Intel® Fortran Compiler Classic and Intel® Fortran Compiler Developer Guide and Reference
                    
                        ID
                        767251
                    
                
                
                    Date
                    3/31/2023
                
                
                    Public
                
            A newer version of this document is available. Customers should click here to go to the newest version.
                                                
                                                
                                                    
                                                    
                                                        Use Microsoft Visual Studio* Solution Explorer
                                                    
                                                    
                                                
                                                    
                                                    
                                                        Create a New Project
                                                    
                                                    
                                                
                                                    
                                                    
                                                        Perform Common Tasks with Microsoft Visual Studio*
                                                    
                                                    
                                                
                                                    
                                                    
                                                        Select a Version of the Intel® Fortran Compiler
                                                    
                                                    
                                                
                                                    
                                                    
                                                        Use Visual Studio* IDE Automation Objects
                                                    
                                                    
                                                
                                                    
                                                    
                                                        Specify Fortran File Extensions
                                                    
                                                    
                                                
                                                    
                                                    
                                                        Understand Solutions, Projects, and Configurations
                                                    
                                                    
                                                
                                                    
                                                    
                                                        Navigate Programmatic Components in a Fortran File
                                                    
                                                    
                                                
                                                    
                                                    
                                                        Specify Path, Library, and Include Directories
                                                    
                                                    
                                                
                                                    
                                                    
                                                        Set Compiler Options in the Microsoft Visual Studio* IDE Property Pages
                                                    
                                                    
                                                
                                                    
                                                    
                                                        Supported Build Macros
                                                    
                                                    
                                                
                                                    
                                                    
                                                        Use Manifests
                                                    
                                                    
                                                
                                                    
                                                    
                                                        Use Intel® Libraries with Microsoft Visual Studio*
                                                    
                                                    
                                                
                                                    
                                                    
                                                        Use Guided Auto Parallelism in Microsoft Visual Studio*
                                                    
                                                    
                                                
                                                    
                                                    
                                                        Use Code Coverage in Microsoft Visual Studio*
                                                    
                                                    
                                                
                                                    
                                                    
                                                        Use Profile Guided Optimization in Microsoft Visual Studio*
                                                    
                                                    
                                                
                                                    
                                                    
                                                        Use Source Editor Enhancements in Microsoft Visual Studio*
                                                    
                                                    
                                                
                                                    
                                                    
                                                        Create the Executable Program
                                                    
                                                    
                                                
                                                    
                                                    
                                                        Convert and Copy Projects
                                                    
                                                    
                                                
                                                    
                                                        About Fortran Project Types
                                                    
                                                    
                                                    
                                                
                                                    
                                                    
                                                        Optimization Reports
                                                    
                                                    
                                                
                                                    
                                                        Dialog Box Help
                                                    
                                                    
                                                    
                                                
                                            
                                        
                                                            
                                                            
                                                                
                                                                
                                                                    Understand Project Types
                                                                
                                                                
                                                            
                                                                
                                                                
                                                                    Specify Project Types with ifort Command Options
                                                                
                                                                
                                                            
                                                                
                                                                
                                                                    Use Fortran Console Application Projects
                                                                
                                                                
                                                            
                                                                
                                                                
                                                                    Use Fortran Standard Graphics Application Projects
                                                                
                                                                
                                                            
                                                                
                                                                
                                                                    Use Fortran QuickWin Application Projects
                                                                
                                                                
                                                            
                                                                
                                                                
                                                                    Use Fortran Windowing Application Projects
                                                                
                                                                
                                                            
                                                                
                                                                
                                                                    Use Fortran Static Library Projects
                                                                
                                                                
                                                            
                                                                
                                                                
                                                                    Use Fortran Dynamic-Link Library Projects
                                                                
                                                                
                                                            
                                                                
                                                                
                                                                    Use the Console
                                                                
                                                                
                                                            
                                                                
                                                                
                                                                    Create Fortran Applications that Use Windows* Features
                                                                
                                                                
                                                            
                                                        
                                                    
                                                            
                                                            
                                                                
                                                                
                                                                    Options: General dialog box
                                                                
                                                                
                                                            
                                                                
                                                                
                                                                    Options: Compilers dialog box
                                                                
                                                                
                                                            
                                                                
                                                                
                                                                    Options: Advanced dialog box
                                                                
                                                                
                                                            
                                                                
                                                                
                                                                    Configure Analysis dialog box
                                                                
                                                                
                                                            
                                                                
                                                                
                                                                    Options: Optimization Reports dialog box
                                                                
                                                                
                                                            
                                                                
                                                                
                                                                    Options: Guided Auto Parallelism dialog box
                                                                
                                                                
                                                            
                                                                
                                                                
                                                                    Configure Analysis dialog box
                                                                
                                                                
                                                            
                                                                
                                                                
                                                                    Options: Profile Guided Optimization dialog box
                                                                
                                                                
                                                            
                                                                
                                                                
                                                                    Profile Guided Optimization dialog box
                                                                
                                                                
                                                            
                                                                
                                                                
                                                                    Options: Code Coverage dialog box
                                                                
                                                                
                                                            
                                                                
                                                                
                                                                    Code Coverage dialog box
                                                                
                                                                
                                                            
                                                                
                                                                
                                                                    Code Coverage Settings dialog box
                                                                
                                                                
                                                            
                                                        
                                                    
                                                
                                                
                                                    
                                                    
                                                        Alphabetical Option List
                                                    
                                                    
                                                
                                                    
                                                    
                                                        General Rules for Compiler Options
                                                    
                                                    
                                                
                                                    
                                                    
                                                        What Appears in the Compiler Option Descriptions
                                                    
                                                    
                                                
                                                    
                                                        Optimization Options
                                                    
                                                    
                                                    
                                                
                                                    
                                                        Code Generation Options
                                                    
                                                    
                                                    
                                                
                                                    
                                                        Interprocedural Optimization Options
                                                    
                                                    
                                                    
                                                
                                                    
                                                        Advanced Optimization Options
                                                    
                                                    
                                                    
                                                
                                                    
                                                        Profile Guided Optimization Options
                                                    
                                                    
                                                    
                                                
                                                    
                                                        Optimization Report Options
                                                    
                                                    
                                                    
                                                
                                                    
                                                        Offload Compilation, OpenMP*, and Parallel Processing Options
                                                    
                                                    
                                                    
                                                
                                                    
                                                        Floating-Point Options
                                                    
                                                    
                                                    
                                                
                                                    
                                                        Inlining Options
                                                    
                                                    
                                                    
                                                
                                                    
                                                        Output, Debug, and Precompiled Header Options
                                                    
                                                    
                                                    
                                                
                                                    
                                                        Preprocessor Options
                                                    
                                                    
                                                    
                                                
                                                    
                                                        Component Control Options
                                                    
                                                    
                                                    
                                                
                                                    
                                                        Language Options
                                                    
                                                    
                                                    
                                                
                                                    
                                                        Data Options
                                                    
                                                    
                                                    
                                                
                                                    
                                                        Compiler Diagnostic Options
                                                    
                                                    
                                                    
                                                
                                                    
                                                        Compatibility Options
                                                    
                                                    
                                                    
                                                
                                                    
                                                        Linking or Linker Options
                                                    
                                                    
                                                    
