Intel® Integrated Performance Primitives Developer Guide and Reference
A newer version of this document is available. Customers should click here to go to the newest version.
Tricubic Interpolation
Short Description
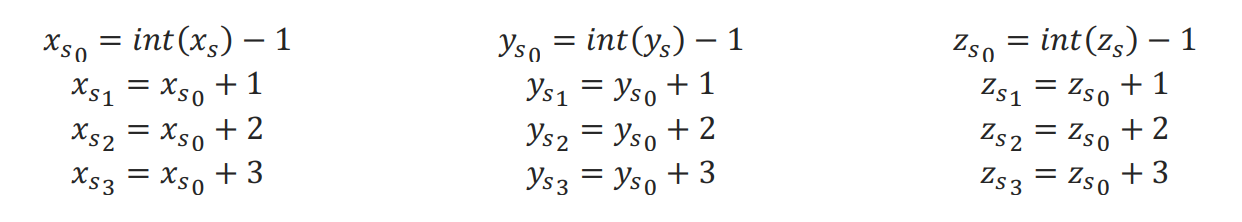
The tricubic interpolation algorithm uses source image intensities at 64 pixels in the neighborhood of the point (xs, ys, zs) in the source image:

First, for each zsk the algorithm determines 16 cubic polynomials Fnm(z), 0 ≤ m, n ≤ 15 :
Fnm(z) = amnz3 + bnmz2 + cnmz + dnm
For fixed values zs , the function Fnm(zsnm) is equal to:

There are sixteen points with fixed zs F00(z), F01(z), F02(z), F03(z), F10(z), F11(z), F12(z), F13(z), F20(z), F21(z), F22(z), F23(z), F30(z), F31(z), F32(z), F33(z). The need is to fix ys and xs. This situation is described in the Cubic Interpolation, refer to this page to visualize the operation of the algorithm as well.

To use the cubic interpolation, set the interpolation parameter to IPPI_INTER_CUBIC.