Developer Reference for Intel® oneAPI Math Kernel Library for C

ID 766684
Date 11/07/2023
Public

A newer version of this document is available. Customers should click here to go to the newest version.

Document Table of Contents

vRngGeometric

Generates geometrically distributed random values.

Syntax

status = viRngGeometric( method, stream, n, r, p );

Include Files

  • mkl.h

Input Parameters

Name

Type

Description

method

const MKL_INT

Generation method. The specific value is as follows:

VSL_RNG_METHOD_GEOMETRIC_ICDF

Inverse cumulative distribution function method.

stream

VSLStreamStatePtr

Pointer to the stream state structure

n

const MKL_INT

Number of random values to be generated

p

const double

Success probability p of a trial

Output Parameters

Name

Type

Description

r

int*

Vector of n geometrically distributed random values

Description

The vRngGeometric function generates geometrically distributed random numbers with probability p of a single trial success, where pR; 0 < p < 1.

A geometrically distributed variate represents the number of independent Bernoulli trials preceding the first success. The probability of a single Bernoulli trial success is p.

The probability distribution is given by:

P(X = k) = p·(1 - p)k, k {0,1,2, ... }.

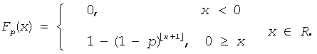
The cumulative distribution function is as follows:


Equation

Product and Performance Information

Performance varies by use, configuration and other factors. Learn more at www.Intel.com/PerformanceIndex.

Notice revision #20201201

Return Values

VSL_ERROR_OK, VSL_STATUS_OK

Indicates no error, execution is successful.

VSL_ERROR_NULL_PTR

stream is a NULL pointer.

VSL_RNG_ERROR_BAD_STREAM

stream is not a valid random stream.

VSL_RNG_ERROR_BAD_UPDATE

Callback function for an abstract BRNG returns an invalid number of updated entries in a buffer, that is, < 0 or > nmax.

VSL_RNG_ERROR_NO_NUMBERS

Callback function for an abstract BRNG returns 0 as the number of updated entries in a buffer.

VSL_RNG_ERROR_QRNG_PERIOD_ELAPSED

Period of the generator has been exceeded.

VSL_RNG_ERROR_NONDETERM_NRETRIES_EXCEEDED

Number of retries to generate a random number by using non-deterministic random number generator exceeds threshold.

VSL_RNG_ERROR_ARS5_NOT_SUPPORTED

ARS-5 random number generator is not supported on the CPU running the application.