Intel® Integrated Performance Primitives (Intel® IPP) Developer Guide and Reference

ID 790148
Date 3/22/2024
Public

A newer version of this document is available. Customers should click here to go to the newest version.

Document Table of Contents

Sqrt

Computes a square root of each element of a vector.

Syntax

IppStatus ippsSqrt_32f(const Ipp32f* pSrc, Ipp32f* pDst, int len);

IppStatus ippsSqrt_64f(const Ipp64f* pSrc, Ipp64f* pDst, int len);

IppStatus ippsSqrt_32fc(const Ipp32fc* pSrc, Ipp32fc* pDst, int len);

IppStatus ippsSqrt_64fc(const Ipp64fc* pSrc, Ipp64fc* pDst, int len);

IppStatus ippsSqrt_8u_Sfs(const Ipp8u* pSrc, Ipp8u* pDst, int len, int scaleFactor);

IppStatus ippsSqrt_16s_Sfs(const Ipp16s* pSrc, Ipp16s* pDst, int len, int scaleFactor);

IppStatus ippsSqrt_16u_Sfs(const Ipp16u* pSrc, Ipp16u* pDst, int len, int scaleFactor);

IppStatus ippsSqrt_16sc_Sfs(const Ipp16sc* pSrc, Ipp16sc* pDst, int len, int scaleFactor);

IppStatus ippsSqrt_32s16s_Sfs(const Ipp32s* pSrc, Ipp16s* pDst, int len, int scaleFactor);

IppStatus ippsSqrt_32f_I(Ipp32f* pSrcDst, int len);

IppStatus ippsSqrt_64f_I(Ipp64f* pSrcDst, int len);

IppStatus ippsSqrt_32fc_I(Ipp32fc* pSrcDst, int len);

IppStatus ippsSqrt_64fc_I(Ipp64fc* pSrcDst, int len);

IppStatus ippsSqrt_8u_ISfs(Ipp8u* pSrcDst, int len, int scaleFactor);

IppStatus ippsSqrt_16s_ISfs(Ipp16s* pSrcDst, int len, int scaleFactor);

IppStatus ippsSqrt_16u_ISfs(Ipp16u* pSrcDst, int len, int scaleFactor);

IppStatus ippsSqrt_16sc_ISfs(Ipp16sc* pSrcDst, int len, int scaleFactor);

Include Files

ipps.h

Domain Dependencies

Headers: ippcore.h, ippvm.h

Libraries: ippcore.lib, ippvm.lib

Parameters

pSrc

Pointer to the source vector.

pDst

Pointer to the destination vector.

pSrcDst

Pointer to the source and destination vector for in-place operations.

len

Number of elements in the vector

scaleFactor

Scale factor, refer to Integer Scaling.

Description

This function computes the square root of each element of the vector pSrc, and stores the result in pDst. The computation is performed as follows:

pDst[n] = (pSrc[n] )1/2

The in-place flavors of ippsSqrt compute the square root of each element of the vector pSrcDst and store the result in pSrcDst. The computation is performed as follows:

pSrcDst[n] = (pSrcDst[n] )1/2.

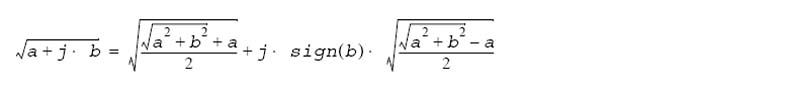
The square root of complex vector elements is computed as follows:



If the function ippsSqrt encounters a negative value in the input, it returns a warning status and continues execution with the corresponding result value (see appendix A "Handling of Special Cases" for more information).

To increase precision of an integer output, use the scale factor.

Return Values

ippStsNoErr

Indicates no error.

ippStsNullPtrErr

Indicates an error when the pSrc, pDst, or pSrcDst pointer is NULL.

ippStsSizeErr

Indicates an error when len is less than or equal to 0.

ippStsSqrtNegArg

Indicates a warning that a source element has a negative value.

Example

Sqrt:

/*******************************************************************************
* Copyright 2015 Intel Corporation.
*
*
* This software and the related documents are Intel copyrighted materials, and your use of them is governed by
* the express license under which they were provided to you ('License'). Unless the License provides otherwise,
* you may not use, modify, copy, publish, distribute, disclose or transmit this software or the related
* documents without Intel's prior written permission.
* This software and the related documents are provided as is, with no express or implied warranties, other than
* those that are expressly stated in the License.
*******************************************************************************/

#include <stdio.h>
#include "ipp.h"

/* Next two defines are created to simplify code reading and understanding */
#define EXIT_MAIN exitLine:                                  /* Label for Exit */
#define check_sts(st) if((st) != ippStsNoErr) goto exitLine; /* Go to Exit if Intel(R) Integrated Performance Primitives (Intel(R) IPP) function returned status different from ippStsNoErr */

/* Results of ippMalloc() are not validated because Intel(R) IPP functions perform bad arguments check and will return an appropriate status  */

int main()
{
    int len = 32;
    int i;
    Ipp16s *pSrc = ippsMalloc_16s(len * sizeof(Ipp16s));
    Ipp16s *pDst = ippsMalloc_16s(len * sizeof(Ipp16s));
    IppStatus status;
    int scale = 0;  //without scaling
    printf("\n\nSource vector\n");
    for (i = 0; i < len; i++)
    {
        pSrc[i] = 2 + i;
        printf("%d; ", pSrc[i]);
    }

    check_sts(status = ippsSqrt_16s_Sfs(pSrc, pDst, len, scale));

    printf("\n\nResult\n");
    for (i = 0; i < len; i++) printf("%d; ", pDst[i]);
    printf("\n\n");

    EXIT_MAIN
    ippsFree(pSrc);
    ippsFree(pDst);
    printf("Exit status %d (%s)\n", (int)status, ippGetStatusString(status));
    return (int)status;
}

Sqrt_I:

/*******************************************************************************
* Copyright 2015 Intel Corporation.
*
*
* This software and the related documents are Intel copyrighted materials, and your use of them is governed by
* the express license under which they were provided to you ('License'). Unless the License provides otherwise,
* you may not use, modify, copy, publish, distribute, disclose or transmit this software or the related
* documents without Intel's prior written permission.
* This software and the related documents are provided as is, with no express or implied warranties, other than
* those that are expressly stated in the License.
*******************************************************************************/

#include <stdio.h>
#include "ipp.h"

/* Next two defines are created to simplify code reading and understanding */
#define EXIT_MAIN exitLine:                                  /* Label for Exit */
#define check_sts(st) if((st) != ippStsNoErr) goto exitLine; /* Go to Exit if Intel(R) Integrated Performance Primitives (Intel(R) IPP) function returned status different from ippStsNoErr */

/* Results of ippMalloc() are not validated because Intel(R) IPP functions perform bad arguments check and will return an appropriate status  */

int main()
{
    int len = 32;
    int i;
    Ipp16u *pSrcDst = ippsMalloc_16u(len * sizeof(Ipp16u));
    IppStatus status;
    int scale = 0;  //without scaling
    printf("\n\nSource vector\n");
    for (i = 0; i < len; i++)
    {
        pSrcDst[i] = i;
        printf("%d; ", pSrcDst[i]);
    }

    check_sts(status = ippsSqrt_16u_ISfs(pSrcDst, len, scale));

    printf("\n\nResult\n");
    for (i = 0; i < len; i++) printf("%d; ", pSrcDst[i]);
    printf("\n\n");

EXIT_MAIN
    ippsFree(pSrcDst);
    printf("Exit status %d (%s)\n", (int)status, ippGetStatusString(status));
    return (int)status;
}