Developer Reference for Intel® oneAPI Math Kernel Library for Fortran

ID 766686
Date 3/31/2025
Public

A newer version of this document is available. Customers should click here to go to the newest version.

Document Table of Contents

?pbequ

Computes row and column scaling factors intended to equilibrate a symmetric (Hermitian) positive-definite band matrix and reduce its condition number.

Syntax

call spbequ( uplo, n, kd, ab, ldab, s, scond, amax, info )

call dpbequ( uplo, n, kd, ab, ldab, s, scond, amax, info )

call cpbequ( uplo, n, kd, ab, ldab, s, scond, amax, info )

call zpbequ( uplo, n, kd, ab, ldab, s, scond, amax, info )

call pbequ( ab, s [,scond] [,amax] [,uplo] [,info] )

Include Files

  • mkl.fi, mkl_lapack.f90

Description

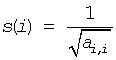
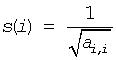
The routine computes row and column scalings intended to equilibrate a symmetric (Hermitian) positive definite band matrix A and reduce its condition number (with respect to the two-norm). The output array s returns scale factors such that s(i)s[i + 1] contains


Equation

These factors are chosen so that the scaled matrix B with elements bij=s(i)*aij*s(j) has diagonal elements equal to 1. This choice of s puts the condition number of B within a factor n of the smallest possible condition number over all possible diagonal scalings.

See ?laqsb auxiliary function that uses scaling factors computed by ?pbequ.

Input Parameters

uplo

CHARACTER*1. Must be 'U' or 'L'.

Indicates whether the upper or lower triangular part of A is stored in the array ab:

If uplo = 'U', the array ab stores the upper triangular part of the matrix A.

If uplo = 'L', the array ab stores the lower triangular part of the matrix A.

n

INTEGER. The order of matrix A; n 0.

kd

INTEGER. The number of superdiagonals or subdiagonals in the matrix A; kd 0.

ab

REAL for spbequ

DOUBLE PRECISION for dpbequ

COMPLEX for cpbequ

DOUBLE COMPLEX for zpbequ.

Array, size ldab by *.

The array ap contains either the upper or the lower triangular part of the matrix A (as specified by uplo) in band storage (see Matrix Storage Schemes).

The second dimension of ab must be at least max(1, n).

ldab

INTEGER. The leading dimension of the array ab; ldabkd +1.

Output Parameters

s

REAL for single precision flavors

DOUBLE PRECISION for double precision flavors.

Array, size (n).

If info = 0, the array s contains the scale factors for A.

scond

REAL for single precision flavors

DOUBLE PRECISION for double precision flavors.

If info = 0, scond contains the ratio of the smallest s(i) to the largest s(i).

amax

REAL for single precision flavors

DOUBLE PRECISION for double precision flavors.

Absolute value of the largest element of the matrix A.

info

INTEGER.

If info = 0, the execution is successful.

If info = -i, the i-th parameter had an illegal value.

If info = i, the i-th diagonal element of A is nonpositive.

LAPACK 95 Interface Notes

Routines in Fortran 95 interface have fewer arguments in the calling sequence than their FORTRAN 77 counterparts. For general conventions applied to skip redundant or reconstructible arguments, see LAPACK 95 Interface Conventions.

Specific details for the routine pbequ interface are as follows:

ab

Holds the array A of size (kd+1,n).

s

Holds the vector of length n.

uplo

Must be 'U' or 'L'. The default value is 'U'.

Application Notes

If scond 0.1 and amax is neither too large nor too small, it is not worth scaling by s.

If amax is very close to SMLNUM or very close to BIGNUM, the matrix A should be scaled.