Developer Reference for Intel® oneAPI Math Kernel Library for Fortran
A newer version of this document is available. Customers should click here to go to the newest version.
?laed6
Used by sstedc/dstedc. Computes one Newton step in solution of the secular equation.
Syntax
call slaed6( kniter, orgati, rho, d, z, finit, tau, info )
call dlaed6( kniter, orgati, rho, d, z, finit, tau, info )
Include Files
- mkl.fi
Description
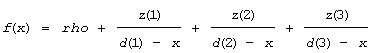
The routine computes the positive or negative root (closest to the origin) of

It is assumed that if orgati = .TRUE. the root is between d(2) and d(3);otherwise it is between d(1) and d(2) This routine is called by ?laed4 when necessary. In most cases, the root sought is the smallest in magnitude, though it might not be in some extremely rare situations.
Input Parameters
- kniter
-
INTEGER.
Refer to ?laed4 for its significance.
- orgati
-
LOGICAL.
If orgati = .TRUE., the needed root is between d(2) and d(3); otherwise it is between d(1) and d(2). See ?laed4 for further details.
- rho
-
REAL for slaed6
DOUBLE PRECISION for dlaed6
Refer to the equation for f(x) above.
- d, z
-
REAL for slaed6
DOUBLE PRECISION for dlaed6
Arrays, dimension (3) each.
The array d satisfies d(1) < d(2) < d(3).
Each of the elements in the array z must be positive.
- finit
-
REAL for slaed6
DOUBLE PRECISION for dlaed6
The value of f(x) at 0. It is more accurate than the one evaluated inside this routine (if someone wants to do so).
Output Parameters
- tau
-
REAL for slaed6
DOUBLE PRECISION for dlaed6
The root of the equation for f(x).
- info
-
INTEGER.
If info = 0, the execution is successful.
If info = 1, failure to converge.