                                                
                                                    
                                                        Miscellaneous Options
                                                    
                                                    
                                                    
                                                
                                                    
                                                    
                                                        Deprecated and Removed Compiler Options
                                                    
                                                    
                                                
                                                    
                                                    
                                                        Display Option Information
                                                    
                                                    
                                                
                                                    
                                                    
                                                        Alternate Compiler Options
                                                    
                                                    
                                                
                                            
                                        
                                                            
                                                            
                                                                
                                                                
                                                                    arch
                                                                
                                                                
                                                            
                                                                
                                                                
                                                                    ax, Qax
                                                                
                                                                
                                                            
                                                                
                                                                
                                                                    fasynchronous-unwind-tables
                                                                
                                                                
                                                            
                                                                
                                                                
                                                                    fcf-protection, Qcf-protection
                                                                
                                                                
                                                            
                                                                
                                                                
                                                                    fexceptions
                                                                
                                                                
                                                            
                                                                
                                                                
                                                                    fomit-frame-pointer, Oy
                                                                
                                                                
                                                            
                                                                
                                                                
                                                                    guard
                                                                
                                                                
                                                            
                                                                
                                                                
                                                                    hotpatch
                                                                
                                                                
                                                            
                                                                
                                                                
                                                                    m, Qm
                                                                
                                                                
                                                            
                                                                
                                                                
                                                                    m32, m64, Qm32, Qm64
                                                                
                                                                
                                                            
                                                                
                                                                
                                                                    m80387
                                                                
                                                                
                                                            
                                                                
                                                                
                                                                    march
                                                                
                                                                
                                                            
                                                                
                                                                
                                                                    masm
                                                                
                                                                
                                                            
                                                                
                                                                
                                                                    mauto-arch, Qauto-arch
                                                                
                                                                
                                                            
                                                                
                                                                
                                                                    mbranches-within-32B-boundaries, Qbranches-within-32B-boundaries
                                                                
                                                                
                                                            
                                                                
                                                                
                                                                    mconditional-branch, Qconditional-branch
                                                                
                                                                
                                                            
                                                                
                                                                
                                                                    minstruction, Qinstruction
                                                                
                                                                
                                                            
                                                                
                                                                
                                                                    momit-leaf-frame-pointer
                                                                
                                                                
                                                            
                                                                
                                                                
                                                                    mstringop-inline-threshold, Qstringop-inline-threshold
                                                                
                                                                
                                                            
                                                                
                                                                
                                                                    mstringop-strategy, Qstringop-strategy
                                                                
                                                                
                                                            
                                                                
                                                                
                                                                    mtune, tune
                                                                
                                                                
                                                            
                                                                
                                                                
                                                                    Qpatchable-addresses
                                                                
                                                                
                                                            
                                                                
                                                                
                                                                    x, Qx
                                                                
                                                                
                                                            
                                                                
                                                                
                                                                    xHost, QxHost
                                                                
                                                                
                                                            
                                                        
                                                    
                                                            
                                                            
                                                                
                                                                
                                                                    ansi-alias, Qansi-alias
                                                                
                                                                
                                                            
                                                                
                                                                
                                                                    coarray, Qcoarray
                                                                
                                                                
                                                            
                                                                
                                                                
                                                                    coarray-config-file, Qcoarray-config-file
                                                                
                                                                
                                                            
                                                                
                                                                
                                                                    coarray-num-images, Qcoarray-num-images
                                                                
                                                                
                                                            
                                                                
                                                                
                                                                    complex-limited-range, Qcomplex-limited-range
                                                                
                                                                
                                                            
                                                                
                                                                
                                                                    fvec-peel-loops, Qvec-peel-loops
                                                                
                                                                
                                                            
                                                                
                                                                
                                                                    fvec-remainder-loops, Qvec-remainder-loops
                                                                
                                                                
                                                            
                                                                
                                                                
                                                                    fvec-with-mask, Qvec-with-mask
                                                                
                                                                
                                                            
                                                                
                                                                
                                                                    guide, Qguide
                                                                
                                                                
                                                            
                                                                
                                                                
                                                                    guide-data-trans, Qguide-data-trans
                                                                
                                                                
                                                            
                                                                
                                                                
                                                                    guide-file, Qguide-file
                                                                
                                                                
                                                            
                                                                
                                                                
                                                                    guide-file-append, Qguide-file-append
                                                                
                                                                
                                                            
                                                                
                                                                
                                                                    guide-opts, Qguide-opts
                                                                
                                                                
                                                            
                                                                
                                                                
                                                                    guide-par, Qguide-par
                                                                
                                                                
                                                            
                                                                
                                                                
                                                                    guide-vec, Qguide-vec
                                                                
                                                                
                                                            
                                                                
                                                                
                                                                    heap-arrays
                                                                
                                                                
                                                            
                                                                
                                                                
                                                                    pad, Qpad
                                                                
                                                                
                                                            
                                                                
                                                                
                                                                    qmkl, Qmkl
                                                                
                                                                
                                                            
                                                                
                                                                
                                                                    qmkl-ilp64, Qmkl-ilp64
                                                                
                                                                
                                                            
                                                                
                                                                
                                                                    qopt-args-in-regs, Qopt-args-in-regs
                                                                
                                                                
                                                            
                                                                
                                                                
                                                                    qopt-assume-safe-padding, Qopt-assume-safe-padding
                                                                
                                                                
                                                            
                                                                
                                                                
                                                                    qopt-block-factor, Qopt-block-factor
                                                                
                                                                
                                                            
                                                                
                                                                
                                                                    qopt-dynamic-align, Qopt-dynamic-align
                                                                
                                                                
                                                            
                                                                
                                                                
                                                                    qopt-for-throughput, Qopt-for-throughput
                                                                
                                                                
                                                            
                                                                
                                                                
                                                                    qopt-jump-tables, Qopt-jump-tables
                                                                
                                                                
                                                            
                                                                
                                                                
                                                                    qopt-malloc-options
                                                                
                                                                
                                                            
                                                                
                                                                
                                                                    qopt-matmul, Qopt-matmul
                                                                
                                                                
                                                            
                                                                
                                                                
                                                                    qopt-mem-layout-trans, Qopt-mem-layout-trans
                                                                
                                                                
                                                            
                                                                
                                                                
                                                                    qopt-multi-version-aggressive, Qopt-multi-version-aggressive
                                                                
                                                                
                                                            
                                                                
                                                                
                                                                    qopt-multiple-gather-scatter-by-shuffles, Qopt-multiple-gather-scatter-by-shuffles
                                                                
                                                                
                                                            
                                                                
                                                                
                                                                    qopt-prefetch, Qopt-prefetch
                                                                
                                                                
                                                            
                                                                
                                                                
                                                                    qopt-prefetch-distance, Qopt-prefetch-distance
                                                                
                                                                
                                                            
                                                                
                                                                
                                                                    qopt-prefetch-issue-excl-hint, Qopt-prefetch-issue-excl-hint
                                                                
                                                                
                                                            
                                                                
                                                                
                                                                    qopt-ra-region-strategy, Qopt-ra-region-strategy
                                                                
                                                                
                                                            
                                                                
                                                                
