Intel® Integrated Performance Primitives Developer Guide and Reference
A newer version of this document is available. Customers should click here to go to the newest version.
Conv
Performs two-dimensional convolution of two images.
Syntax
Case 1: Operating on integer data
IppStatus ippiConv_<mod>(const Ipp<datatype>* pSrc1, int src1Step, IppiSize src1Size, const Ipp<datatype>* pSrc2, int src2Step, IppiSize src2Size, Ipp<datatype>* pDst, int dstStep, int divisor, IppEnum algType, Ipp8u* pBuffer);
Supported values for mod
| 8u_C1R | 16s_C1R |
| 8u_C3R | 16s_C3R |
| 8u_C4R | 16s_C4R |
Case 2: Operating on floating-point data
IppStatus ippiConv_<mod>(const Ipp32f* pSrc1, int src1Step, IppiSize src1Size, const Ipp32f* pSrc2, int src2Step, IppiSize src2Size, Ipp32f* pDst, int dstStep, IppEnum algType, Ipp8u* pBuffer);
Supported values for mod
| 32f_C1R |
| 32f_C3R |
| 32f_C4R |
Include Files
ippi.h
Domain Dependencies
Headers: ippcore.h, ippvm.h, ipps.h
Libraries: ippcore.lib, ippvm.lib, ipps.lib
Parameters
pSrc1, pSrc2 |
Pointers to the source images ROI. |
src1Step, src2Step |
Distance, in bytes, between the starting points of consecutive lines in the source images. |
src1Size, src2Size |
Size in pixels of the source images. |
pDst |
Pointer to the destination image ROI. |
dstStep |
Distance, in bytes, between the starting points of consecutive lines in the destination image. |
divisor |
The integer value by which the computed result is divided (for operations on integer data only). |
algType |
Bit-field mask for the algorithm type definition. Possible values are the results of composition of the IppAlgType and IppiROIShape values. |
pBuffer |
Pointer to the buffer for internal calculations. |
Description
Before using this function, you need to compute the size of the work buffer using the ippiConvGetBufferSize function.
The ippiConv function operates with ROI. The type of convolution that function performs is defined by the value of the algType parameter:
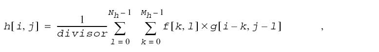
- If the ippiROIFull flag is set, the function performs full two-dimensional finite linear convolution between two source images pointed by the pSrc1 and pSrc2 parameters. The resulting destination image h[i, j] is computed by the following formula:

where
Mh = Mf + Mg - 1
where
Mf is the number of rows in the first source image matrix f
Mg is the number of rows in the second source image matrix g
Nh = Nf + Ng - 1
where
Nf is the number of columns in the first source image matrix f
Ng is the number of columns in the second source image matrix g
0 ≤i < Mh, 0 ≤i < Nh

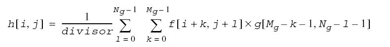
- If the ippiROIValid flag is set up, the function performs valid two-dimensional finite linear convolution between two source images pointed by the pSrc1 and pSrc2 parameters. The destination image h[i, j] obtained as a result of the function operation is computed by the following formula:

where
Mh = | Mf - Mg| + 1
where
Mf is the number of rows in the first source image matrix f
Mg is the number of rows in the second source image matrix g
Nh = |Nf - Ng| + 1
where
Nf is the number of columns in the first source image matrix f
Ng is the number of columns in the second source image matrix g
- 0 ≤i < Mh, 0 ≤i < Nh
This case assumes that Mf≥Mg and Nf≥Ng. In case when Mf < Mg and Nf < Ng, the subscript index g in this equation must be replaced with the index f. For any other combination of source image sizes, the function performs no operation.
NOTE:The above formula provides the same result as in the case with the ippiROIFull flag, but produces only the part of the convolution image that is computed without zero-padded values.
Function flavors that accept input data of the Ipp32f type use the same summation formula, but without scaling of the result (divisor = 1 is assumed).
The following examples illustrate the function operation. For the source images f, g of size 3 x 5 represented as

with g = f:
- for the ippiROIFull case, the resulting convolution image h is of size 5 x 9 and contains the following data:

