Developer Reference for Intel® oneAPI Math Kernel Library for Fortran
A newer version of this document is available. Customers should click here to go to the newest version.
vRngNegBinomial
Generates random numbers with negative binomial distribution.
Syntax
status = virngnegbinomial( method, stream, n, r, a, p )
Include Files
- mkl.fi, mkl_vsl.f90
Input Parameters
Name |
Type |
Description |
---|---|---|
method |
INTEGER, INTENT(IN) |
Generation method. The specific value is: VSL_RNG_METHOD_NEGBINOMIAL_NBAR See brief description of the NBAR method in Table "Values of <method> in method parameter" |
stream |
TYPE (VSL_STREAM_STATE), INTENT(IN) |
descriptor of the stream state structure. |
n |
INTEGER, INTENT(IN) |
Number of random values to be generated |
a |
REAL(KIND=8), INTENT(IN) |
The first distribution parameter a |
p |
REAL(KIND=8), INTENT(IN) |
The second distribution parameter p |
Output Parameters
Name |
Type |
Description |
---|---|---|
r |
INTEGER(KIND=4), INTENT(OUT) |
Vector of n random values with negative binomial distribution. |
Description
The vRngNegBinomial function generates random numbers with negative binomial distribution and distribution parameters a and p, where p, a∈R; 0 < p < 1; a > 0.
If the first distribution parameter a∈N, this distribution is the same as Pascal distribution. If a∈N, the distribution can be interpreted as the expected time of a-th success in a sequence of Bernoulli trials, when the probability of success is p.
The probability distribution is given by:

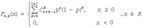
The cumulative distribution function is as follows:

Product and Performance Information |
---|
Performance varies by use, configuration and other factors. Learn more at www.Intel.com/PerformanceIndex. Notice revision #20201201 |
Return Values
- VSL_ERROR_OK, VSL_STATUS_OK
-
Indicates no error, execution is successful.
- VSL_ERROR_NULL_PTR
-
stream is a NULL pointer.
- VSL_RNG_ERROR_BAD_STREAM
-
stream is not a valid random stream.
- VSL_RNG_ERROR_BAD_UPDATE
-
Callback function for an abstract BRNG returns an invalid number of updated entries in a buffer, that is, < 0 or > nmax.
- VSL_RNG_ERROR_NO_NUMBERS
-
Callback function for an abstract BRNG returns 0 as the number of updated entries in a buffer.
- VSL_RNG_ERROR_QRNG_PERIOD_ELAPSED
-
Period of the generator has been exceeded.
- VSL_RNG_ERROR_ARS5_NOT_SUPPORTED
-
ARS-5 random number generator is not supported on the CPU running the application.