating-point type that the algorithm uses for intermediate computations. Can be float or double. |
method |
defaultDense |
Performance-oriented computation method. |
numberOfTerms |
Not applicable |
The number of terms in the objective function. |
batchIndices |
Not applicable |
The numeric table of size
NOTE:
This parameter can be an object of any class derived from NumericTable except for PackedTriangularMatrix and PackedSymmetricMatrix.
|
resultsToCompute |
gradient |
The 64-bit integer flag that specifies which characteristics of the objective function to compute. Provide one of the following values to request a single characteristic or use bitwise OR to request a combination of the characteristics:
|
Algorithm Output
For the output of the mean squared error algorithm, see Output for objective functions.