- for the ippiROIValid case, the resulting convolution image h is of size 1 x 1 and contains the following data:
h = [11]
Return Values
ippStsNoErr |
Indicates no error. Any other value indicates an error. |
ippStsNullPtrErr |
Indicates an error when any of the specified pointers is NULL. |
ippStsSizeErr |
Indicates an error when src1Size or src2Size has a zero or negative value. |
ippStsStepErr |
Indicates an error when src1Step, src2Step, or dstStep has a zero or negative value. |
ippStsDivisorErr |
Indicates an error when divisor has a zero value. |
ippStsAlgTypeErr |
Indicates an error when:
|
Example
/*******************************************************************************
* Copyright 2015 Intel Corporation.
*
*
* This software and the related documents are Intel copyrighted materials, and your use of them is governed by
* the express license under which they were provided to you ('License'). Unless the License provides otherwise,
* you may not use, modify, copy, publish, distribute, disclose or transmit this software or the related
* documents without Intel's prior written permission.
* This software and the related documents are provided as is, with no express or implied warranties, other than
* those that are expressly stated in the License.
*******************************************************************************/
// A simple example of performing full or valid 2-D convolution of two images using a general integer rectangular kernel
// implemented with Intel(R) Integrated Performance Primitives (Intel(R) IPP) functions:
// ippiConvGetBufferSize
// ippiConv_16s_C1R
#include <stdio.h>
#include "ipp.h"
#define WIDTH_DST 128 /* destination image width */
#define HEIGHT_DST 64 /* destination image height */
#define WIDTH_SRC 16 /* source image width */
#define HEIGHT_SRC 16 /* source image height */
/* Next two defines are created to simplify code reading and understanding */
#define EXIT_MAIN exitLine: /* Label for Exit */
#define check_sts(st) if((st) != ippStsNoErr) goto exitLine; /* Go to Exit if Intel(R) IPP function returned status different from ippStsNoErr */
/* Results of ippMalloc() are not validated because Intel(R) IPP functions perform bad arguments check and will return an appropriate status */
int main(void)
{
IppStatus status = ippStsNoErr;
Ipp16s* pSrc1 = NULL, *pSrc2 = NULL, *pDst = NULL; /* Pointers to source/destination images */
int srcStep1 = 0, srcStep2 = 0, dstStep = 0; /* Steps, in bytes, through the source/destination images */
IppiSize dstSize = { WIDTH_DST, HEIGHT_DST }; /* Size of destination ROI in pixels */
IppiSize src1Size = { WIDTH_SRC, HEIGHT_SRC }; /* Size of destination ROI in pixels */
IppiSize src2Size = { WIDTH_SRC - 1, HEIGHT_SRC - 1 }; /* Size of destination ROI in pixels */
int divisor = 2; /* The integer value by which the computed result is divided */
Ipp8u *pBuffer = NULL; /* Pointer to the work buffer */
int iTmpBufSize = 0; /* Common work buffer size */
int numChannels = 1;
IppEnum funCfgFull = (IppEnum)(ippAlgAuto | ippiROIFull | ippiNormNone);
pSrc2 = ippiMalloc_16s_C1(src2Size.width, src2Size.height, &srcStep2);
pSrc1 = ippiMalloc_16s_C1(src1Size.width, src1Size.height, &srcStep1);
pDst = ippiMalloc_16s_C1(dstSize.width, dstSize.height, &dstStep);
check_sts( status = ippiConvGetBufferSize(src1Size, src2Size, ipp16s, numChannels, funCfgFull, &iTmpBufSize) )
pBuffer = ippsMalloc_8u(iTmpBufSize);
check_sts( status = ippiConv_16s_C1R(pSrc1, srcStep1, src1Size, pSrc2, srcStep2, src2Size, pDst, dstStep, divisor, funCfgFull, pBuffer) )
EXIT_MAIN
ippsFree(pBuffer);
ippiFree(pSrc1);
ippiFree(pSrc2);
ippiFree(pDst);
printf("Exit status %d (%s)\n", (int)status, ippGetStatusString(status));
return (int)status;
}