Intel® Integrated Performance Primitives (Intel® IPP) Developer Guide and Reference
Image Quality Index
Intel IPP functions described in this section compute the universal image quality index [Wang02] that may be used as image and video quality distortion measure. It is mathematically defined by modeling the image distortion relative to the reference image as a combination of three factors: loss of correlation, luminance distortion, and contrast distortion.
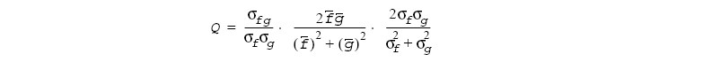
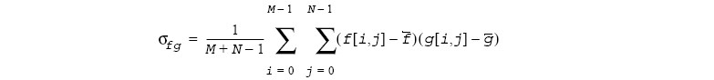
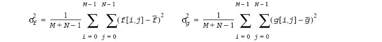
If two images f and g are considered as a matrices with M column and N rows containing pixel values f[i,j], g[i,j], respectively (0 ≥ i > M, 0 ≥ j > N ), the universal image quality index Q may be calculated as a product of three components:

where



The first component is the correlation coefficient, which measures the degree of linear correlation between images f and g. It varies in the range [-1, 1]. The best value 1 is obtained when f and g are linearly related, which means that g[i,j] =af[ i,j]+b for all possible values of i and j. The second component, with a value range of [0, 1], measures how close the mean luminance is between images. Since σf and σg can be considered as estimates of the contrast of f and g, the third component measures how similar the contrasts of the images are. The value range for this component is also [0, 1].
The range of values for the index Q is [-1, 1]. The best value 1 is achieved if and only if the images are identical.
- QualityIndexGetBufferSize
Computes the size of the work buffer for the ippiQualityIndex function. - QualityIndex
Computes the universal image quality index.