Developer Reference for Intel® oneAPI Math Kernel Library for Fortran

ID 766686
Date 11/07/2023
Public

A newer version of this document is available. Customers should click here to go to the newest version.

Document Table of Contents

?laed6

Used by sstedc/dstedc. Computes one Newton step in solution of the secular equation.

Syntax

call slaed6( kniter, orgati, rho, d, z, finit, tau, info )

call dlaed6( kniter, orgati, rho, d, z, finit, tau, info )

Include Files

  • mkl.fi

Description

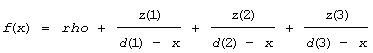
The routine computes the positive or negative root (closest to the origin) of


Equation

It is assumed that if orgati = .TRUE. the root is between d(2) and d(3);otherwise it is between d(1) and d(2) This routine is called by ?laed4 when necessary. In most cases, the root sought is the smallest in magnitude, though it might not be in some extremely rare situations.

Input Parameters

kniter

INTEGER.

Refer to ?laed4 for its significance.

orgati

LOGICAL.

If orgati = .TRUE., the needed root is between d(2) and d(3); otherwise it is between d(1) and d(2). See ?laed4 for further details.

rho

REAL for slaed6

DOUBLE PRECISION for dlaed6

Refer to the equation for f(x) above.

d, z

REAL for slaed6

DOUBLE PRECISION for dlaed6

Arrays, dimension (3) each.

The array d satisfies d(1) < d(2) < d(3).

Each of the elements in the array z must be positive.

finit

REAL for slaed6

DOUBLE PRECISION for dlaed6

The value of f(x) at 0. It is more accurate than the one evaluated inside this routine (if someone wants to do so).

Output Parameters

tau

REAL for slaed6

DOUBLE PRECISION for dlaed6

The root of the equation for f(x).

info

INTEGER.

If info = 0, the execution is successful.

If info = 1, failure to converge.