Intel® Integrated Performance Primitives Developer Guide and Reference
A newer version of this document is available. Customers should click here to go to the newest version.
Correction of Camera Lens Distortion
Digital camera usually introduces significant distortion caused by the camera and lens. These distortions cause errors in any analysis of the image. The functions described in this section correct these distortion using intrinsic camera parameters and distortion coefficients. These intrinsic camera parameters are focal lengths fx, fy, and principal point coordinates cx, cy. The distortion is characterized by two coefficients of radial distortions k1, k2 and two coefficients of tangential distortions p1, p2.
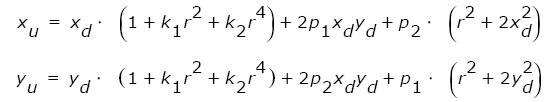
The undistorted coordinates xu and yu of point with coordinates (xd, yd) are computed in accordance with the following formulas:

Here r2 = xd2 + yd2, xd = (j-cx)/fx, yd = (i-cy)/fy; i and j are row and columns numbers of the pixel. The pixel value is computed using bilinear interpolation of four nearest pixel of the source image. If undistorted coordinates are outside the image, then the destination pixel is not changed.
- UndistortGetSize
Computes the size of the external buffer. - UndistortRadial
Corrects radial distortions of the single image. - CreateMapCameraUndistort
Creates look-up tables of coordinates of corrected image.