Developer Reference for Intel® oneAPI Math Kernel Library for C

ID 766684
Date 10/31/2024
Public

A newer version of this document is available. Customers should click here to go to the newest version.

Document Table of Contents

?lakf2

Forms a matrix containing Kronecker products between the given matrices.

Syntax

void slakf2 (lapack_int *m, lapack_int *n, float *a, lapack_int *lda, float *b, float *d, float *e, float *z, lapack_int *ldz);

void dlakf2 (lapack_int *m, lapack_int *n, double *a, lapack_int *lda, double *b, double *d, double *e, double *z, lapack_int *ldz);

void clakf2 (lapack_int *m, lapack_int *n, lapack_complex *a, lapack_int *lda, lapack_complex *b, lapack_complex *d, lapack_complex *e, lapack_complex *z, lapack_int *ldz);

void zlakf2 (lapack_int *m, lapack_int *n, lapack_complex_double *a, lapack_int *lda, lapack_complex_double *b, lapack_complex_double *d, lapack_complex_double *e, lapack_complex_double *z, lapack_int *ldz);

Include Files

  • mkl.h

Description

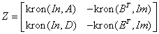
The routine ?lakf2 forms the 2*m*n by 2*m*n matrix Z.

,

where In is the identity matrix of size n and XT is the transpose of X. kron(X, Y) is the Kronecker product between the matrices X and Y.

Input Parameters

m

Size of matrix, m 1

n

Size of matrix, n 1

a

Array, size lda-by-n. The matrix A in the output matrix Z.

lda

The leading dimension of a, b, d, and e. ldam+n.

b

Array, size lda by n. Matrix used in forming the output matrix Z.

d

Array, size lda by m. Matrix used in forming the output matrix Z.

e

Array, size lda by n. Matrix used in forming the output matrix Z.

ldz

The leading dimension of Z. ldz 2* m*n.

Output Parameters

z

Array, size ldz-by-2*m*n. The resultant Kronecker m*n*2 -by-m*n*2 matrix.