Developer Reference for Intel® oneAPI Math Kernel Library for Fortran
A newer version of this document is available. Customers should click here to go to the newest version.
v?Log10
Computes the base 10 logarithm of vector elements.
Syntax
call vslog10( n, a, y )
call vslog10i(n, a, inca, y, incy)
call vmslog10( n, a, y, mode )
call vmslog10i(n, a, inca, y, incy, mode)
call vdlog10( n, a, y )
call vdlog10i(n, a, inca, y, incy)
call vmdlog10( n, a, y, mode )
call vmdlog10i(n, a, inca, y, incy, mode)
call vclog10( n, a, y )
call vclog10i(n, a, inca, y, incy)
call vmclog10( n, a, y, mode )
call vmclog10i(n, a, inca, y, incy, mode)
call vzlog10( n, a, y )
call vzlog10i(n, a, inca, y, incy)
call vmzlog10( n, a, y, mode )
call vmzlog10i(n, a, inca, y, incy, mode)
Include Files
- mkl_vml.f90
Input Parameters
Name |
Type |
Description |
|---|---|---|
n |
INTEGER, INTENT(IN) |
Specifies the number of elements to be calculated. |
a |
DOUBLE PRECISION for vdlog10, vmdlog10 COMPLEX for vclog10, vmclog10 DOUBLE COMPLEX for vzlog10, vmzlog10 REAL, INTENT(IN) for vslog10, vmslog10 DOUBLE PRECISION, INTENT(IN) for vdlog10, vmdlog10 COMPLEX, INTENT(IN) for vclog10, vmclog10 DOUBLE COMPLEX, INTENT(IN) for vzlog10, vmzlog10 |
Array that specifies the input vector a. |
inca, incy |
INTEGER, INTENT(IN) |
Specifies increments for the elements of a and y. |
mode |
INTEGER(KIND=8), INTENT(IN) |
Overrides global VM mode setting for this function call. See vmlSetMode for possible values and their description. |
Output Parameters
Name |
Type |
Description |
|---|---|---|
y |
DOUBLE PRECISION for vdlog10, vmdlog10 COMPLEX for vclog10, vmclog10 DOUBLE COMPLEX for vzlog10, vmzlog10 REAL, INTENT(OUT) for vslog10, vmslog10 DOUBLE PRECISION, INTENT(OUT) for vdlog10, vmdlog10 COMPLEX, INTENT(OUT) for vclog10, vmclog10 DOUBLE COMPLEX, INTENT(OUT) for vzlog10, vmzlog10 |
Array that specifies the output vector y. |
Description
The v?Log10 function computes the base 10 logarithm of vector elements.
| Argument | Result | VM Error Status | Exception |
|---|---|---|---|
| +1 | +0 | ||
| X < +0 | QNAN | VML_STATUS_ERRDOM | INVALID |
| +0 | -∞ | VML_STATUS_SING | ZERODIVIDE |
| -0 | -∞ | VML_STATUS_SING | ZERODIVIDE |
| -∞ | QNAN | VML_STATUS_ERRDOM | INVALID |
| +∞ | +∞ | ||
| QNAN | QNAN | ||
| SNAN | QNAN | INVALID |
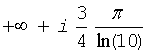
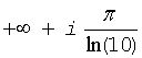
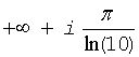
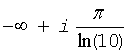
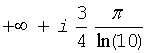
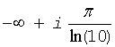
See Special Value Notations for the conventions used in the table below.
RE(z) i·IM(z) |
-∞
|
-X
|
-0
|
+0
|
+X
|
+∞
|
NAN
|
|---|---|---|---|---|---|---|---|
| +i·∞ | ![]() |
![]() |
![]() |
![]() |
![]() |
![]() |
+∞+i·QNAN INVALID |
| +i·Y | ![]() |
+∞+i·0 | QNAN+i·QNAN INVALID |
||||
| +i·0 | ![]() |
ZERODIVIDE |
-∞+i·0 ZERODIVIDE | +∞+i·0 | QNAN+i·QNAN INVALID |
||
| -i·0 | ![]() |
ZERODIVIDE |
-∞-i·0 ZERODIVIDE | +∞-i·0 | QNAN-i·QNAN INVALID |
||
| -i·Y | ![]() |
+∞-i·0 | QNAN+i·QNAN INVALID |
||||
| -i·∞ | ![]() |
![]() |
![]() |
![]() |
![]() |
![]() |
+∞+i·QNAN |
| +i·NAN | +∞+i·QNAN |
QNAN+i·QNAN INVALID |
QNAN+i·QNAN INVALID |
QNAN+i·QNAN INVALID |
QNAN+i·QNAN INVALID |
+∞+i·QNAN |
QNAN+i·QNAN INVALID |
Notes:
raises INVALID exception when real or imaginary part of the argument is SNAN




ZERODIVIDE
ZERODIVIDE
