Variable Precision DSP Blocks User Guide: Agilex™ 5 FPGAs and SoCs
                    
                        ID
                        813968
                    
                
                
                    Date
                    8/06/2025
                
                
                    Public
                
            
                
                    
                        1. Agilex™ 5 Variable Precision DSP Blocks Overview
                    
                    
                
                    
                        2. Agilex™ 5 Variable Precision DSP Blocks Architecture
                    
                    
                
                    
                        3. Agilex™ 5 Variable Precision DSP Blocks Operational Modes
                    
                    
                
                    
                        4. Agilex™ 5 Variable Precision DSP Blocks Design Considerations
                    
                    
                
                    
                        5. Native Fixed Point DSP Agilex FPGA IP References
                    
                    
                
                    
                        6. Native Floating Point DSP Agilex FPGA IP References
                    
                    
                
                    
                        7. Native AI Optimized DSP Agilex™ FPGA IP References
                    
                    
                
                    
                        8. Multiply Adder FPGA IP References
                    
                    
                
                    
                        9. ALTMULT_COMPLEX FPGA IP References
                    
                    
                
                    
                        10. LPM_MULT FPGA IP References
                    
                    
                
                    
                        11. LPM_DIVIDE (Divider) FPGA IP References
                    
                    
                
                    
                    
                        12. Document Revision History for the Variable Precision DSP Blocks User Guide: Agilex™ 5 FPGAs and SoCs
                    
                
            
        
                                    
                                    
                                        
                                        
                                            2.1.1. Input Register Bank for Fixed-point Arithmetic
                                        
                                        
                                    
                                        
                                        
                                            2.1.2. Pipeline Registers for Fixed-point Arithmetic
                                        
                                        
                                    
                                        
                                        
                                            2.1.3. Pre-adder for Fixed-point Arithmetic
                                        
                                        
                                    
                                        
                                        
                                            2.1.4. Internal Coefficient for Fixed-point Arithmetic
                                        
                                        
                                    
                                        
                                        
                                            2.1.5. Multipliers for Fixed-point Arithmetic
                                        
                                        
                                    
                                        
                                        
                                            2.1.6. Adder or Subtractor for Fixed-point Arithmetic
                                        
                                        
                                    
                                        
                                        
                                            2.1.7. Accumulator, Chainout Adder, and Preload Constant for Fixed-point Arithmetic
                                        
                                        
                                    
                                        
                                        
                                            2.1.8. Systolic Register for Fixed-point Arithmetic
                                        
                                        
                                    
                                        
                                        
                                            2.1.9. Double Accumulation Register for Fixed-point Arithmetic
                                        
                                        
                                    
                                        
                                        
                                            2.1.10. Output Register Bank for Fixed-point Arithmetic
                                        
                                        
                                    
                                
                            
                                    
                                    
                                        
                                        
                                            2.2.1. Input Register Bank for Floating-point Arithmetic
                                        
                                        
                                    
                                        
                                        
                                            2.2.2. Pipeline Registers for Floating-point Arithmetic
                                        
                                        
                                    
                                        
                                        
                                            2.2.3. Multipliers for Floating-point Arithmetic
                                        
                                        
                                    
                                        
                                        
                                            2.2.4. Adder or Subtractor for Floating-point Arithmetic
                                        
                                        
                                    
                                        
                                        
                                            2.2.5. Output Register Bank for Floating-point Arithmetic
                                        
                                        
                                    
                                        
                                        
                                            2.2.6. Exception Handling for Floating-point Arithmetic
                                        
                                        
                                    
                                
                            
                                                
                                                
                                                    
                                                    
                                                        3.2.2.1. FP16 Supported Precision Formats
                                                    
                                                    
                                                
                                                    
                                                    
                                                        3.2.2.2. Sum of Two FP16 Multiplication Mode
                                                    
                                                    
                                                
                                                    
                                                    
                                                        3.2.2.3. Sum of Two FP16 Multiplication with FP32 Addition Mode
                                                    
                                                    
                                                
                                                    
                                                    
                                                        3.2.2.4. Sum of Two FP16 Multiplication with Accumulation Mode
                                                    
                                                    
                                                
                                                    
                                                    
                                                        3.2.2.5. FP16 Vector One Mode
                                                    
                                                    
                                                
                                                    
                                                    
                                                        3.2.2.6. FP16 Vector Two Mode
                                                    
                                                    
                                                
                                                    
                                                    
                                                        3.2.2.7. FP16 Vector Three Mode
                                                    
                                                    
                                                
                                            
                                        
                        
                        
                            
                            
                                5.1. Native Fixed Point DSP Agilex™ FPGA IP Release Information
                            
                        
                            
                            
                                5.2. Supported Operational Modes
                            
                        
                            
                                5.3. Maximum Input Data Width for Fixed-point Arithmetic
                            
                            
                        
                            
                            
                                5.4. Maximum Output Data Width for Fixed-point Arithmetic
                            
                        
                            
                                5.5. Parameterizing Native Fixed Point DSP IP
                            
                            
                        
                            
                                5.6. Native Fixed Point DSP Agilex™ FPGA IP Signals
                            
                            
                        
                            
                            
                                5.7. IP Migration
                            
                        
                    
                
                                    
                                    
                                        
                                        
                                            6.4.1. FP32 Multiplication Mode Signals
                                        
                                        
                                    
                                        
                                        
                                            6.4.2. FP32 Addition or Subtraction Mode Signals
                                        
                                        
                                    
                                        
                                        
                                            6.4.3. FP32 Multiplication with Addition or Subtraction Mode Signals
                                        
                                        
                                    
                                        
                                        
                                            6.4.4. FP32 Multiplication with Accumulation Mode Signals
                                        
                                        
                                    
                                        
                                        
                                            6.4.5. FP32 Vector One and Vector Two Modes Signals
                                        
                                        
                                    
                                        
                                        
                                            6.4.6. Sum of Two FP16 Multiplication Mode Signals
                                        
                                        
                                    
                                        
                                        
                                            6.4.7. Sum of Two FP16 Multiplication with FP32 Addition Mode Signals
                                        
                                        
                                    
                                        
                                        
                                            6.4.8. Sum of Two FP16 Multiplication with Accumulation Mode Signals
                                        
                                        
                                    
                                        
                                        
                                            6.4.9. FP16 Vector One and Vector Two Modes Signals
                                        
                                        
                                    
                                        
                                        
                                            6.4.10. FP16 Vector Three Mode Signals
                                        
                                        
                                    
                                
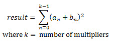
                            8.2.1.4. Pre-adder Square Mode
This mode is expressed in the following equation.
 
    The following shows the pre-adder square mode of two multipliers.
   Figure 87. Pre-adder Square Mode