                                                                    qopt-streaming-stores, Qopt-streaming-stores
                                                                
                                                                
                                                            
                                                                
                                                                
                                                                    qopt-subscript-in-range, Qopt-subscript-in-range
                                                                
                                                                
                                                            
                                                                
                                                                
                                                                    qopt-zmm-usage, Qopt-zmm-usage
                                                                
                                                                
                                                            
                                                                
                                                                
                                                                    qoverride-limits, Qoverride-limits
                                                                
                                                                
                                                            
                                                                
                                                                
                                                                    reentrancy
                                                                
                                                                
                                                            
                                                                
                                                                
                                                                    safe-cray-ptr, Qsafe-cray-ptr
                                                                
                                                                
                                                            
                                                                
                                                                
                                                                    scalar-rep, Qscalar-rep
                                                                
                                                                
                                                            
                                                                
                                                                
                                                                    simd, Qsimd
                                                                
                                                                
                                                            
                                                                
                                                                
                                                                    unroll, Qunroll
                                                                
                                                                
                                                            
                                                                
                                                                
                                                                    unroll-aggressive, Qunroll-aggressive
                                                                
                                                                
                                                            
                                                                
                                                                
                                                                    vec, Qvec
                                                                
                                                                
                                                            
                                                                
                                                                
                                                                    vec-guard-write, Qvec-guard-write
                                                                
                                                                
                                                            
                                                                
                                                                
                                                                    vec-threshold, Qvec-threshold
                                                                
                                                                
                                                            
                                                                
                                                                
                                                                    vecabi, Qvecabi
                                                                
                                                                
                                                            
                                                        
                                                    
                                                            
                                                            
                                                                
                                                                
                                                                    finstrument-functions, Qinstrument-functions
                                                                
                                                                
                                                            
                                                                
                                                                
                                                                    fnsplit, Qfnsplit
                                                                
                                                                
                                                            
                                                                
                                                                
                                                                    p
                                                                
                                                                
                                                            
                                                                
                                                                
                                                                    prof-data-order, Qprof-data-order
                                                                
                                                                
                                                            
                                                                
                                                                
                                                                    prof-dir, Qprof-dir
                                                                
                                                                
                                                            
                                                                
                                                                
                                                                    prof-file, Qprof-file
                                                                
                                                                
                                                            
                                                                
                                                                
                                                                    prof-func-groups
                                                                
                                                                
                                                            
                                                                
                                                                
                                                                    prof-func-order, Qprof-func-order
                                                                
                                                                
                                                            
                                                                
                                                                
                                                                    prof-gen, Qprof-gen
                                                                
                                                                
                                                            
                                                                
                                                                
                                                                    prof-hotness-threshold, Qprof-hotness-threshold
                                                                
                                                                
                                                            
                                                                
                                                                
                                                                    prof-src-dir, Qprof-src-dir
                                                                
                                                                
                                                            
                                                                
                                                                
                                                                    prof-src-root, Qprof-src-root
                                                                
                                                                
                                                            
                                                                
                                                                
                                                                    prof-src-root-cwd, Qprof-src-root-cwd
                                                                
                                                                
                                                            
                                                                
                                                                
                                                                    prof-use, Qprof-use
                                                                
                                                                
                                                            
                                                                
                                                                
                                                                    prof-value-profiling, Qprof-value-profiling
                                                                
                                                                
                                                            
                                                                
                                                                
                                                                    Qcov-dir
                                                                
                                                                
                                                            
                                                                
                                                                
                                                                    Qcov-file
                                                                
                                                                
                                                            
                                                                
                                                                
                                                                    Qcov-gen
                                                                
                                                                
                                                            
                                                        
                                                    
                                                            
                                                            
                                                                
                                                                
                                                                    qopt-report, Qopt-report (ifort only)
                                                                
                                                                
                                                            
                                                                
                                                                
                                                                    qopt-report, Qopt-report (ifx only)
                                                                
                                                                
                                                            
                                                                
                                                                
                                                                    qopt-report-annotate, Qopt-report-annotate
                                                                
                                                                
                                                            
                                                                
                                                                
                                                                    qopt-report-annotate-position, Qopt-report-annotate-position
                                                                
                                                                
                                                            
                                                                
                                                                
                                                                    qopt-report-embed, Qopt-report-embed
                                                                
                                                                
                                                            
                                                                
                                                                
                                                                    qopt-report-file, Qopt-report-file
                                                                
                                                                
                                                            
                                                                
                                                                
                                                                    qopt-report-filter, Qopt-report-filter
                                                                
                                                                
                                                            
                                                                
                                                                
                                                                    qopt-report-format, Qopt-report-format
                                                                
                                                                
                                                            
                                                                
                                                                
                                                                    qopt-report-help, Qopt-report-help
                                                                
                                                                
                                                            
                                                                
                                                                
                                                                    qopt-report-names, Qopt-report-names
                                                                
                                                                
                                                            
                                                                
                                                                
                                                                    qopt-report-per-object, Qopt-report-per-object
                                                                
                                                                
                                                            
                                                                
                                                                
                                                                    qopt-report-phase, Qopt-report-phase
                                                                
                                                                
                                                            
                                                                
                                                                
                                                                    qopt-report-routine, Qopt-report-routine
                                                                
                                                                
                                                            
                                                                
                                                                
                                                                    tcollect, Qtcollect
                                                                
                                                                
                                                            
                                                                
                                                                
                                                                    tcollect-filter, Qtcollect-filter
                                                                
                                                                
                                                            
                                                        
                                                    
                                                            
                                                            
                                                                
                                                                
                                                                    device-math-lib
                                                                
                                                                
                                                            
                                                                
                                                                
                                                                    fmpc-privatize
                                                                
                                                                
                                                            
                                                                
                                                                
                                                                    fopenmp
                                                                
                                                                
                                                            
                                                                
                                                                
                                                                    fopenmp-declare-target-scalar-defaultmap, Qopenmp-declare-target-scalar-defaultmap
                                                                
                                                                
                                                            
                                                                
                                                                
                                                                    fopenmp-device-lib
                                                                
                                                                
                                                            
                                                                
                                                                
                                                                    fopenmp-target-buffers, Qopenmp-target-buffers
                                                                
                                                                
                                                            
                                                                
                                                                
                                                                    fopenmp-target-do-concurrent, Qopenmp-target-do-concurrent
                                                                
                                                                
                                                            
                                                                
                                                                
                                                                    fopenmp-targets, Qopenmp-targets
                                                                
                                                                
                                                            
                                                                
                                                                
                                                                    fsycl
                                                                
                                                                
                                                            
                                                                
                                                                
                                                                    fsycl-dead-args-optimization
                                                                
                                                                
                                                            
                                                                
                                                                
                                                                    fsycl-device-code-split
                                                                
                                                                
                                                            
                                                                
                                                                
                                                                    fsycl-device-lib
                                                                
                                                                
                                                            
                                                                
                                                                
                                                                    fsycl-instrument-device-code
                                                                
                                                                
                                                            
                                                                
                                                                
                                                                    fsycl-link-huge-device-code
                                                                
                                                                
                                                            
                                                                
                                                                
                                                                    nolibsycl
                                                                
                                                                
                                                            
                                                                
                                                                
                                                                    par-affinity, Qpar-affinity
                                                                
                                                                
                                                            
