Developer Reference for Intel® oneAPI Math Kernel Library for C
A newer version of this document is available. Customers should click here to go to the newest version.
v?Modf
Computes a truncated integer value and the remaining fraction part for each vector element.
vsModf( n, a, y, z );
vsModfI(n, a, inca, y, incy, z, incz);
vmsModf( n, a, y, z, mode );
vmsModfI(n, a, inca, y, incy, z, incz, mode);
vdModf( n, a, y, z );
vdModfI(n, a, inca, y, incy, z, incz);
vmdModf( n, a, y, z, mode );
vmdModfI(n, a, inca, y, incy, z, incz, mode);
- mkl.h
Name |
Type |
Description |
---|---|---|
n |
const MKL_INT |
Specifies the number of elements to be calculated. |
a |
const float* for vsModf, vmsModf const double* for vdModf, vmdModf |
Pointer to an array that contains the input vector a. |
inca, incy, incz |
const MKL_INT |
Specifies increments for the elements of a, y, and z. |
mode |
const MKL_INT64 |
Overrides global VM mode setting for this function call. See vmlSetMode for possible values and their description. |
Name |
Type |
Description |
---|---|---|
y, z |
float* for vsModf, vmsModf double* for vdModf, vmdModf |
Pointer to an array that contains the output vector y and z. |
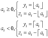
The function computes a truncated integer value and the remaining fraction part for each vector element.

Argument | Result: y(i) | Result: z(i) | Exception |
---|---|---|---|
+0 | +0 | +0 | |
-0 | -0 | -0 | |
+∞ | +∞ | +0 | |
-∞ | -∞ | -0 | |
SNAN | QNAN | QNAN | INVALID |
QNAN | QNAN | QNAN |