Developer Reference for Intel® oneAPI Math Kernel Library for C

ID 766684
Date 3/22/2024
Public

A newer version of this document is available. Customers should click here to go to the newest version.

Document Table of Contents

vRngExponential

Generates exponentially distributed random numbers.

Syntax

status = vsRngExponential( method, stream, n, r, a, beta );

status = vdRngExponential( method, stream, n, r, a, beta );

Include Files

  • mkl.h

Input Parameters

Name

Type

Description

method

const MKL_INT

Generation method. The specific values are as follows:

VSL_RNG_METHOD_EXPONENTIAL_ICDF
VSL_RNG_METHOD_EXPONENTIAL_ICDF_ACCURATE

Inverse cumulative distribution function method

stream

VSLStreamStatePtr

Pointer to the stream state structure

n

const MKL_INT

Number of random values to be generated

a

const float for vsRngExponential

const double for vdRngExponential

Displacement a

beta

const float for vsRngExponential

const double for vdRngExponential

Scalefactor β.

Output Parameters

Name

Type

Description

r

float* for vsRngExponential

double* for vdRngExponential

Vector of n exponentially distributed random numbers

Description

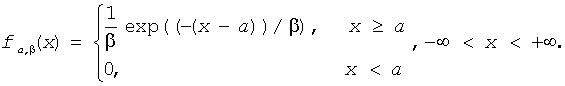
The vRngExponential function generates random numbers with exponential distribution that has displacement a and scalefactor β, where a, βR ; β > 0.

The probability density function is given by:


Equation

The cumulative distribution function is as follows:


Equation

Product and Performance Information

Performance varies by use, configuration and other factors. Learn more at www.Intel.com/PerformanceIndex.

Notice revision #20201201

Return Values

VSL_ERROR_OK, VSL_STATUS_OK

Indicates no error, execution is successful.

VSL_ERROR_NULL_PTR

stream is a NULL pointer.

VSL_RNG_ERROR_BAD_STREAM

stream is not a valid random stream.

VSL_RNG_ERROR_BAD_UPDATE

Callback function for an abstract BRNG returns an invalid number of updated entries in a buffer, that is, < 0 or > nmax.

VSL_RNG_ERROR_NO_NUMBERS

Callback function for an abstract BRNG returns 0 as the number of updated entries in a buffer.

VSL_RNG_ERROR_QRNG_PERIOD_ELAPSED

Period of the generator has been exceeded.

VSL_RNG_ERROR_NONDETERM_NRETRIES_EXCEEDED

Number of retries to generate a random number by using non-deterministic random number generator exceeds threshold.

VSL_RNG_ERROR_ARS5_NOT_SUPPORTED

ARS-5 random number generator is not supported on the CPU running the application.