Developer Reference for Intel® oneAPI Math Kernel Library for C

ID 766684
Date 3/31/2025
Public

A newer version of this document is available. Customers should click here to go to the newest version.

Document Table of Contents

vRngNegBinomial

Generates random numbers with negative binomial distribution.

Syntax

status = viRngNegbinomial( method, stream, n, r, a, p );

Include Files

  • mkl.h

Input Parameters

Name

Type

Description

method

const MKL_INT

Generation method. The specific value is:

VSL_RNG_METHOD_NEGBINOMIAL_NBAR

See brief description of the NBAR method in Table "Values of <method> in method parameter"

stream

VSLStreamStatePtr

pointer to the stream state structure

n

const MKL_INT

Number of random values to be generated

a

const double

The first distribution parameter a

p

const double

The second distribution parameter p

Output Parameters

Name

Type

Description

r

int*

Vector of n random values with negative binomial distribution.

Description

The vRngNegBinomial function generates random numbers with negative binomial distribution and distribution parameters a and p, where p, aR; 0 < p < 1; a > 0.

If the first distribution parameter aN, this distribution is the same as Pascal distribution. If aN, the distribution can be interpreted as the expected time of a-th success in a sequence of Bernoulli trials, when the probability of success is p.

The probability distribution is given by:


Equation

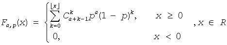
The cumulative distribution function is as follows:


Equation

Product and Performance Information

Performance varies by use, configuration and other factors. Learn more at www.Intel.com/PerformanceIndex.

Notice revision #20201201

Return Values

VSL_ERROR_OK, VSL_STATUS_OK

Indicates no error, execution is successful.

VSL_ERROR_NULL_PTR

stream is a NULL pointer.

VSL_RNG_ERROR_BAD_STREAM

stream is not a valid random stream.

VSL_RNG_ERROR_BAD_UPDATE

Callback function for an abstract BRNG returns an invalid number of updated entries in a buffer, that is, < 0 or > nmax.

VSL_RNG_ERROR_NO_NUMBERS

Callback function for an abstract BRNG returns 0 as the number of updated entries in a buffer.

VSL_RNG_ERROR_QRNG_PERIOD_ELAPSED

Period of the generator has been exceeded.

VSL_RNG_ERROR_ARS5_NOT_SUPPORTED

ARS-5 random number generator is not supported on the CPU running the application.