Developer Reference for Intel® oneAPI Math Kernel Library for Fortran
A newer version of this document is available. Customers should click here to go to the newest version.
?tpmqrt
Applies a real or complex orthogonal matrix obtained from a "triangular-pentagonal" complex block reflector to a general real or complex matrix, which consists of two blocks.
call stpmqrt(side, trans, m, n, k, l, nb, v, ldv, t, ldt, a, lda, b, ldb, work, info)
call dtpmqrt(side, trans, m, n, k, l, nb, v, ldv, t, ldt, a, lda, b, ldb, work, info)
call ctpmqrt(side, trans, m, n, k, l, nb, v, ldv, t, ldt, a, lda, b, ldb, work, info)
call ztpmqrt(side, trans, m, n, k, l, nb, v, ldv, t, ldt, a, lda, b, ldb, work, info)
call tpmqrt( v, t, a, b, k, nb[, trans][, side][, info])
- mkl.fi, lapack.f90
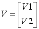
The columns of the pentagonal matrix V contain the elementary reflectors H(1), H(2), ..., H(k); V is composed of a rectangular block V1 and a trapezoidal block V2:

The size of the trapezoidal block V2 is determined by the parameter l, where 0 ≤ l ≤ k. V2 is upper trapezoidal, consisting of the first l rows of a k-by-k upper triangular matrix.
If l=k, V2 is upper triangular;
If l=0, there is no trapezoidal block, so V = V1 is rectangular.
If side = 'L':

where A is k-by-n, B is m-by-n and V is m-by-k.
If side = 'R':

where A is m-by-k, B is m-by-n and V is n-by-k.
The real/complex orthogonal matrix Q is formed from V and T.
If trans='N' and side='L', c contains Q * C on exit.
If trans='T' and side='L', C contains QT * C on exit.
If trans='C' and side='L', C contains QH * C on exit.
If trans='N' and side='R', C contains C * Q on exit.
If trans='T' and side='R', C contains C * QT on exit.
If trans='C' and side='R', C contains C * QH on exit.
- side
-
CHARACTER*1
='L': apply Q, QT, or QH from the left.
='R': apply Q, QT, or QH from the right.
- trans
-
CHARACTER*1
='N', no transpose, apply Q.
='T', transpose, apply QT.
='C', transpose, apply QH.
- m
-
INTEGER. The number of rows in the matrix B, (m ≥ 0).
- n
-
INTEGER. The number of columns in the matrix B, (n ≥ 0).
- k
-
INTEGER. The number of elementary reflectors whose product defines the matrix Q, (k ≥ 0).
- l
-
INTEGER. The order of the trapezoidal part of V (k ≥ l ≥ 0).
- nb
-
INTEGER.
The block size used for the storage of t, k ≥ nb ≥ 1. This must be the same value of nb used to generate t in tpqrt.
- v
-
REAL for stpmqrt
DOUBLE PRECISION for dtpmqrt
COMPLEX for ctpmqrt
COMPLEX*16 for ztpmqrt.
Size (ldv, k)
The ith column must contain the vector which defines the elementary reflector H(i), for i = 1,2,...,k, as returned by tpqrt in array argument b.
- ldv
-
INTEGER. The leading dimension of the array v.
If side = 'L', ldv must be at least max(1,m);
If side = 'R', ldv must be at least max(1,n).
- t
-
REAL for stpmqrt
DOUBLE PRECISION for dtpmqrt
COMPLEX for ctpmqrt
COMPLEX*16 for ztpmqrt.
Array, size (ldt, k).
The upper triangular factors of the block reflectors as returned by tpqrt, stored as an nb-by-k matrix.
- ldt
-
INTEGER. The leading dimension of the array t. ldt must be at least nb.
- a
-
REAL for stpmqrt
DOUBLE PRECISION for dtpmqrt
COMPLEX for ctpmqrt
COMPLEX*16 for ztpmqrt.
If side = 'L', size (lda, n).
If side = 'R', size (lda, k).
The k-by-n or m-by-k matrix A.
- lda
-
INTEGER. The leading dimension of the array a.
If side = 'L', lda must be at least max(1,k).
If side = 'R', lda must be at least max(1,m).
- b
-
REAL for stpmqrt
DOUBLE PRECISION for dtpmqrt
COMPLEX for ctpmqrt
COMPLEX*16 for ztpmqrt.
Size (ldb, n).
The m-by-n matrix B.
- ldb
-
INTEGER. The leading dimension of the array b. ldb must be at least max(1,m).
- work
-
REAL for stpmqrt
DOUBLE PRECISION for dtpmqrt
COMPLEX for ctpmqrt
COMPLEX*16 for ztpmqrt.
Workspace array. If side = 'L' DIMENSION n*nb. If side = 'R' DIMENSION m*nb.
- a
-
Overwritten by the corresponding block of the product Q*C, C*Q, QT*C, C*QT, QH*C, or C*QH.
- b
-
Overwritten by the corresponding block of the product Q*C, C*Q, QT*C, C*QT, QH*C, or C*QH.
- info
-
(global) INTEGER.
= 0: the execution is successful.
< 0: if info = -i, the ith argument had an illegal value.