Intel® Integrated Performance Primitives (Intel® IPP) Developer Guide and Reference
Interpolation with Two-Parameter Cubic Filters
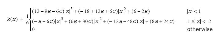
The two-parameter family of cubic filters have kernels of the form:
where B and C are two parameters; their variations give different approximation.
These interpolation methods additionally filter the output to improve quality of an image.
To get more information about how B and C values affect the result, refer to [Mitchell88].
Interpolation with two parameter cubic filters is presented as following functions:
- B-spline
- Catmull-Rom spline
- Special two parameters filter
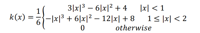
B-spline
B-spline is a more general type of curve than Bezier curves. This spline function has the smallest support for a given degree, order of smoothness, and domain partitioning.
ParametersBand C are equal to 1 and 0 respectively.

To use the interpolation with two-parameter cubic filters, set the interpolation parameter to IPPI_INTER_CUBIC2P_BSPLINE.
To learn more about B-splines, refer to ScrewBender
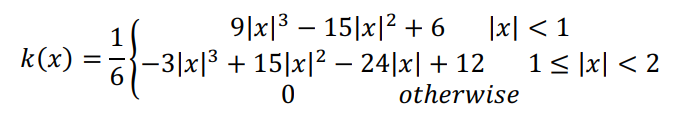
Catmull-Rom Spline
The Catmull-Rom spline is a kind of cubic Hermite spline. Its peculiarity is that the interpolated function is given not only by its values at points but also by its first derivatives .
Parameters B and C are equal to 0 and 0.5 respectively.

These interpolation methods additionally filter the output to improve the quality of an image.
To use the interpolation with two-parameter cubic filters, set the interpolation parameter IPPI_INTER_CUBIC2P_CATMULLROM.
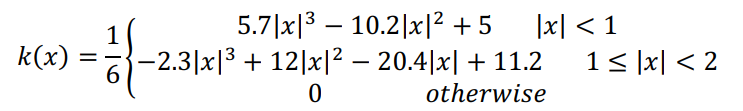
Special Two-Parameters Filter
Parameters B and C are equal to 0.5 and 0.3 respectively.

To use the interpolation with two-parameter cubic filters, set the interpolation parameter IPPI_INTER_CUBIC2P_ B05C03 .