Intel® oneAPI Data Analytics Library Developer Guide and Reference
A newer version of this document is available. Customers should click here to go to the newest version.
Logistic Regression
Logistic regression is a method for modeling the relationships between one or more explanatory variables and a categorical variable by expressing the posterior statistical distribution of the categorical variable via linear functions on observed data. If the categorical variable is binary, taking only two values, “0” and “1”, the logistic regression is simple, otherwise, it is multinomial.
Details
Given n feature vectors of n p-dimensional feature vectors a vector of class labels , where
and K is the number of classes, describes the class to which the feature vector
belongs, the problem is to train a logistic regression model.
The logistic regression model is the set of vectors that gives the posterior probability

for a given feature vector and class label
for each
. See [Hastie2009].
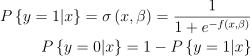
If the categorical variable is binary, the model is defined as a single vector that determines the posterior probability

Training Stage
Training procedure is an iterative algorithm which minimizes objective function

where the first term is the negative log-likelihood of conditional Y given X, and the latter terms are regularization ones that penalize the complexity of the model (large values),
and
are non-negative regularization parameters applied to L1 and L2 norm of vectors in
.
For more details, see [Hastie2009], [Bishop2006].
For the objective function minimization the library supports the iterative algorithms defined by the interface of daal::algorithms::iterative_solver. See Iterative Solver.
Prediction Stage
Given logistic regression model and vectors , the problem is to calculate the responses for those vectors, and their probabilities and logarithms of probabilities if required. The computation is based on formula (1) in multinomial case and on formula (2) in binary case.
Usage of Training Alternative
To build a Logistic Regression model using methods of the Model Builder class of Logistic Regression, complete the following steps:
Create a Logistic Regression model builder using a constructor with the required number of responses and features.
Use the setBeta method to add the set of pre-calculated coefficients to the model. Specify random access iterators to the first and the last element of the set of coefficients [ISO/IEC 14882:2011 §24.2.7]_.
NOTE:If your set of coefficients does not contain an intercept, interceptFlag is automatically set to False, and to True, otherwise.Use the getModel method to get the trained Logistic Regression model.
Use the getStatus method to check the status of the model building process. If DAAL_NOTHROW_EXCEPTIONS macros is defined, the status report contains the list of errors that describe the problems API encountered (in case of API runtime failure).

Examples
C++ (CPU)
Python*
Batch Processing
Logistic regression algorithm follows the general workflow described in Classification Usage Model.
Training
For a description of the input and output, refer to Classification Usage Model.
In addition to the parameters of classifier described in Classification Usage Model, the logistic regression batch training algorithm has the following parameters:
Parameter |
Default Value |
Description |
---|---|---|
algorithmFPType |
float |
The floating-point type that the algorithm uses for intermediate computations. Can be float or double. |
method |
defaultDense |
The computation method used by the logistic regression. The only training method supported so far is the default dense method. |
nClasses |
Not applicable |
The number of classes. A required parameter. |
interceptFlag |
True |
A flag that indicates a need to compute |
penaltyL1 |
0 |
L1 regularization coefficient
NOTE:
L1 regularization is not supported on GPU.
|
penaltyL2 |
0 |
L2 regularization coefficient |
optimizationSolver |
All iterative solvers are available as optimization procedures to use at the training stage: |
Prediction
For a description of the input, refer to Classification Usage Model.
At the prediction stage logistic regression batch algorithm has the following parameters:
Parameter |
Default Value |
Description |
---|---|---|
algorithmFPType |
float |
The floating-point type that the algorithm uses for intermediate computations. Can be float or double. |
method |
defaultDense |
The computation method used by logistic regression. The only prediction method supported so far is the default dense method. |
nClasses |
Not applicable |
The number of classes. A required parameter. |
resultsToCompute |
computeClassesLabels |
The 64-bit integer flag that specifies which extra characteristics of the logistic regression to compute. Provide one of the following values to request a single characteristic or use bitwise OR to request a combination of the characteristics:
|
Output
In addition to classifier output, logistic regression prediction calculates the result described below. Pass the Result ID as a parameter to the methods that access the results of your algorithm.
Result ID |
Result |
---|---|
probabilities |
A numeric table of size |
logProbabilities |
A numeric table of size |
If resultsToCompute does not contain computeClassesLabels, the prediction table is NULL.
If resultsToCompute does not contain computeClassesProbabilities, the probabilities table is NULL.
If resultsToCompute does not contain computeClassesLogProbabilities, the logProbabilities table is NULL.
By default, each numeric table of this result is an object of the HomogenNumericTable class, but you can define the result as an object of any class derived from NumericTable except for PackedSymmetricMatrix and PackedTriangularMatrix.
Examples
C++ (CPU)
Batch Processing:
Python*
Batch Processing: