Intel® Integrated Performance Primitives (Intel® IPP) Developer Guide and Reference
Sqrt
Computes a square root of each element of a vector.
Syntax
IppStatus ippsSqrt_32f(const Ipp32f* pSrc, Ipp32f* pDst, int len);
IppStatus ippsSqrt_64f(const Ipp64f* pSrc, Ipp64f* pDst, int len);
IppStatus ippsSqrt_32fc(const Ipp32fc* pSrc, Ipp32fc* pDst, int len);
IppStatus ippsSqrt_64fc(const Ipp64fc* pSrc, Ipp64fc* pDst, int len);
IppStatus ippsSqrt_8u_Sfs(const Ipp8u* pSrc, Ipp8u* pDst, int len, int scaleFactor);
IppStatus ippsSqrt_16s_Sfs(const Ipp16s* pSrc, Ipp16s* pDst, int len, int scaleFactor);
IppStatus ippsSqrt_16u_Sfs(const Ipp16u* pSrc, Ipp16u* pDst, int len, int scaleFactor);
IppStatus ippsSqrt_16sc_Sfs(const Ipp16sc* pSrc, Ipp16sc* pDst, int len, int scaleFactor);
IppStatus ippsSqrt_32s16s_Sfs(const Ipp32s* pSrc, Ipp16s* pDst, int len, int scaleFactor);
IppStatus ippsSqrt_32f_I(Ipp32f* pSrcDst, int len);
IppStatus ippsSqrt_64f_I(Ipp64f* pSrcDst, int len);
IppStatus ippsSqrt_32fc_I(Ipp32fc* pSrcDst, int len);
IppStatus ippsSqrt_64fc_I(Ipp64fc* pSrcDst, int len);
IppStatus ippsSqrt_8u_ISfs(Ipp8u* pSrcDst, int len, int scaleFactor);
IppStatus ippsSqrt_16s_ISfs(Ipp16s* pSrcDst, int len, int scaleFactor);
IppStatus ippsSqrt_16u_ISfs(Ipp16u* pSrcDst, int len, int scaleFactor);
IppStatus ippsSqrt_16sc_ISfs(Ipp16sc* pSrcDst, int len, int scaleFactor);
Include Files
ipps.h
Domain Dependencies
Headers: ippcore.h, ippvm.h
Libraries: ippcore.lib, ippvm.lib
Parameters
pSrc |
Pointer to the source vector. |
pDst |
Pointer to the destination vector. |
pSrcDst |
Pointer to the source and destination vector for in-place operations. |
len |
Number of elements in the vector |
scaleFactor |
Scale factor, refer to Integer Scaling. |
Description
This function computes the square root of each element of the vector pSrc, and stores the result in pDst. The computation is performed as follows:
pDst[n] = (pSrc[n] )1/2
The in-place flavors of ippsSqrt compute the square root of each element of the vector pSrcDst and store the result in pSrcDst. The computation is performed as follows:
pSrcDst[n] = (pSrcDst[n] )1/2.
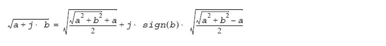
The square root of complex vector elements is computed as follows:

If the function ippsSqrt encounters a negative value in the input, it returns a warning status and continues execution with the corresponding result value (see appendix A "Handling of Special Cases" for more information).
To increase precision of an integer output, use the scale factor.
Return Values
ippStsNoErr |
Indicates no error. |
ippStsNullPtrErr |
Indicates an error when the pSrc, pDst, or pSrcDst pointer is NULL. |
ippStsSizeErr |
Indicates an error when len is less than or equal to 0. |
ippStsSqrtNegArg |
Indicates a warning that a source element has a negative value. |
Example
Sqrt:
/*******************************************************************************
* Copyright 2015 Intel Corporation.
*
*
* This software and the related documents are Intel copyrighted materials, and your use of them is governed by
* the express license under which they were provided to you ('License'). Unless the License provides otherwise,
* you may not use, modify, copy, publish, distribute, disclose or transmit this software or the related
* documents without Intel's prior written permission.
* This software and the related documents are provided as is, with no express or implied warranties, other than
* those that are expressly stated in the License.
*******************************************************************************/
#include <stdio.h>
#include "ipp.h"
/* Next two defines are created to simplify code reading and understanding */
#define EXIT_MAIN \
exitLine: /* Label for Exit */
#define check_sts(st) \
if ((st) != ippStsNoErr) \
goto exitLine; /* Go to Exit if Intel(R) Integrated Performance Primitives (Intel(R) IPP) function returned status different from \
ippStsNoErr */
/* Results of ippMalloc() are not validated because Intel(R) IPP functions perform bad arguments check and will return an appropriate status */
int main()
{
int len = 32;
int i;
Ipp16s *pSrc = ippsMalloc_16s(len * sizeof(Ipp16s));
Ipp16s *pDst = ippsMalloc_16s(len * sizeof(Ipp16s));
IppStatus status;
int scale = 0; // without scaling
printf("\n\nSource vector\n");
for (i = 0; i < len; i++) {
pSrc[i] = 2 + i;
printf("%d; ", pSrc[i]);
}
check_sts(status = ippsSqrt_16s_Sfs(pSrc, pDst, len, scale));
printf("\n\nResult\n");
for (i = 0; i < len; i++)
printf("%d; ", pDst[i]);
printf("\n\n");
EXIT_MAIN
ippsFree(pSrc);
ippsFree(pDst);
printf("Exit status %d (%s)\n", (int)status, ippGetStatusString(status));
return (int)status;
}
Sqrt_I:
/*******************************************************************************
* Copyright 2015 Intel Corporation.
*
*
* This software and the related documents are Intel copyrighted materials, and your use of them is governed by
* the express license under which they were provided to you ('License'). Unless the License provides otherwise,
* you may not use, modify, copy, publish, distribute, disclose or transmit this software or the related
* documents without Intel's prior written permission.
* This software and the related documents are provided as is, with no express or implied warranties, other than
* those that are expressly stated in the License.
*******************************************************************************/
#include <stdio.h>
#include "ipp.h"
/* Next two defines are created to simplify code reading and understanding */
#define EXIT_MAIN \
exitLine: /* Label for Exit */
#define check_sts(st) \
if ((st) != ippStsNoErr) \
goto exitLine; /* Go to Exit if Intel(R) Integrated Performance Primitives (Intel(R) IPP) function returned status different from \
ippStsNoErr */
/* Results of ippMalloc() are not validated because Intel(R) IPP functions perform bad arguments check and will return an appropriate status */
int main()
{
int len = 32;
int i;
Ipp16u *pSrcDst = ippsMalloc_16u(len * sizeof(Ipp16u));
IppStatus status;
int scale = 0; // without scaling
printf("\n\nSource vector\n");
for (i = 0; i < len; i++) {
pSrcDst[i] = i;
printf("%d; ", pSrcDst[i]);
}
check_sts(status = ippsSqrt_16u_ISfs(pSrcDst, len, scale));
printf("\n\nResult\n");
for (i = 0; i < len; i++)
printf("%d; ", pSrcDst[i]);
printf("\n\n");
EXIT_MAIN
ippsFree(pSrcDst);
printf("Exit status %d (%s)\n", (int)status, ippGetStatusString(status));
return (int)status;
}