Intel® Integrated Performance Primitives Developer Guide and Reference
A newer version of this document is available. Customers should click here to go to the newest version.
FilterGaussianInit
Initializes the Gaussian context structure.
Syntax
IppStatus ippiFilterGaussianInit(IppiSize roiSize, Ipp32u kernelSize, Ipp32f sigma, IppiBorderType borderType, IppDataType dataType, int numChannels, IppFilterGaussianSpec* pSpec, Ipp8u* pBuffer);
Platform-aware functions
IppStatus ippiFilterGaussianInit_L(IppiSizeL roiSize, int kernelSize, Ipp32f sigma, IppiBorderType borderType, IppDataType dataType, int numChannels, IppFilterGaussianSpec* pSpec, Ipp8u* pInitBuffer);
Include Files
ippcv.h
Flavors with the _L suffix: ippcv_l.h
Domain Dependencies
Headers: ippcore.h, ippvm.h, ipps.h, ippi.h
Libraries: ippcore.lib, ippvm.lib, ipps.lib, ippi.lib
Parameters
roiSize |
Size of the image ROI in pixels. | ||||||||
kernelSize |
Size of the Gaussian filter kernel. The value must be odd and greater, or equal to 3. | ||||||||
sigma |
Standard deviation of the Gaussian kernel. | ||||||||
borderType |
Type of border. Possible values are:
|
||||||||
dataType |
Data type of the source and destination images. | ||||||||
numChannels |
Number of channels in the images. Possible values are 1 and 3. | ||||||||
pSpec |
Pointer to the Gaussian specification structure. | ||||||||
pBuffer, pInitBuffer |
Pointer to the external buffer. |
Description
This function operates with ROI (see Regions of Interest in Intel IPP).
This function initializes the Gaussian specification structure pSpec for the FilterGaussianBorder function or for the platform-aware function FilterGaussian. Before using this function, compute the size of the specification structure and the external buffer using the FilterGaussianGetBufferSize function and FilterGaussianGetSpecSize for the platform-aware function.
The roiSize and kernelSize values must be less than, or equal to the corresponding values specified in the FilterGaussianGetBufferSize function.
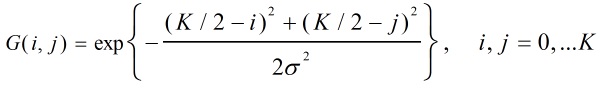
The kernel of the Gaussian filter is the matrix of size kernelSizexkernelSize with the standard deviation sigma. The values of the Gaussian kernel elements are calculated by the formula below and then normalized:

The anchor cell is the center of the kernel.
For an example on how to use this function, refer to the example provided with the FilterGaussianBorder function description.
Return Values
ippStsNoErr |
Indicates no error. Any other value indicates an error. |
ippStsNullPtrErr |
Indicates an error when one of the specified pointers is NULL. |
ippStsSizeErr |
Indicates an error when roiSize has a field with a zero or negative value. |
ippStsBadArgErr |
Indicates an error when kernelSize is even, or less than 3; or sigma is less than, or equal to zero. |
ippStsDataTypeErr |
Indicates an error when dataType has an illegal value. |
ippStsChannelErr |
Indicates an error when numChannels has an illegal value. |
ippStsBorderErr |
Indicates an error when borderType has an illegal value. |