Developer Reference for Intel® oneAPI Math Kernel Library for C
A newer version of this document is available. Customers should click here to go to the newest version.
?tprfb
Applies a real or complex "triangular-pentagonal" blocked reflector to a real or complex matrix, which is composed of two blocks.
Syntax
lapack_int LAPACKE_stprfb (int matrix_layout, char side, char trans, char direct, char storev, lapack_int m, lapack_int n, lapack_int k, lapack_int l, const float * v, lapack_int ldv, const float * t, lapack_int ldt, float * a, lapack_int lda, float * b, lapack_int ldb);
lapack_int LAPACKE_dtprfb (int matrix_layout, char side, char trans, char direct, char storev, lapack_int m, lapack_int n, lapack_int k, lapack_int l, const double * v, lapack_int ldv, const double * t, lapack_int ldt, double * a, lapack_int lda, double * b, lapack_int ldb);
lapack_int LAPACKE_ctprfb (int matrix_layout, char side, char trans, char direct, char storev, lapack_int m, lapack_int n, lapack_int k, lapack_int l, const lapack_complex_float * v, lapack_int ldv, const lapack_complex_float * t, lapack_int ldt, lapack_complex_float * a, lapack_int lda, lapack_complex_float * b, lapack_int ldb);
lapack_int LAPACKE_ztprfb (int matrix_layout, char side, char trans, char direct, char storev, lapack_int m, lapack_int n, lapack_int k, lapack_int l, const lapack_complex_double * v, lapack_int ldv, const lapack_complex_double * t, lapack_int ldt, lapack_complex_double * a, lapack_int lda, lapack_complex_double * b, lapack_int ldb);
Include Files
- mkl.h
Description
The ?tprfb routine applies a real or complex "triangular-pentagonal" block reflector H, HT, or HH from either the left or the right to a real or complex matrix C, which is composed of two blocks A and B.
The block B is m-by-n. If side = 'R', A is m-by-k, and if side = 'L', A is of size k-by-n.

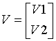
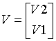
The pentagonal matrix V is composed of a rectangular block V1 and a trapezoidal block V2. The size of the trapezoidal block is determined by the parameter l, where 0≤l≤k. if l=k, the V2 block of V is triangular; if l=0, there is no trapezoidal block, thus V = V1 is rectangular.
direct='F' | direct='B' | |
storev='C' | ![]() V2 is upper trapezoidal (first l rows of k-by-k upper triangular) |
![]() V2 is lower trapezoidal (last l rows of k-by-k lower triangular matrix) |
storev='R' | ![]() V2 is lower trapezoidal (first l columns of k-by-k lower triangular matrix) |
![]() V2 is upper trapezoidal (last l columns of k-by-k upper triangular matrix) |
side='L' | side='R' | |
storev='C' | V is m-by-k V2 is l-by-k |
V is n-by-k V2 is l-by-k |
storev='R' | V is k-by-m V2 is k-by-l |
V is k-by-n V2 is k-by-l |
Input Parameters
- matrix_layout
-
Specifies whether matrix storage layout is row major (LAPACK_ROW_MAJOR) or column major ( LAPACK_COL_MAJOR ).
- side
-
= 'L': apply H, HT, or HH from the left,
= 'R': apply H, HT, or HH from the right.
- trans
-
= 'N': apply H (no transpose),
= 'T': apply HT (transpose),
= 'C': apply HH (conjugate transpose).
- direct
-
Indicates how H is formed from a product of elementary reflectors:
= 'F': H = H(1) H(2) . . . H(k) (Forward),
= 'B': H = H(k) . . . H(2) H(1) (Backward).
- storev
-
Indicates how the vectors that define the elementary reflectors are stored:
= 'C': Columns,
= 'R': Rows.
- m
-
The total number of rows in the matrix B (m ≥ 0).
- n
-
The number of columns in B (n ≥ 0).
- k
-
The order of the matrix T, which is the number of elementary reflectors whose product defines the block reflector. (k ≥ 0)
- l
-
The order of the trapezoidal part of V. (k ≥ l ≥ 0).
- v
-
An array containing the pentagonal matrix V (the elementary reflectors H(1), H(2), …, H(k). The size limitations depend on values of parameters storev and side as described in the following table
storev = C
storev = R
side = L
side = R
side = L
side = R
Column major
max(1,ldv*k)
max(1,ldv*k)
max(1,ldv*m)
max(1,ldv*n)
Row major
max(1,ldv*m)
max(1,ldv*n)
max(1,ldv*k)
max(1,ldv*k)
- ldv
-
The leading dimension of the array v.It should satisfy the following conditions:
storev = C
storev = R
side = L
side = R
side = L
side = R
Column major
max(1,m)
max(1,n)
max(1,k)
max(1,k)
Row major
max(1,k)
max(1,k)
max(1,m)
max(1,n)
- t
-
Array size max(1,ldt * k). The triangular k-by-k matrix T in the representation of the block reflector.
- ldt
-
The leading dimension of the array t (ldt ≥ k).
- a
-
size should satisfy the following conditions:
k if side = 'R'.
side = L
side = R
Column major max(1,lda*n)
max(1,lda*k)
Row major max(1,lda*k)
max(1,lda*m)
The k-by-n or m-by-k matrix A.
- lda
-
The leading dimension of the array a should satisfy the following conditions:
side = L
side = R
Column major max(1,k)
max(1,m)
Row major max(1,n)
max(1,k)
- b
-
Array size at least max(1, ldb *n) for column major layout and max(1, ldb *m) for row major layout, the m-by-n matrix B.
- ldb
-
The leading dimension of the array b (ldb ≥ max(1, m) for column major layout and ldb ≥ max(1, n) for row major layout).
Output Parameters
- a
-
Contains the corresponding block of H*C, HT*C, HH*C, C*H, C*HT, or C*HH.
- b
-
Contains the corresponding block of H*C, HT*C, HH*C, C*H, C*HT, or C*HH.
Return Values
This function returns a value info.
If info = 0, the execution is successful.
If info < 0, the i-th parameter had an illegal value.
If info = -1011, memory allocation error occurred.