Developer Reference for Intel® oneAPI Math Kernel Library for Fortran
A newer version of this document is available. Customers should click here to go to the newest version.
vRngExponential
Generates exponentially distributed random numbers.
status = vsrngexponential( method, stream, n, r, a, beta )
status = vdrngexponential( method, stream, n, r, a, beta )
- mkl.fi, mkl_vsl.f90
Name |
Type |
Description |
---|---|---|
method |
INTEGER, INTENT(IN) |
Generation method. The specific values are as follows: VSL_RNG_METHOD_EXPONENTIAL_ICDF VSL_RNG_METHOD_EXPONENTIAL_ICDF_ACCURATE Inverse cumulative distribution function method |
stream |
TYPE (VSL_STREAM_STATE), INTENT(IN) |
Descriptor of the stream state structure. |
n |
INTEGER, INTENT(IN) |
Number of random values to be generated |
a |
DOUBLE PRECISION for vdrngexponential REAL(KIND=4), INTENT(IN) for vsrngexponential REAL(KIND=8), INTENT(IN) for vdrngexponential |
Displacement a |
beta |
DOUBLE PRECISION for vdrngexponential REAL(KIND=4), INTENT(IN) for vsrngexponential REAL(KIND=8), INTENT(IN) for vdrngexponential |
Scalefactor β. |
Name |
Type |
Description |
---|---|---|
r |
DOUBLE PRECISION for vdrngexponential REAL(KIND=4), INTENT(OUT) for vsrngexponential REAL(KIND=8), INTENT(OUT) for vdrngexponential |
Vector of n exponentially distributed random numbers |
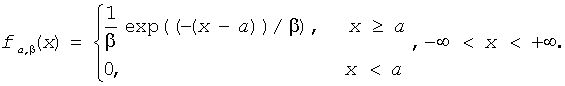
The vRngExponential function generates random numbers with exponential distribution that has displacement a and scalefactor β, where a, β∈R ; β > 0.
The probability density function is given by:

The cumulative distribution function is as follows:

Product and Performance Information |
---|
Performance varies by use, configuration and other factors. Learn more at www.Intel.com/PerformanceIndex. Notice revision #20201201 |
- VSL_ERROR_OK, VSL_STATUS_OK
-
Indicates no error, execution is successful.
- VSL_ERROR_NULL_PTR
-
stream is a NULL pointer.
- VSL_RNG_ERROR_BAD_STREAM
-
stream is not a valid random stream.
- VSL_RNG_ERROR_BAD_UPDATE
-
Callback function for an abstract BRNG returns an invalid number of updated entries in a buffer, that is, < 0 or > nmax.
- VSL_RNG_ERROR_NO_NUMBERS
-
Callback function for an abstract BRNG returns 0 as the number of updated entries in a buffer.
- VSL_RNG_ERROR_QRNG_PERIOD_ELAPSED
-
Period of the generator has been exceeded.
- VSL_RNG_ERROR_NONDETERM_NRETRIES_EXCEEDED
-
Number of retries to generate a random number by using non-deterministic random number generator exceeds threshold.
- VSL_RNG_ERROR_ARS5_NOT_SUPPORTED
-
ARS-5 random number generator is not supported on the CPU running the application.