Developer Reference for Intel® oneAPI Math Kernel Library for Fortran
A newer version of this document is available. Customers should click here to go to the newest version.
vRngBeta
Generates beta distributed random values.
Syntax
status = vsrngbeta( method, stream, n, r, p, q, a, beta )
status = vdrngbeta( method, stream, n, r, p, q, a, beta )
Include Files
- mkl.fi, mkl_vsl.f90
 
Input Parameters
Name  |  
      Type  |  
      Description  |  
     
|---|---|---|
method  |  
      INTEGER, INTENT(IN)  |  
      Generation method. The specific values are as follows: VSL_RNG_METHOD_BETA_CJAVSL_RNG_METHOD_BETA_CJA_ACCURATE See brief description of the method CJA in Table "Values of <method> in method parameter"  |  
     
stream  |  
      TYPE (VSL_STREAM_STATE), INTENT(IN)  |  
      Descriptor of the stream state structure  |  
     
n  |  
      INTEGER, INTENT(IN)  |  
      Number of random values to be generated  |  
     
p  |  
      DOUBLE PRECISION for vdrngbeta REAL(KIND=4), INTENT(IN) for vsrngbeta REAL(KIND=8), INTENT(IN) for vdrngbeta  |  
      Shape p  |  
     
q  |  
      DOUBLE PRECISION for vdrngbeta REAL(KIND=4), INTENT(IN) for vsrngbeta REAL(KIND=8), INTENT(IN) for vdrngbeta  |  
      Shape q  |  
     
a  |  
      DOUBLE PRECISION for vdrngbeta REAL(KIND=4), INTENT(IN) for vsrngbeta REAL(KIND=8), INTENT(IN) for vdrngbeta  |  
      Displacementa.  |  
     
beta  |  
      DOUBLE PRECISION for vdrngbeta REAL(KIND=4), INTENT(IN) for vsrngbeta REAL(KIND=8), INTENT(IN) for vdrngbeta  |  
      Scalefactor β.  |  
     
Output Parameters
Name  |  
      Type  |  
      Description  |  
     
|---|---|---|
r  |  
      DOUBLE PRECISION for vdrngbeta REAL(KIND=4), INTENT(OUT) for vsrngbeta REAL(KIND=8), INTENT(OUT) for vdrngbeta  |  
      Vector of n random numbers with beta distribution  |  
     
Description
The vRngBeta function generates random numbers with beta distribution that has shape parameters p and q, displacement a, and scale parameter β, where p, q, a, and β∈R ; p > 0, q > 0, β > 0.
The probability density function is given by:
 
   where B(p, q) is the complete beta function.
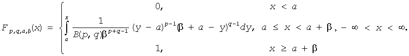
The cumulative distribution function is as follows:
 
   
Product and Performance Information  |  
       
|---|
Performance varies by use, configuration and other factors. Learn more at www.Intel.com/PerformanceIndex. Notice revision #20201201  |  
       
Return Values
- VSL_ERROR_OK, VSL_STATUS_OK
 -  
     
Indicates no error, execution is successful.
 - VSL_ERROR_NULL_PTR
 -  
     
stream is a NULL pointer.
 - VSL_RNG_ERROR_BAD_STREAM
 -  
     
stream is not a valid random stream.
 - VSL_RNG_ERROR_BAD_UPDATE
 -  
     
Callback function for an abstract BRNG returns an invalid number of updated entries in a buffer, that is, < 0 or > nmax.
 - VSL_RNG_ERROR_NO_NUMBERS
 -  
     
Callback function for an abstract BRNG returns 0 as the number of updated entries in a buffer.
 - VSL_RNG_ERROR_QRNG_PERIOD_ELAPSED
 -  
     
Period of the generator has been exceeded.
 - VSL_RNG_ERROR_NONDETERM_NRETRIES_EXCEEDED
 -  
     
Number of retries to generate a random number by using non-deterministic random number generator exceeds threshold.
 - VSL_RNG_ERROR_ARS5_NOT_SUPPORTED
 -  
     
ARS-5 random number generator is not supported on the CPU running the application.