                                                                
                                                                
                                                                    par-num-threads, Qpar-num-threads
                                                                
                                                                
                                                            
                                                                
                                                                
                                                                    par-runtime-control, Qpar-runtime-control
                                                                
                                                                
                                                            
                                                                
                                                                
                                                                    par-schedule, Qpar-schedule
                                                                
                                                                
                                                            
                                                                
                                                                
                                                                    par-threshold, Qpar-threshold
                                                                
                                                                
                                                            
                                                                
                                                                
                                                                    parallel, Qparallel
                                                                
                                                                
                                                            
                                                                
                                                                
                                                                    parallel-source-info, Qparallel-source-info
                                                                
                                                                
                                                            
                                                                
                                                                
                                                                    qopenmp, Qopenmp
                                                                
                                                                
                                                            
                                                                
                                                                
                                                                    qopenmp-lib, Qopenmp-lib
                                                                
                                                                
                                                            
                                                                
                                                                
                                                                    qopenmp-link
                                                                
                                                                
                                                            
                                                                
                                                                
                                                                    qopenmp-simd, Qopenmp-simd
                                                                
                                                                
                                                            
                                                                
                                                                
                                                                    qopenmp-stubs, Qopenmp-stubs
                                                                
                                                                
                                                            
                                                                
                                                                
                                                                    qopenmp-threadprivate, Qopenmp-threadprivate
                                                                
                                                                
                                                            
                                                                
                                                                
                                                                    Qpar-adjust-stack
                                                                
                                                                
                                                            
                                                                
                                                                
                                                                    Xopenmp-target
                                                                
                                                                
                                                            
                                                        
                                                    
                                                            
                                                            
                                                                
                                                                
                                                                    fast-transcendentals, Qfast-transcendentals
                                                                
                                                                
                                                            
                                                                
                                                                
                                                                    fimf-absolute-error, Qimf-absolute-error
                                                                
                                                                
                                                            
                                                                
                                                                
                                                                    fimf-accuracy-bits, Qimf-accuracy-bits
                                                                
                                                                
                                                            
                                                                
                                                                
                                                                    fimf-arch-consistency, Qimf-arch-consistency
                                                                
                                                                
                                                            
                                                                
                                                                
                                                                    fimf-domain-exclusion, Qimf-domain-exclusion
                                                                
                                                                
                                                            
                                                                
                                                                
                                                                    fimf-force-dynamic-target, Qimf-force-dynamic-target
                                                                
                                                                
                                                            
                                                                
                                                                
                                                                    fimf-max-error, Qimf-max-error
                                                                
                                                                
                                                            
                                                                
                                                                
                                                                    fimf-precision, Qimf-precision
                                                                
                                                                
                                                            
                                                                
                                                                
                                                                    fimf-use-svml, Qimf-use-svml
                                                                
                                                                
                                                            
                                                                
                                                                
                                                                    fltconsistency
                                                                
                                                                
                                                            
                                                                
                                                                
                                                                    fma, Qfma
                                                                
                                                                
                                                            
                                                                
                                                                
                                                                    fp-model, fp
                                                                
                                                                
                                                            
                                                                
                                                                
                                                                    fp-port, Qfp-port
                                                                
                                                                
                                                            
                                                                
                                                                
                                                                    fp-speculation, Qfp-speculation
                                                                
                                                                
                                                            
                                                                
                                                                
                                                                    fp-stack-check, Qfp-stack-check
                                                                
                                                                
                                                            
                                                                
                                                                
                                                                    fpe
                                                                
                                                                
                                                            
                                                                
                                                                
                                                                    fpe-all
                                                                
                                                                
                                                            
                                                                
                                                                
                                                                    ftz, Qftz
                                                                
                                                                
                                                            
                                                                
                                                                
                                                                    Ge
                                                                
                                                                
                                                            
                                                                
                                                                
                                                                    mp1, Qprec
                                                                
                                                                
                                                            
                                                                
                                                                
                                                                    pc, Qpc
                                                                
                                                                
                                                            
                                                                
                                                                
                                                                    prec-div, Qprec-div
                                                                
                                                                
                                                            
                                                                
                                                                
                                                                    prec-sqrt, Qprec-sqrt
                                                                
                                                                
                                                            
                                                                
                                                                
                                                                    qsimd-honor-fp-model, Qsimd-honor-fp-model
                                                                
                                                                
                                                            
                                                                
                                                                
                                                                    qsimd-serialize-fp-reduction, Qsimd-serialize-fp-reduction
                                                                
                                                                
                                                            
                                                                
                                                                
                                                                    rcd, Qrcd
                                                                
                                                                
                                                            
                                                                
                                                                
                                                                    recursive
                                                                
                                                                
                                                            
                                                        
                                                    
                                                            
                                                            
                                                                
                                                                
                                                                    finline
                                                                
                                                                
                                                            
                                                                
                                                                
                                                                    finline-functions
                                                                
                                                                
                                                            
                                                                
                                                                
                                                                    finline-limit
                                                                
                                                                
                                                            
                                                                
                                                                
                                                                    inline
                                                                
                                                                
                                                            
                                                                
                                                                
                                                                    inline-factor, Qinline-factor
                                                                
                                                                
                                                            
                                                                
                                                                
                                                                    inline-forceinline, Qinline-forceinline
                                                                
                                                                
                                                            
                                                                
                                                                
                                                                    inline-level, Ob
                                                                
                                                                
                                                            
                                                                
                                                                
                                                                    inline-max-per-compile, Qinline-max-per-compile
                                                                
                                                                
                                                            
                                                                
                                                                
                                                                    inline-max-per-routine, Qinline-max-per-routine
                                                                
                                                                
                                                            
                                                                
                                                                
                                                                    inline-max-size, Qinline-max-size
                                                                
                                                                
                                                            
                                                                
                                                                
                                                                    inline-max-total-size, Qinline-max-total-size
                                                                
                                                                
                                                            
                                                                
                                                                
                                                                    inline-min-caller-growth, Qinline-min-caller-growth
                                                                
                                                                
                                                            
                                                                
                                                                
                                                                    inline-min-size, Qinline-min-size
                                                                
                                                                
                                                            
                                                                
                                                                
                                                                    Qinline-dllimport
                                                                
                                                                
                                                            
                                                        
                                                    
                                                            
                                                            
                                                                
                                                                
                                                                    bintext
                                                                
                                                                
                                                            
                                                                
                                                                
                                                                    c
                                                                
                                                                
                                                            
                                                                
                                                                
                                                                    debug (Linux* and macOS)
                                                                
                                                                
                                                            
                                                                
                                                                
                                                                    debug (Windows*)
                                                                
                                                                
                                                            
                                                                
                                                                
                                                                    debug-parameters
                                                                
                                                                
                                                            
                                                                
                                                                
                                                                    exe
                                                                
                                                                
                                                            
                                                                
                                                                
                                                                    Fa
                                                                
                                                                
                                                            
                                                                
                                                                
                                                                    FA
                                                                
                                                                
                                                            
                                                                
                                                                
                                                                    fcode-asm
                                                                
                                                                
                                                            
                                                                
                                                                
                                                                    Fd
                                                                
                                                                
                                                            
