Developer Reference for Intel® oneAPI Math Kernel Library for C
A newer version of this document is available. Customers should click here to go to the newest version.
vRngGaussian
Generates normally distributed random numbers.
Syntax
status = vsRngGaussian( method, stream, n, r, a, sigma );
status = vdRngGaussian( method, stream, n, r, a, sigma );
Include Files
- mkl.h
Description
The vRngGaussian function generates random numbers with normal (Gaussian) distribution with mean value a and standard deviation σ, where
a, σ ∈ R ; σ > 0.
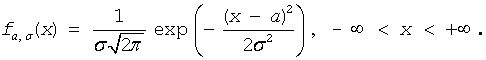
The probability density function is given by:

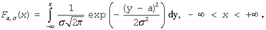
The cumulative distribution function is as follows:

The cumulative distribution function Fa,σ(x) can be expressed in terms of standard normal distribution Φ(x) as
F a,σ (x) = Φ((x - a)/σ)
Product and Performance Information |
---|
Performance varies by use, configuration and other factors. Learn more at www.Intel.com/PerformanceIndex. Notice revision #20201201 |
Input Parameters
Name |
Type |
Description |
---|---|---|
method |
const MKL_INT |
Generation method. The specific values are as follows: VSL_RNG_METHOD_GAUSSIAN_BOXMULLER VSL_RNG_METHOD_GAUSSIAN_BOXMULLER2 VSL_RNG_METHOD_GAUSSIAN_ICDFSee brief description of the methods BOXMULLER, BOXMULLER2, and ICDF in Table "Values of <method> in method parameter" |
stream |
VSLStreamStatePtr |
Pointer to the stream state structure |
n |
const MKL_INT |
Number of random values to be generated. |
a |
const float for vsRngGaussian const double for vdRngGaussian |
Mean value a. |
sigma |
const float for vsRngGaussian const double for vdRngGaussian |
Standard deviation σ. |
Output Parameters
Name |
Type |
Description |
---|---|---|
r |
float* for vsRngGaussian double* for vdRngGaussian |
Vector of n normally distributed random numbers. |
Return Values
- VSL_ERROR_OK, VSL_STATUS_OK
-
Indicates no error, execution is successful.
- VSL_ERROR_NULL_PTR
-
stream is a NULL pointer.
- VSL_RNG_ERROR_BAD_STREAM
-
stream is not a valid random stream.
- VSL_RNG_ERROR_BAD_UPDATE
-
Callback function for an abstract BRNG returns an invalid number of updated entries in a buffer, that is, < 0 or > nmax.
- VSL_RNG_ERROR_NO_NUMBERS
-
Callback function for an abstract BRNG returns 0 as the number of updated entries in a buffer.
- VSL_RNG_ERROR_QRNG_PERIOD_ELAPSED
-
Period of the generator has been exceeded.
- VSL_RNG_ERROR_NONDETERM_NRETRIES_EXCEEDED
-
Number of retries to generate a random number by using non-deterministic random number generator exceeds threshold.
- VSL_RNG_ERROR_ARS5_NOT_SUPPORTED
-
ARS-5 random number generator is not supported on the CPU running the application.