Notes for Intel® oneAPI Math Kernel Library Vector Statistics
A newer version of this document is available. Customers should click here to go to the newest version.
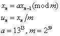
MCG59
This is a 59-bit multiplicative congruential generator:

Multiplicative congruential generator MCG59 is one of the two basic generators implemented in the NAG Numerical Libraries. As the module of the generator is not prime, the length of its period is not 259 but only 257, if the initial value (seed) is not an even number. The drawback of these generators is well known, (see [Cram46], [Ent98]):
The lower bits of the generated sequence of pseudo-random numbers are not random and thus breaking numbers down into their bit patterns and using individual bits may cause failure of random tests.
Block-splitting an entire period sequence into 2d identical blocks leads to their full identity in d lower bits.
Real Implementation (Single and Double Precision)
The output vector is the sequence of the floating-point values u0, u1, ...
Integer Implementation
The output vector of the 32-bit integers is x0mod232, ⌊x0/232⌋, x1mod232, ⌊x1/232⌋, ...
Thus, the output vector stores practically every 59-bit member of the integer output as two 32-bit integers. For example, to get a vector from n 59-bit integers the size of the output array should be large enough to store 2n 32-bit numbers.
Stream Initialization by Function vslNewStream
MCG59 generates the stream and initializes it specifying the 32-bit input integer parameter seed.
Assume x0 = seed mod 259.
If x0 = 0, assume x0 = 1.
Stream Initialization of Function vslNewStreamEx
MCG59 generates the stream and initializes it specifying the the array params[] of n 32-bit integers:
If n = 0, assume x0 = 1.
If n = 1, assume seed = params[0], follow the instructions described in the above section on stream initialization by the function vslNewStream.
Otherwise assume seed = params[0]+232*params[1], follow the instructions described in the above section on stream initialization by the function vslNewStream.
Subsequences Selection Methods
vslSkipAheadStream |
Supported |
vslSkipAheadStreamEx |
Not supported |
vslLeapfrogStream |
Supported |
Generator Period

Lattice Structure
S2 = 0.84; S3 = 0.73; S4 = 0.74; S5 = 0.58; S6 = 0.63; S7 = 0.52; S8 = 0.55; S9 = 0.56.
Empirical Testing Results Summary
| Test Name | vsRngUniform |
vdRngUniform |
viRngUniform |
viRngUniformBits |
|---|---|---|---|---|
| 3D Spheres Test | OK (10% errors) | OK (10% errors) | Not applicable | OK (10% errors) |
| Birthday Spacing Test | Not applicable | Not applicable | Not applicable | OK (0% errors)[1] |
| Bitstream Test | Not applicable | Not applicable | Not applicable | OK (45% errors) |
| Rank of 31x31 Binary Matrices Test | Not applicable | Not applicable | Not applicable | OK (0% errors)[2] |
| Rank of 32x32 Binary Matrices Test | Not applicable | Not applicable | Not applicable | OK (0% errors)[3] |
| Rank of 6x8 Binary Matrices Test | Not applicable | Not applicable | Not applicable | OK (0% errors)[4] |
| Counts-the-1’s Test (stream of bits) | Not applicable | Not applicable | Not applicable | FAIL (100% errors) |
| Counts-the-1’s Test (stream of specific bytes) | Not applicable | Not applicable | Not applicable | OK (0% errors)[5] |
| Craps Test | OK (10% errors) | OK (10% errors) | OK (10% errors) | OK (10% errors) |
| Parking Lot Test | OK (20% errors) | OK (20% errors) | Not applicable | OK (20% errors) |
| 2D Self-Avoiding Random Walk Test | OK (20% errors) | OK (10% errors) | Not applicable | OK (10% errors) |
The tabulated data is obtained using the one-level (threshold) testing technique. The OK result indicates FAIL < 50%. The run fails when p-value falls outside the interval [0.05, 0.95].
The stream tested is generated by calling the function vslNewStream with seed=7,777,777.
[1] The generator fails the test for bit groups 0-23, 1-24, 2-25, 3-26, 5-28.
[2] The generator fails the test for bit groups 0-30, 1-31.
[3] The generator fails the test for bit groups 0-31, 1-32.
[4] The generator fails the test for bit groups 0-7, ..., 9-16, 11-18, 32-39, ..., 37-44, 39-46, ..., 41-48.
[5] The generator fails the test for bit groups 0-7, ..., 11-18, 13-20, ..., 15-22.