Developer Reference for Intel® oneAPI Math Kernel Library for Fortran
A newer version of this document is available. Customers should click here to go to the newest version.
vRngBinomial
Generates binomially distributed random numbers.
status = virngbinomial( method, stream, n, r, ntrial, p )
- mkl.fi, mkl_vsl.f90
Name |
Type |
Description |
---|---|---|
method |
INTEGER, INTENT(IN) |
Generation method. The specific value is as follows: VSL_RNG_METHOD_BINOMIAL_BTPE See brief description of the BTPE method in Table "Values of <method> in method parameter". |
stream |
TYPE (VSL_STREAM_STATE), INTENT(IN) |
Descriptor of the stream state structure. |
n |
INTEGER, INTENT(IN) |
Number of random values to be generated |
ntrial |
INTEGER(KIND=4), INTENT(IN) |
Number of independent trials m |
p |
REAL(KIND=8), INTENT(IN) |
Success probability p of a single trial |
Name |
Type |
Description |
---|---|---|
r |
INTEGER(KIND=4), INTENT(OUT) |
Vector of n binomially distributed random values |
The vRngBinomial function generates binomially distributed random numbers with number of independent Bernoulli trials m, and with probability p of a single trial success, where p∈R; 0 ≤p≤ 1, m∈N.
A binomially distributed variate represents the number of successes in m independent Bernoulli trials with probability of a single trial success p.
The probability distribution is given by:

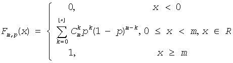
The cumulative distribution function is as follows:

Product and Performance Information |
---|
Performance varies by use, configuration and other factors. Learn more at www.Intel.com/PerformanceIndex. Notice revision #20201201 |
- VSL_ERROR_OK, VSL_STATUS_OK
-
Indicates no error, execution is successful.
- VSL_ERROR_NULL_PTR
-
stream is a NULL pointer.
- VSL_RNG_ERROR_BAD_STREAM
-
stream is not a valid random stream.
- VSL_RNG_ERROR_BAD_UPDATE
-
Callback function for an abstract BRNG returns an invalid number of updated entries in a buffer, that is, < 0 or > nmax.
- VSL_RNG_ERROR_NO_NUMBERS
-
Callback function for an abstract BRNG returns 0 as the number of updated entries in a buffer.
- VSL_RNG_ERROR_QRNG_PERIOD_ELAPSED
-
Period of the generator has been exceeded.
- VSL_RNG_ERROR_NONDETERM_NRETRIES_EXCEEDED
-
Number of retries to generate a random number by using non-deterministic random number generator exceeds threshold.
- VSL_RNG_ERROR_ARS5_NOT_SUPPORTED
-
ARS-5 random number generator is not supported on the CPU running the application.