Intel® Integrated Performance Primitives (Intel® IPP) Developer Guide and Reference
A newer version of this document is available. Customers should click here to go to the newest version.
MeanStdDev
Computes the mean value and the standard deviation value of a vector.
Syntax
IppStatus ippsMeanStdDev_32f(const Ipp32f* pSrc, int len, Ipp32f* pMean, Ipp32f* pStdDev, IppHintAlgorithm hint);
IppStatus ippsMeanStdDev_64f(const Ipp64f* pSrc, int len, Ipp64f* pMean, Ipp64f* pStdDev);
IppStatus ippsMeanStdDev_16s_Sfs(const Ipp16s* pSrc, int len, Ipp16s* pMean, Ipp16s* pStdDev, int scaleFactor);
IppStatus ippsMeanStdDev_16s32s_Sfs(const Ipp16s* pSrc, int len, Ipp32s* pMean, Ipp32s* pStdDev, int scaleFactor);
Include Files
ipps.h
Domain Dependencies
Headers: ippcore.h, ippvm.h
Libraries: ippcore.lib, ippvm.lib
Parameters
pSrc |
Pointer to the source vector. |
pMean |
Pointer to the output result - mean value. |
pStdDev |
Pointer to the output result - standard deviation. |
len |
Number of elements in the vector |
hint |
Suggests using specific code. The possible values for the hint argument are described in Hint Arguments. |
scaleFactor |
Scale factor, refer to Integer Scaling. |
Description
This function computes both the mean value and the standard deviation of the input vector pSrc, and stores the results in pMean and pStdDev respectively. The vector length can not be less than 2. The mean of pSrc is defined by the formula:

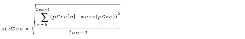
The standard deviation of pSrc is defined by the unbiased estimate formula:

The hint argument suggests using specific code, either faster but less accurate calculation, or more accurate but slower calculation.
Return Values
ippStsNoErr |
Indicates no error. |
ippStsNullPtrErr |
Indicates an error when one of the specified pointers is NULL. |
ippStsSizeErr |
Indicates an error when len is less than or equal to 1. |