Developer Reference for Intel® oneAPI Math Kernel Library for Fortran
A newer version of this document is available. Customers should click here to go to the newest version.
?lakf2
Forms a matrix containing Kronecker products between the given matrices.
Syntax
call slakf2( m, n, a, lda, b, d, e, z, ldz )
call dlakf2( m, n, a, lda, b, d, e, z, ldz )
call clakf2( m, n, a, lda, b, d, e, z, ldz )
call zlakf2( m, n, a, lda, b, d, e, z, ldz )
Include Files
- mkl.fi
 
Description
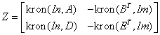
The routine ?lakf2 forms the 2*m*n by 2*m*n matrix Z.
,
where In is the identity matrix of size n and XT is the transpose of X. kron(X, Y) is the Kronecker product between the matrices X and Y.
Input Parameters
- m
 -  
     
INTEGER. Size of matrix, m≥ 1
 - n
 -  
     
INTEGER. Size of matrix, n≥ 1
 - a
 -  
     
REAL for slakf2,
DOUBLE PRECISION for dlakf2,
COMPLEX for clakf2,
DOUBLE COMPLEX for zlakf2,
Array, size lda-by-n. The matrix A in the output matrix Z.
 - lda
 -  
     
INTEGER. The leading dimension of a, b, d, and e. lda≥m+n.
 - b
 -  
     
REAL for slakf2,
DOUBLE PRECISION for dlakf2,
COMPLEX for clakf2,
DOUBLE COMPLEX for zlakf2,
Array, size lda by n. Matrix used in forming the output matrix Z.
 - d
 -  
     
REAL for slakf2,
DOUBLE PRECISION for dlakf2,
COMPLEX for clakf2,
DOUBLE COMPLEX for zlakf2,
Array, size lda by m. Matrix used in forming the output matrix Z.
 - e
 -  
     
REAL for slakf2,
DOUBLE PRECISION for dlakf2,
COMPLEX for clakf2,
DOUBLE COMPLEX for zlakf2,
Array, size lda by n. Matrix used in forming the output matrix Z.
 - ldz
 -  
     
INTEGER. The leading dimension of Z. ldz≥ 2* m*n.
 
Output Parameters
- z
 -  
     
REAL for slakf2,
DOUBLE PRECISION for dlakf2,
COMPLEX for clakf2,
DOUBLE COMPLEX for zlakf2,
Array, size ldz-by-2*m*n. The resultant Kronecker m*n*2 -by-m*n*2 matrix.