Developer Reference for Intel® oneAPI Math Kernel Library for Fortran

ID 766686
Date 10/31/2024
Public

A newer version of this document is available. Customers should click here to go to the newest version.

Document Table of Contents

?lakf2

Forms a matrix containing Kronecker products between the given matrices.

Syntax

call slakf2( m, n, a, lda, b, d, e, z, ldz )

call dlakf2( m, n, a, lda, b, d, e, z, ldz )

call clakf2( m, n, a, lda, b, d, e, z, ldz )

call zlakf2( m, n, a, lda, b, d, e, z, ldz )

Include Files

  • mkl.fi

Description

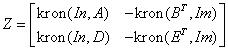
The routine ?lakf2 forms the 2*m*n by 2*m*n matrix Z.

,

where In is the identity matrix of size n and XT is the transpose of X. kron(X, Y) is the Kronecker product between the matrices X and Y.

Input Parameters

m

INTEGER. Size of matrix, m 1

n

INTEGER. Size of matrix, n 1

a

REAL for slakf2,

DOUBLE PRECISION for dlakf2,

COMPLEX for clakf2,

DOUBLE COMPLEX for zlakf2,

Array, size lda-by-n. The matrix A in the output matrix Z.

lda

INTEGER. The leading dimension of a, b, d, and e. ldam+n.

b

REAL for slakf2,

DOUBLE PRECISION for dlakf2,

COMPLEX for clakf2,

DOUBLE COMPLEX for zlakf2,

Array, size lda by n. Matrix used in forming the output matrix Z.

d

REAL for slakf2,

DOUBLE PRECISION for dlakf2,

COMPLEX for clakf2,

DOUBLE COMPLEX for zlakf2,

Array, size lda by m. Matrix used in forming the output matrix Z.

e

REAL for slakf2,

DOUBLE PRECISION for dlakf2,

COMPLEX for clakf2,

DOUBLE COMPLEX for zlakf2,

Array, size lda by n. Matrix used in forming the output matrix Z.

ldz

INTEGER. The leading dimension of Z. ldz 2* m*n.

Output Parameters

z

REAL for slakf2,

DOUBLE PRECISION for dlakf2,

COMPLEX for clakf2,

DOUBLE COMPLEX for zlakf2,

Array, size ldz-by-2*m*n. The resultant Kronecker m*n*2 -by-m*n*2 matrix.