                                                                
                                                                
                                                                    feliminate-unused-debug-types, Qeliminate-unused-debug-types
                                                                
                                                                
                                                            
                                                                
                                                                
                                                                    fmerge-constants
                                                                
                                                                
                                                            
                                                                
                                                                
                                                                    fmerge-debug-strings
                                                                
                                                                
                                                            
                                                                
                                                                
                                                                    fsource-asm
                                                                
                                                                
                                                            
                                                                
                                                                
                                                                    ftrapuv, Qtrapuv
                                                                
                                                                
                                                            
                                                                
                                                                
                                                                    fverbose-asm
                                                                
                                                                
                                                            
                                                                
                                                                
                                                                    g
                                                                
                                                                
                                                            
                                                                
                                                                
                                                                    gdwarf
                                                                
                                                                
                                                            
                                                                
                                                                
                                                                    grecord-gcc-switches
                                                                
                                                                
                                                            
                                                                
                                                                
                                                                    gsplit-dwarf
                                                                
                                                                
                                                            
                                                                
                                                                
                                                                    list
                                                                
                                                                
                                                            
                                                                
                                                                
                                                                    list-line-len
                                                                
                                                                
                                                            
                                                                
                                                                
                                                                    list-page-len
                                                                
                                                                
                                                            
                                                                
                                                                
                                                                    map-opts, Qmap-opts
                                                                
                                                                
                                                            
                                                                
                                                                
                                                                    o
                                                                
                                                                
                                                            
                                                                
                                                                
                                                                    object
                                                                
                                                                
                                                            
                                                                
                                                                
                                                                    pdbfile
                                                                
                                                                
                                                            
                                                                
                                                                
                                                                    print-multi-lib
                                                                
                                                                
                                                            
                                                                
                                                                
                                                                    Quse-msasm-symbols
                                                                
                                                                
                                                            
                                                                
                                                                
                                                                    S
                                                                
                                                                
                                                            
                                                                
                                                                
                                                                    show
                                                                
                                                                
                                                            
                                                                
                                                                
                                                                    use-asm, Quse-asm
                                                                
                                                                
                                                            
                                                                
                                                                
                                                                    Zi, Z7
                                                                
                                                                
                                                            
                                                                
                                                                
                                                                    Zo
                                                                
                                                                
                                                            
                                                        
                                                    
                                                            
                                                            
                                                                
                                                                
                                                                    align
                                                                
                                                                
                                                            
                                                                
                                                                
                                                                    auto
                                                                
                                                                
                                                            
                                                                
                                                                
                                                                    auto-scalar, Qauto-scalar
                                                                
                                                                
                                                            
                                                                
                                                                
                                                                    convert
                                                                
                                                                
                                                            
                                                                
                                                                
                                                                    double-size
                                                                
                                                                
                                                            
                                                                
                                                                
                                                                    dyncom, Qdyncom
                                                                
                                                                
                                                            
                                                                
                                                                
                                                                    falign-functions, Qfnalign
                                                                
                                                                
                                                            
                                                                
                                                                
                                                                    falign-loops, Qalign-loops
                                                                
                                                                
                                                            
                                                                
                                                                
                                                                    falign-stack
                                                                
                                                                
                                                            
                                                                
                                                                
                                                                    fcommon
                                                                
                                                                
                                                            
                                                                
                                                                
                                                                    fkeep-static-consts, Qkeep-static-consts
                                                                
                                                                
                                                            
                                                                
                                                                
                                                                    fmath-errno
                                                                
                                                                
                                                            
                                                                
                                                                
                                                                    fminshared
                                                                
                                                                
                                                            
                                                                
                                                                
                                                                    fpconstant
                                                                
                                                                
                                                            
                                                                
                                                                
                                                                    fpic
                                                                
                                                                
                                                            
                                                                
                                                                
                                                                    fpie
                                                                
                                                                
                                                            
                                                                
                                                                
                                                                    fstack-protector
                                                                
                                                                
                                                            
                                                                
                                                                
                                                                    fstack-security-check
                                                                
                                                                
                                                            
                                                                
                                                                
                                                                    fvisibility
                                                                
                                                                
                                                            
                                                                
                                                                
                                                                    fzero-initialized-in-bss, Qzero-initialized-in-bss
                                                                
                                                                
                                                            
                                                                
                                                                
                                                                    Gs
                                                                
                                                                
                                                            
                                                                
                                                                
                                                                    GS
                                                                
                                                                
                                                            
                                                                
                                                                
                                                                    homeparams
                                                                
                                                                
                                                            
                                                                
                                                                
                                                                    init, Qinit
                                                                
                                                                
                                                            
                                                                
                                                                
                                                                    intconstant
                                                                
                                                                
                                                            
                                                                
                                                                
                                                                    integer-size
                                                                
                                                                
                                                            
                                                                
                                                                
                                                                    mcmodel
                                                                
                                                                
                                                            
                                                                
                                                                
                                                                    mdynamic-no-pic
                                                                
                                                                
                                                            
                                                                
                                                                
                                                                    no-bss-init, Qnobss-init
                                                                
                                                                
                                                            
                                                                
                                                                
                                                                    Qsfalign
                                                                
                                                                
                                                            
                                                                
                                                                
                                                                    real-size
                                                                
                                                                
                                                            
                                                                
                                                                
                                                                    save, Qsave
                                                                
                                                                
                                                            
                                                                
                                                                
                                                                    zero, Qzero
                                                                
                                                                
                                                            
                                                        
                                                    
                                                            
                                                            
                                                                
                                                                
                                                                    4Nportlib, 4Yportlib
                                                                
                                                                
                                                            
                                                                
                                                                
                                                                    Bdynamic
                                                                
                                                                
                                                            
                                                                
                                                                
                                                                    Bstatic
                                                                
                                                                
                                                            
                                                                
                                                                
                                                                    Bsymbolic
                                                                
                                                                
                                                            
                                                                
                                                                
                                                                    Bsymbolic-functions
                                                                
                                                                
                                                            
                                                                
                                                                
                                                                    cxxlib
                                                                
                                                                
                                                            
                                                                
                                                                
                                                                    dbglibs
                                                                
                                                                
                                                            
                                                                
                                                                
                                                                    dll
                                                                
                                                                
                                                            
                                                                
                                                                
                                                                    dynamic-linker
                                                                
                                                                
                                                            
                                                                
                                                                
                                                                    dynamiclib
                                                                
                                                                
                                                            
                                                                
                                                                
                                                                    extlnk
                                                                
                                                                
                                                            
                                                                
                                                                
                                                                    F (Windows*)
                                                                
                                                                
                                                            
                                                                
                                                                
                                                                    F (macOS)
                                                                
                                                                
                                                            
                                                                
                                                                
                                                                    fuse-ld
                                                                
                                                                
                                                            
                                                                
                                                                
                                                                    l
                                                                
                                                                
                                                            
                                                                
                                                                
                                                                    L
                                                                
                                                                
                                                            
                                                                
                                                                
                                                                    libs
                                                                
                                                                
                                                            
                                                                
                                                                
                                                                    link
                                                                
                                                                
                                                            
                                                                
                                                                
                                                                    map
                                                                
                                                                
                                                            
                                                                
                                                                
