Developer Reference for Intel® oneAPI Math Kernel Library for Fortran
A newer version of this document is available. Customers should click here to go to the newest version.
?pbequ
Computes row and column scaling factors intended to equilibrate a symmetric (Hermitian) positive-definite band matrix and reduce its condition number.
call spbequ( uplo, n, kd, ab, ldab, s, scond, amax, info )
call dpbequ( uplo, n, kd, ab, ldab, s, scond, amax, info )
call cpbequ( uplo, n, kd, ab, ldab, s, scond, amax, info )
call zpbequ( uplo, n, kd, ab, ldab, s, scond, amax, info )
call pbequ( ab, s [,scond] [,amax] [,uplo] [,info] )
- mkl.fi, lapack.f90
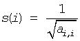
The routine computes row and column scalings intended to equilibrate a symmetric (Hermitian) positive definite band matrix A and reduce its condition number (with respect to the two-norm). The output array s returns scale factors such that s(i)s[i + 1] contains

These factors are chosen so that the scaled matrix B with elements bij=s(i)*aij*s(j) has diagonal elements equal to 1. This choice of s puts the condition number of B within a factor n of the smallest possible condition number over all possible diagonal scalings.
See ?laqsb auxiliary function that uses scaling factors computed by ?pbequ.
uplo |
CHARACTER*1. Must be 'U' or 'L'. Indicates whether the upper or lower triangular part of A is stored in the array ab: If uplo = 'U', the array ab stores the upper triangular part of the matrix A. If uplo = 'L', the array ab stores the lower triangular part of the matrix A. |
n |
INTEGER. The order of matrix A; n≥ 0. |
kd |
INTEGER. The number of superdiagonals or subdiagonals in the matrix A; kd≥ 0. |
ab |
REAL for spbequ DOUBLE PRECISION for dpbequ COMPLEX for cpbequ DOUBLE COMPLEX for zpbequ. Array, size ldab by *. The array ap contains either the upper or the lower triangular part of the matrix A (as specified by uplo) in band storage (see Matrix Storage Schemes). The second dimension of ab must be at least max(1, n). |
ldab |
INTEGER. The leading dimension of the array ab; ldab≥kd +1. |
s |
REAL for single precision flavors DOUBLE PRECISION for double precision flavors. Array, size (n). If info = 0, the array s contains the scale factors for A. |
scond |
REAL for single precision flavors DOUBLE PRECISION for double precision flavors. If info = 0, scond contains the ratio of the smallest s(i) to the largest s(i). |
amax |
REAL for single precision flavors DOUBLE PRECISION for double precision flavors. Absolute value of the largest element of the matrix A. |
info |
INTEGER. If info = 0, the execution is successful. If info = -i, the i-th parameter had an illegal value. If info = i, the i-th diagonal element of A is nonpositive. |
Routines in Fortran 95 interface have fewer arguments in the calling sequence than their FORTRAN 77 counterparts. For general conventions applied to skip redundant or reconstructible arguments, see LAPACK 95 Interface Conventions.
Specific details for the routine pbequ interface are as follows:
ab |
Holds the array A of size (kd+1,n). |
s |
Holds the vector of length n. |
uplo |
Must be 'U' or 'L'. The default value is 'U'. |
If scond≥ 0.1 and amax is neither too large nor too small, it is not worth scaling by s.
If amax is very close to SMLNUM or very close to BIGNUM, the matrix A should be scaled.