Developer Reference for Intel® oneAPI Math Kernel Library for Fortran
A newer version of this document is available. Customers should click here to go to the newest version.
Extended Eigensolver Input Parameters
The input parameters for Extended Eigensolver routines are contained in an integer array named fpm. To call the Extended Eigensolver interfaces, this array should be initialized using the routine feastinit.
Parameter |
Default |
Description |
|---|---|---|
fpm(1) |
0 |
Specifies whether Extended Eigensolver routines print runtime status.
|
fpm(2) |
8 |
The number of contour points Ne = 8 (see the description of FEAST algorithm). Must be one of {3,4,5,6,8,10,12,16,20,24,32,40,48}. |
fpm(3) |
12 |
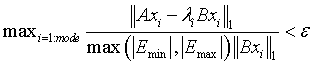
Error trace double precision stopping criteria ε (ε = 10-fpm(3)) . |
fpm(4) |
20 |
Maximum number of Extended Eigensolver refinement loops allowed. If no convergence is reached within fpm(4) refinement loops, Extended Eigensolver routines return info=2. |
fpm(5) |
0 |
User initial subspace. If fpm(5)=0 then Extended Eigensolver routines generate initial subspace, if fpm(5)=1 the user supplied initial subspace is used. |
fpm(6) |
0 |
Extended Eigensolver stopping test.
|
fpm(7) |
5 |
Error trace single precision stopping criteria (10-fpm(7)) . |
fpm(14) |
0 |
|
fpm(27) |
0 |
Specifies whether Extended Eigensolver routines check input matrices (applies to CSR format only).
|
fpm(28) |
0 |
Check if matrix B is positive definite. Set fpm(28) = 1 to check if B is positive definite. |
fpm(30) to fpm(63) |
- |
Reserved for future use. |
fpm(64) |
0 |
Use the Intel® oneAPI Math Kernel Library (oneMKL) PARDISO solver with the user-defined PARDISOiparm array settings.
NOTE:
This option can only be used by Extended Eigensolver Predefined Interfaces for Sparse Matrices.
|


,
.