                                                                    MD
                                                                
                                                                
                                                            
                                                                
                                                                
                                                                    MDs
                                                                
                                                                
                                                            
                                                                
                                                                
                                                                    MT
                                                                
                                                                
                                                            
                                                                
                                                                
                                                                    nodefaultlibs
                                                                
                                                                
                                                            
                                                                
                                                                
                                                                    nofor-main
                                                                
                                                                
                                                            
                                                                
                                                                
                                                                    no-intel-lib, Qno-intel-lib
                                                                
                                                                
                                                            
                                                                
                                                                
                                                                    nostartfiles
                                                                
                                                                
                                                            
                                                                
                                                                
                                                                    nostdlib
                                                                
                                                                
                                                            
                                                                
                                                                
                                                                    pie
                                                                
                                                                
                                                            
                                                                
                                                                
                                                                    pthread
                                                                
                                                                
                                                            
                                                                
                                                                
                                                                    shared
                                                                
                                                                
                                                            
                                                                
                                                                
                                                                    shared-intel
                                                                
                                                                
                                                            
                                                                
                                                                
                                                                    shared-libgcc
                                                                
                                                                
                                                            
                                                                
                                                                
                                                                    static
                                                                
                                                                
                                                            
                                                                
                                                                
                                                                    static-intel
                                                                
                                                                
                                                            
                                                                
                                                                
                                                                    static-libgcc
                                                                
                                                                
                                                            
                                                                
                                                                
                                                                    static-libstdc++
                                                                
                                                                
                                                            
                                                                
                                                                
                                                                    staticlib
                                                                
                                                                
                                                            
                                                                
                                                                
                                                                    T
                                                                
                                                                
                                                            
                                                                
                                                                
                                                                    threads
                                                                
                                                                
                                                            
                                                                
                                                                
                                                                    v
                                                                
                                                                
                                                            
                                                                
                                                                
                                                                    Wa
                                                                
                                                                
                                                            
                                                                
                                                                
                                                                    winapp
                                                                
                                                                
                                                            
                                                                
                                                                
                                                                    Wl
                                                                
                                                                
                                                            
                                                                
                                                                
                                                                    Wp
                                                                
                                                                
                                                            
                                                                
                                                                
                                                                    Xlinker
                                                                
                                                                
                                                            
                                                        
                                                    
                                                
                                                
                                                    
                                                    
                                                        Create Static Libraries
                                                    
                                                    
                                                
                                                    
                                                    
                                                        Create Shared Libraries on Linux and macOS
                                                    
                                                    
                                                
                                                    
                                                    
                                                        Use Shared Libraries on macOS
                                                    
                                                    
                                                
                                                    
                                                    
                                                        Call Library Routines
                                                    
                                                    
                                                
                                                    
                                                    
                                                        Comparison of Intel® Visual Fortran and Windows API Routines
                                                    
                                                    
                                                
                                                    
                                                    
                                                        Specify Consistent Library Types on Windows
                                                    
                                                    
                                                
                                                    
                                                    
                                                        Redistribute Libraries When Deploying Applications
                                                    
                                                    
                                                
                                                    
                                                    
                                                        Resolve References to Shared Libraries
                                                    
                                                    
                                                
                                                    
                                                    
                                                        Store Object Code in Static Libraries
                                                    
                                                    
                                                
                                                    
                                                    
                                                        Store Routines in Shareable Libraries
                                                    
                                                    
                                                
                                                    
                                                        Use Windows API Routines
                                                    
                                                    
                                                    
                                                
                                                    
                                                    
                                                        Math Libraries
                                                    
                                                    
                                                
                                            
                                        
                                                            
                                                            
                                                                
                                                                
                                                                    Logical Devices
                                                                
                                                                
                                                            
                                                                
                                                                
                                                                    Physical Devices on Windows
                                                                
                                                                
                                                            
                                                                
                                                                
                                                                    Types of I/O Statements
                                                                
                                                                
                                                            
                                                                
                                                                
                                                                    Forms of I/O Statements
                                                                
                                                                
                                                            
                                                                
                                                                
                                                                    Assign Files to Logical Units
                                                                
                                                                
                                                            
                                                                
                                                                
                                                                    File Organization
                                                                
                                                                
                                                            
                                                                
                                                                
                                                                    Internal Files and Scratch Files
                                                                
                                                                
                                                            
                                                                
                                                                
                                                                    File Access and File Structure
                                                                
                                                                
                                                            
                                                                
                                                                
                                                                    File Records
                                                                
                                                                
                                                            
                                                                
                                                                
                                                                    Record Types
                                                                
                                                                
                                                            
                                                                
                                                                
                                                                    Record Length
                                                                
                                                                
                                                            
                                                                
                                                                
                                                                    Record Access
                                                                
                                                                
                                                            
                                                                
                                                                
                                                                    Record Transfer
                                                                
                                                                
                                                            
                                                                
                                                                
                                                                    Specify Default Pathnames and File Names
                                                                
                                                                
                                                            
                                                                
                                                                
                                                                    Open Files: OPEN Statement
                                                                
                                                                
                                                            
                                                                
                                                                
                                                                    Obtain File Information: INQUIRE Statement
                                                                
                                                                
                                                            
                                                                
                                                                
                                                                    Close Files: CLOSE Statement
                                                                
                                                                
                                                            
                                                                
                                                                
                                                                    Record I/O Statement Specifiers
                                                                
                                                                
                                                            
                                                                
                                                                
                                                                    File Sharing on Linux and macOS
                                                                
                                                                
                                                            
                                                                
                                                                
                                                                    Specify the Initial Record Position
                                                                
                                                                
                                                            
                                                                
                                                                
                                                                    Advancing and Nonadvancing Record I/O
                                                                
                                                                
                                                            
                                                                
                                                                
                                                                    Use USEROPEN to Pass Control To a Routine
                                                                
                                                                
                                                            
                                                                
                                                                
                                                                    Microsoft Fortran PowerStation Compatible Files
                                                                
                                                                
                                                            
                                                                
                                                                
                                                                    Use Asynchronous I/O
                                                                
                                                                
                                                            
                                                        
                                                    
                                                            
                                                            
                                                                
                                                                
                                                                    Mixed-Language Issues
                                                                
                                                                
                                                            
                                                                
                                                                
                                                                    Call Subprograms from the Main Program on Windows
                                                                
                                                                
                                                            
                                                                
                                                                
                                                                    Pass Arguments in Mixed-Language Programming
                                                                
                                                                
                                                            
                                                                
                                                                
                                                                    Stack Considerations in Calling Conventions on Windows
                                                                
                                                                
                                                            
                                                                
                                                                
                                                                    Naming Conventions
                                                                
                                                                
                                                            
                                                                
                                                                
                                                                    C/C++ Naming Conventions
                                                                
                                                                
                                                            
                                                                
                                                                
                                                                    Compile and Link Intel® Fortran and C Programs
                                                                
                                                                
                                                            
                                                                
                                                                
                                                                    Build Intel® Fortran and C Mixed-Language Programs on Windows
                                                                
                                                                
                                                            
                                                        
                                                    
                                                            
                                                            
                                                                
                                                                
                                                                    Understand Runtime Errors
                                                                
                                                                
                                                            
                                                                
                                                                
