Notes for Intel® oneAPI Math Kernel Library Vector Statistics
ID
772987
Date
12/04/2020
Public
A newer version of this document is available. Customers should click here to go to the newest version.
3D Spheres Test
Birthday Spacing Test
Bitstream Test
Rank of 31x31 Binary Matrices Test
Rank of 32x32 Binary Matrices Test
Rank of 6x8 Binary Matrices Test
Count-the-1's Test (Stream of Bits)
Count-the-1's Test (Stream of Specific Bytes)
Craps Test
Parking Lot Test
Self-Avoiding Random Walk Test
Template Test
Uniform (VSL_RNG_METHOD_UNIFORM_STD/VSL_RNG_METHOD_UNIFORM_STD_ACCURATE)
Gaussian (VSL_RNG_METHOD_GAUSSIAN_BOXMULLER)
Gaussian (VSL_RNG_METHOD_GAUSSIAN_BOXMULLER2)
Gaussian (VSL_RNG_METHOD_GAUSSIAN_ICDF)
GaussianMV (VSL_RNG_METHOD_GAUSSIANMV_BOXMULLER)
GaussianMV (VSL_RNG_METHOD_GAUSSIANMV_BOXMULLER2)
GaussianMV (VSL_RNG_METHOD_GAUSSIANMV_ICDF)
Exponential (VSL_RNG_METHOD_EXPONENTIAL_ICDF/VSL_RNG_METHOD_EXPONENTIAL_ICDF_ACCURATE)
Laplace (VSL_RNG_METHOD_LAPLACE_ICDF)
Weibull (VSL_RNG_METHOD_WEIBULL_ICDF/ VSL_RNG_METHOD_WEIBULL_ICDF_ACCURATE)
Cauchy (VSL_RNG_METHOD_CAUCHY_ICDF)
Rayleigh (VSL_RNG_METHOD_RAYLEIGH_ICDF/ VSL_RNG_METHOD_RAYLEIGH_ICDF_ACCURATE)
Lognormal (VSL_RNG_METHOD_LOGNORMAL_ BOXMULLER2/VSL_RNG_METHOD_LOGNORMAL_BOXMULLER2_ACCURATE)
Lognormal (VSL_RNG_METHOD_LOGNORMAL_ICDF/VSL_RNG_METHOD_LOGNORMAL_ICDF_ACCURATE)
Gumbel (VSL_RNG_METHOD_GUMBEL_ICDF)
Gamma (VSL_RNG_METHOD_GAMMA_GNORM/ VSL_RNG_METHOD_GAMMA_GNORM_ACCURATE)
Beta (VSL_RNG_METHOD_BETA_CJA/ VSL_RNG_METHOD_BETA_CJA_ACCURATE)
ChiSquare (VSL_RNG_METHOD_CHISQUARE_CHI2GAMMA)
Uniform (VSL_RNG_METHOD_UNIFORM_STD)
UniformBits (VSL_RNG_METHOD_UNIFORMBITS_STD)
UniformBits32 (VSL_RNG_METHOD_UNIFORMBITS32_STD)
UniformBits64 (VSL_RNG_METHOD_UNIFORMBITS64_STD)
Bernoulli (VSL_RNG_METHOD_BERNOULLI_ICDF)
Geometric (VSL_RNG_METHOD_GEOMETRIC_ICDF)
Binomial (VSL_RNG_METHOD_BINOMIAL_BTPE)
Hypergeometric (VSL_RNG_METHOD_HYPERGEOMETRIC_H2PE)
Poisson (VSL_RNG_METHOD_POISSON_PTPE)
Poisson (VSL_RNG_METHOD_POISSON_POISNORM)
PoissonV (VSL_RNG_METHOD_POISSONV_POISNORM)
NegBinomial (VSL_RNG_METHOD_NEGBINOMIAL_NBAR)
Multinomial (VSL_RNG_METHOD_MULTINOMIAL_MULTPOISSON)
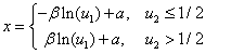
Laplace (VSL_RNG_METHOD_LAPLACE_ICDF)
Random number generator of the Laplace distribution with parameters a and β. You can generate any successive random number x of the Laplace distribution by the inverse transformation method from the formula:

where u1, u2 is a pair of successive random numbers of a uniform distribution over the interval (0, 1).
See Intel® oneAPI Math Kernel Library Vector Statistics Random Number Generator Performance Data for test results summary.
Parent topic: Continuous Distribution Random Number Generators