Developer Reference for Intel® oneAPI Math Kernel Library for C
A newer version of this document is available. Customers should click here to go to the newest version.
?feast_srci/?feast_hrci
Extended Eigensolver RCI interface.
Syntax
void sfeast_srci (MKL_INT* ijob, const MKL_INT* n, MKL_Complex8* ze, float* work, MKL_Complex8* workc, float* aq, float* sq, MKL_INT* fpm, float* epsout, MKL_INT* loop, const float* emin, const float* emax, MKL_INT* m0, float* lambda, float* q, MKL_INT* m, float* res, MKL_INT* info);
void dfeast_srci (MKL_INT* ijob, const MKL_INT* n, MKL_Complex16* ze, double* work, MKL_Complex16* workc, double* aq, double* sq, MKL_INT* fpm, double* epsout, MKL_INT* loop, const double* emin, const double* emax, MKL_INT* m0, double* lambda, double* q, MKL_INT* m, double* res, MKL_INT* info);
void cfeast_hrci (MKL_INT* ijob, const MKL_INT* n, MKL_Complex8* ze, MKL_Complex8* work, MKL_Complex8* workc, MKL_Complex8* aq, MKL_Complex8* sq, MKL_INT* fpm, float* epsout, MKL_INT* loop, const float* emin, const float* emax, MKL_INT* m0, float* lambda, MKL_Complex8* q, MKL_INT* m, float* res, MKL_INT* info);
void zfeast_hrci (MKL_INT* ijob, const MKL_INT* n, MKL_Complex16* ze, MKL_Complex16* work, MKL_Complex16* workc, MKL_Complex16* aq, MKL_Complex16* sq, MKL_INT* fpm, double* epsout, MKL_INT* loop, const double* emin, const double* emax, MKL_INT* m0, double* lambda, MKL_Complex16* q, MKL_INT* m, double* res, MKL_INT* info);
Include Files
- mkl.h
Description
Compute eigenvalues as described in Extended Eigensolver RCI Interface Description.
Input Parameters
- ijob
-
Job indicator variable. On entry, a call to ?feast_srci/?feast_hrci with ijob=-1 initializes the eigensolver.
- n
-
Sets the size of the problem. n > 0.
- work
-
Workspace array of size n by m0.
- workc
-
Workspace array of size n by m0.
- aq, sq
-
Workspace arrays of size m0 by m0.
- fpm
-
Array, size of 128. This array is used to pass various parameters to Extended Eigensolver routines. See Extended Eigensolver Input Parameters for a complete description of the parameters and their default values.
- emin, emax
-
The lower and upper bounds of the interval to be searched for eigenvalues; emin ≤ emax.
NOTE:Users are advised to avoid situations in which eigenvalues nearly coincide with the interval endpoints. This may lead to unpredictable selection or omission of such eigenvalues. Users should instead specify a slightly larger interval than needed and, if required, pick valid eigenvalues and their corresponding eigenvectors for subsequent use. - m0
-
On entry, specifies the initial guess for subspace size to be used, 0 < m0≤n. Set m0 ≥ m where m is the total number of eigenvalues located in the interval [emin, emax]. If the initial guess is wrong, Extended Eigensolver routines return info=3.
- q
-
On entry, if fpm[4]=1, the array q of size n by m contains a basis of guess subspace where n is the order of the input matrix.
Output Parameters
- ijob
-
On exit, the parameter carries the status flag that indicates the condition of the return. The status information is divided into three categories:
A zero value indicates successful completion of the task.
A positive value indicates that the solver requires a matrix-vector multiplication or solving a specific system with a complex coefficient.
A negative value indicates successful initiation.
A non-zero value of ijob specifically means the following:
ijob = 10 - factorize the complex matrix Ze*B - A at a given contour point Ze and return the control to the ?feast_srci/?feast_hrci routine where Ze is a complex number meaning contour point and its value is defined internally in ?feast_srci/?feast_hrci.
ijob =11 - solve the complex linear system (Ze*B - A)*y = workc, put the solution in workc and return the control to the ?feast_srci/?feast_hrci routine.
ijob =20 - factorize the complex matrix (Ze*B - A)H at a given contour point Ze and return the control to the ?feast_srci/?feast_hrci routine where Ze is a complex number meaning contour point and its value is defined internally in ?feast_srci/?feast_hrci.
The symbol XH means transpose conjugate of matrix X.
ijob = 21 - solve the complex linear system(Ze*B - A)H*y = workc, put the solution in workc and return the control to the ?feast_srci/?feast_hrci routine. The case ijob=20 becomes obsolete if the solve can be performed using the factorization computed for ijob=10.
The symbol XH mean transpose conjugate of matrix X.
ijob = 30 - multiply matrix A by Qj..Qi, put the result in work + N*(i - 1), and return the control to the ?feast_srci/?feast_hrci routine.
i is fpm[24], and j is fpm[23] + fpm[24] - 1.
ijob = 40 - multiply matrix B by Qj..Qi, put the result in work + N*(i - 1) and return the control to the ?feast_srci/?feast_hrci routine. If a standard eigenvalue problem is solved, just return work = q.
i is fpm[24], and j is fpm[23] + fpm[24] - 1.
ijob = -2 - rerun the ?feast_srci/?feast_hrci task with the same parameters.
- ze
-
Defines the coordinate along the complex contour. All values of ze are generated by ?feast_srci/?feast_hrci internally.
- fpm
-
On output, contains coordinates of columns of work array needed for iterative refinement. (See Extended Eigensolver RCI Interface Description.)
- epsout
-
On output, contains the relative error on the trace: |tracei - tracei-1| /max(|emin|, |emax|)
- loop
-
On output, contains the number of refinement loop executed. Ignored on input.
- lambda
-
Array of length m0. On output, the first m entries of lambda are eigenvalues found in the interval.
- q
-
On output, q contains all eigenvectors corresponding to lambda.
- m
-
The total number of eigenvalues found in the interval [emin, emax]: 0 ≤ m ≤ m0.
- res
-
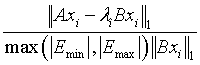
Array of length m0. On exit, the first m components contain the relative residual vector:
generalized eigenvalue problem:

standard eigenvalue problem:

for i=0, 1, …, m - 1, and where m is the total number of eigenvalues found in the search interval.
- info
-
If info=0, the execution is successful. If info ≠ 0, see Output Eigensolver info Details.