                                                                    Runtime Default Error Processing
                                                                
                                                                
                                                            
                                                                
                                                                
                                                                    Runtime Message Display and Format
                                                                
                                                                
                                                            
                                                                
                                                                
                                                                    Values Returned at Program Termination
                                                                
                                                                
                                                            
                                                                
                                                                
                                                                    Methods of Handling Errors
                                                                
                                                                
                                                            
                                                                
                                                                
                                                                    Locate Runtime Errors
                                                                
                                                                
                                                            
                                                                
                                                                
                                                                    List of Runtime Error Messages
                                                                
                                                                
                                                            
                                                                
                                                                
                                                                    Signal Handling on Linux* and macOS
                                                                
                                                                
                                                            
                                                                
                                                                
                                                                    Override the Default Runtime Library Exception Handler
                                                                
                                                                
                                                            
                                                                
                                                                    Advanced Exception and Termination Handling
                                                                
                                                                
                                                                
                                                            
                                                        
                                                    
                                    
                                    
                                        
                                        
                                            New Language Features
                                        
                                        
                                    
                                        
                                        
                                            New Features for ifx
                                        
                                        
                                    
                                        
                                        
                                            Language Reference Conventions
                                        
                                        
                                    
                                        
                                            Program Elements and Source Forms
                                        
                                        
                                        
                                    
                                        
                                            Data Types, Constants, and Variables
                                        
                                        
                                        
                                    
                                        
                                            Expressions and Assignment Statements
                                        
                                        
                                        
                                    
                                        
                                            Specification Statements
                                        
                                        
                                        
                                    
                                        
                                            Dynamic Allocation
                                        
                                        
                                        
                                    
                                        
                                            Execution Control
                                        
                                        
                                        
                                    
                                        
                                            Program Units and Procedures
                                        
                                        
                                        
                                    
                                        
                                            Intrinsic Procedures
                                        
                                        
                                        
                                    
                                        
                                            Data Transfer I/O Statements
                                        
                                        
                                        
                                    
                                        
                                            I/O Formatting
                                        
                                        
                                        
                                    
                                        
                                            File Operation I/O Statements
                                        
                                        
                                        
                                    
                                        
                                        
                                            Compilation Control Lines and Statements
                                        
                                        
                                    
                                        
                                            Directive Enhanced Compilation
                                        
                                        
                                        
                                    
                                        
                                            Scope and Association
                                        
                                        
                                        
                                    
                                        
                                            Deleted and Obsolescent Language Features
                                        
                                        
                                        
                                    
                                        
                                            Additional Language Features
                                        
                                        
                                        
                                    
                                        
                                            Additional Character Sets
                                        
                                        
                                        
                                    
                                        
                                            Data Representation Models
                                        
                                        
                                        
                                    
                                        
                                            Library Modules and Runtime Library Routines
                                        
                                        
                                        
                                    
                                        
                                            Summary of Language Extensions
                                        
                                        
                                        
                                    
                                        
                                            A to Z Reference
                                        
                                        
                                        
                                    
                                        
                                            Glossary
                                        
                                        
                                        
                                    
                                
                            
                                                
                                                
                                                    
                                                    
                                                        Main Program
                                                    
                                                    
                                                
                                                    
                                                    
                                                        Procedure Characteristics
                                                    
                                                    
                                                
                                                    
                                                        Modules and Module Procedures
                                                    
                                                    
                                                    
                                                
                                                    
                                                        Intrinsic Modules
                                                    
                                                    
                                                    
                                                
                                                    
                                                    
                                                        Block Data Program Units Overview
                                                    
                                                    
                                                
                                                    
                                                        Functions, Subroutines, and Statement Functions
                                                    
                                                    
                                                    
                                                
                                                    
                                                    
                                                        External Procedures
                                                    
                                                    
                                                
                                                    
                                                    
                                                        Internal Procedures
                                                    
                                                    
                                                
                                                    
                                                        Argument Association in Procedures
                                                    
                                                    
                                                    
                                                
                                                    
                                                        Procedure Interfaces
                                                    
                                                    
                                                    
                                                
                                                    
                                                    
                                                        Interoperability of Procedures and Procedure Interfaces
                                                    
                                                    
                                                
                                                    
                                                    
                                                        Procedure Pointers
                                                    
                                                    
                                                
                                            
                                        
                                                            
                                                            
                                                                
                                                                
                                                                    Optional Arguments
                                                                
                                                                
                                                            
                                                                
                                                                
                                                                    Array Arguments
                                                                
                                                                
                                                            
                                                                
                                                                
                                                                    Pointer Arguments
                                                                
                                                                
                                                            
                                                                
                                                                
                                                                    Passed-Object Dummy Arguments
                                                                
                                                                
                                                            
                                                                
                                                                
                                                                    Assumed-Length Character Arguments
                                                                
                                                                
                                                            
                                                                
                                                                
                                                                    Character Constant and Hollerith Arguments
                                                                
                                                                
                                                            
                                                                
                                                                
                                                                    Alternate Return Arguments
                                                                
                                                                
                                                            
                                                                
                                                                
                                                                    Dummy Procedure Arguments
                                                                
                                                                
                                                            
                                                                
                                                                
                                                                    Coarray Dummy Arguments
                                                                
                                                                
                                                            
                                                                
                                                                    References to Generic Procedures
                                                                
                                                                
                                                                
                                                            
                                                                
                                                                
                                                                    References to Non-Fortran Procedures
                                                                
                                                                
                                                            
                                                        
                                                    
                                                                        
                                                                        
                                                                            
                                                                            
                                                                                Unit Specifier (UNIT=)
                                                                            
                                                                            
                                                                        
                                                                            
                                                                            
                                                                                Format Specifier (FMT=)
                                                                            
                                                                            
                                                                        
                                                                            
                                                                            
                                                                                Namelist Specifier (NML=)
                                                                            
                                                                            
                                                                        
                                                                            
                                                                            
                                                                                Record Specifier (REC=)
                                                                            
                                                                            
                                                                        
                                                                            
                                                                            
                                                                                I/O Status Specifier (IOSTAT=)
                                                                            
                                                                            
                                                                        
                                                                            
                                                                            
                                                                                Branch Specifiers (END=, EOR=, ERR=)
                                                                            
                                                                            
                                                                        
                                                                            
                                                                            
                                                                                Advance Specifier (ADVANCE=)
                                                                            
                                                                            
                                                                        
                                                                            
                                                                            
                                                                                Asynchronous Specifier (ASYNCHRONOUS=)
                                                                            
                                                                            
                                                                        
                                                                            
                                                                            
                                                                                Character Count Specifier (SIZE=)
                                                                            
                                                                            
                                                                        
                                                                            
                                                                            
                                                                                ID Specifier (ID=)
                                                                            
                                                                            
                                                                        
                                                                            
                                                                            
                                                                                POS Specifier (POS=)
                                                                            
                                                                            
                                                                        
                                                                            
                                                                            
                                                                                I/O Message Specifier (IOMSG=)
                                                                            
                                                                            
                                                                        
                                                                    
                                                                
                                                            
                                                            
                                                                
                                                                
                                                                    INQUIRE: ACCESS Specifier
                                                                
                                                                
                                                            
                                                                
                                                                
