Developer Reference for Intel® oneAPI Math Kernel Library for C
A newer version of this document is available. Customers should click here to go to the newest version.
Mathematical Conventions for Data Fitting Functions
This section explains the notation used for Data Fitting function descriptions. Spline notations are based on the terminology and definitions of [deBoor2001]. The Subbotin quadratic spline definition follows the conventions of [StechSub76]. The quasi-uniform partition definition is based on [Schumaker2007].
| Concept | Mathematical Notation |
|---|---|
Partition of interpolation interval [a, b] , where
|
{xi}i=1,...,n, where a = x1 < x2<... <xn = b |
Quasi-uniform partition of interpolation interval [a, b] |
Partition {xi}i=1,...,n which meets the constraint with a constant C defined as 1 ≤M/ m≤C, where
|
Vector-valued function of dimension p being fit |
ƒ(x) = (ƒ1(x),..., ƒp(x)) |
Piecewise polynomial (PP) function ƒ of order k+1 |
ƒ(x) ≔ Pi (x), if x ∈ [ xi, xi+1), i = 1,..., n-1 where
|
Function p agrees with function ƒ at the points {xi}i=1,...,n . |
For every point ζ in sequence {xi}i=1,...,n that occurs m times, the equality p(i-1)(ζ) = ƒ(i-1)(ζ) holds for all i = 1,...,m, where p(i)(t) is the derivative of the i-th order. |
The k-th divided difference of function ƒ at points xi,..., xi + k. This difference is the leading coefficient of the polynomial of order k+1 that agrees with ƒ at xi,..., xi + k. |
[ xi,..., xi + k] ƒ In particular,
|
A k-order derivative of interpolant ƒ(x) at interpolation site |
| Concept | Mathematical Notation |
|---|---|
Linear interpolant |
Pi(x) = c1, i + c2, i(x - xi), where
|
Piecewise parabolic interpolant |
Pi(x) = c1, i + c2, i(x - xi) + c3, i(x - xi)2, x ∈ [ xi, xi+1) Coefficients c1, i, c2, i, and c3, i depend on the conditions:
where parameter vi+1 depends on the interpolant being continuously differentiable: Pi-1(1)(xi) = Pi(1)(xi) |
Piecewise parabolic Subbotin interpolant |
P(x) = Pi(x) = c1,i+c2,i(x-xi)+c3,i(x-xi)2+d3,i((x-ti)+)2, where
Coefficients c1,i, c2,i, c3,i, and d3,i depend on the following conditions:
|
Piecewise cubic Hermite interpolant |
Pi(x) = c1,i + c2,i(x - xi) + c3,i(x - xi)2 + c4,i(x - xi)3, where
|
Piecewise cubic Bessel interpolant |
Pi(x) = c1,i + c2,i(x - xi) + c3,i(x - xi)2 + c4,i(x - xi)3, where
|
Piecewise cubic Akima interpolant |
Pi(x) = c1,i + c2,i(x - xi) + c3,i(x - xi)2 + c4,i(x - xi)3, where
|
Piecewise natural cubic interpolant |
Pi(x) = c1,i + c2,i(x - xi) + c3,i(x - xi)2 + c4,i(x - xi)3, where
|
Not-a-knot boundary condition. |
Parameters s1 and sn provide P1 = P2 and Pn-1 = Pn, so that the first and the last interior breakpoints are inactive. |
Free-end boundary condition. |
ƒ"(x1) = ƒ"(xn) = 0 |
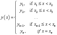
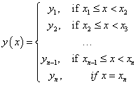
Look-up interpolator for discrete set of points (x1, y1),..., (xn, yn) . |
|
Step-wise constant continuous right interpolator. |
|
Step-wise constant continuous left interpolator. |
|