                                                                    INQUIRE: ACTION Specifier
                                                                
                                                                
                                                            
                                                                
                                                                
                                                                    INQUIRE: ASYNCHRONOUS Specifier
                                                                
                                                                
                                                            
                                                                
                                                                
                                                                    INQUIRE: BINARY Specifier
                                                                
                                                                
                                                            
                                                                
                                                                
                                                                    INQUIRE: BLANK Specifier
                                                                
                                                                
                                                            
                                                                
                                                                
                                                                    INQUIRE: BLOCKSIZE Specifier
                                                                
                                                                
                                                            
                                                                
                                                                
                                                                    INQUIRE: BUFFERED Specifier
                                                                
                                                                
                                                            
                                                                
                                                                
                                                                    INQUIRE: CARRIAGECONTROL Specifier
                                                                
                                                                
                                                            
                                                                
                                                                
                                                                    INQUIRE: CONVERT Specifier
                                                                
                                                                
                                                            
                                                                
                                                                
                                                                    INQUIRE: DECIMAL Specifier
                                                                
                                                                
                                                            
                                                                
                                                                
                                                                    INQUIRE: DELIM Specifier
                                                                
                                                                
                                                            
                                                                
                                                                
                                                                    INQUIRE: DIRECT Specifier
                                                                
                                                                
                                                            
                                                                
                                                                
                                                                    INQUIRE: ENCODING Specifier
                                                                
                                                                
                                                            
                                                                
                                                                
                                                                    INQUIRE: EXIST Specifier
                                                                
                                                                
                                                            
                                                                
                                                                
                                                                    INQUIRE: FORM Specifier
                                                                
                                                                
                                                            
                                                                
                                                                
                                                                    INQUIRE: FORMATTED Specifier
                                                                
                                                                
                                                            
                                                                
                                                                
                                                                    INQUIRE: IOFOCUS Specifier
                                                                
                                                                
                                                            
                                                                
                                                                
                                                                    INQUIRE: MODE Specifier
                                                                
                                                                
                                                            
                                                                
                                                                
                                                                    INQUIRE: NAME Specifier
                                                                
                                                                
                                                            
                                                                
                                                                
                                                                    INQUIRE: NAMED Specifier
                                                                
                                                                
                                                            
                                                                
                                                                
                                                                    INQUIRE: NEXTREC Specifier
                                                                
                                                                
                                                            
                                                                
                                                                
                                                                    INQUIRE: NUMBER Specifier
                                                                
                                                                
                                                            
                                                                
                                                                
                                                                    INQUIRE: OPENED Specifier
                                                                
                                                                
                                                            
                                                                
                                                                
                                                                    INQUIRE: ORGANIZATION Specifier
                                                                
                                                                
                                                            
                                                                
                                                                
                                                                    INQUIRE: PAD Specifier
                                                                
                                                                
                                                            
                                                                
                                                                
                                                                    INQUIRE: PENDING Specifier
                                                                
                                                                
                                                            
                                                                
                                                                
                                                                    INQUIRE: POS Specifier
                                                                
                                                                
                                                            
                                                                
                                                                
                                                                    INQUIRE: POSITION Specifier
                                                                
                                                                
                                                            
                                                                
                                                                
                                                                    INQUIRE: READ Specifier
                                                                
                                                                
                                                            
                                                                
                                                                
                                                                    INQUIRE: READWRITE Specifier
                                                                
                                                                
                                                            
                                                                
                                                                
                                                                    INQUIRE: RECL Specifier
                                                                
                                                                
                                                            
                                                                
                                                                
                                                                    INQUIRE: RECORDTYPE Specifier
                                                                
                                                                
                                                            
                                                                
                                                                
                                                                    INQUIRE: ROUND Specifier
                                                                
                                                                
                                                            
                                                                
                                                                
                                                                    INQUIRE: SEQUENTIAL Specifier
                                                                
                                                                
                                                            
                                                                
                                                                
                                                                    INQUIRE: SHARE Specifier
                                                                
                                                                
                                                            
                                                                
                                                                
                                                                    INQUIRE: SIGN Specifier
                                                                
                                                                
                                                            
                                                                
                                                                
                                                                    INQUIRE: SIZE Specifier
                                                                
                                                                
                                                            
                                                                
                                                                
                                                                    INQUIRE: UNFORMATTED Specifier
                                                                
                                                                
                                                            
                                                                
                                                                
                                                                    INQUIRE: WRITE Specifier
                                                                
                                                                
                                                            
                                                        
                                                    
                                                            
                                                            
                                                                
                                                                
                                                                    OPEN: ACCESS Specifier
                                                                
                                                                
                                                            
                                                                
                                                                
                                                                    OPEN: ACTION Specifier
                                                                
                                                                
                                                            
                                                                
                                                                
                                                                    OPEN: ASSOCIATEVARIABLE Specifier
                                                                
                                                                
                                                            
                                                                
                                                                
                                                                    OPEN: ASYNCHRONOUS Specifier
                                                                
                                                                
                                                            
                                                                
                                                                
                                                                    OPEN: BLANK Specifier
                                                                
                                                                
                                                            
                                                                
                                                                
                                                                    OPEN: BLOCKSIZE Specifier
                                                                
                                                                
                                                            
                                                                
                                                                
                                                                    OPEN: BUFFERCOUNT Specifier
                                                                
                                                                
                                                            
                                                                
                                                                
                                                                    OPEN: BUFFERED Specifier
                                                                
                                                                
                                                            
                                                                
                                                                
                                                                    OPEN: CARRIAGECONTROL Specifier
                                                                
                                                                
                                                            
                                                                
                                                                
                                                                    OPEN: CONVERT Specifier
                                                                
                                                                
                                                            
                                                                
                                                                
                                                                    OPEN: DECIMAL Specifier
                                                                
                                                                
                                                            
                                                                
                                                                
                                                                    OPEN: DEFAULTFILE Specifier
                                                                
                                                                
                                                            
                                                                
                                                                
                                                                    OPEN: DELIM Specifier
                                                                
                                                                
                                                            
                                                                
                                                                
                                                                    OPEN: DISPOSE Specifier
                                                                
                                                                
                                                            
                                                                
                                                                
                                                                    OPEN: ENCODING Specifier
                                                                
                                                                
                                                            
                                                                
                                                                
                                                                    OPEN: FILE Specifier
                                                                
                                                                
                                                            
                                                                
                                                                
                                                                    OPEN: FORM Specifier
                                                                
                                                                
                                                            
                                                                
                                                                
                                                                    OPEN: IOFOCUS Specifier
                                                                
                                                                
                                                            
                                                                
                                                                
                                                                    OPEN: MAXREC Specifier
                                                                
                                                                
                                                            
                                                                
                                                                
                                                                    OPEN: MODE Specifier
                                                                
                                                                
                                                            
                                                                
                                                                
                                                                    OPEN: NAME Specifier
                                                                
                                                                
                                                            
                                                                
                                                                
                                                                    OPEN: NEWUNIT Specifier
                                                                
                                                                
                                                            
                                                                
                                                                
                                                                    OPEN: NOSHARED Specifier
                                                                
                                                                
                                                            
                                                                
                                                                
                                                                    OPEN: ORGANIZATION Specifier
                                                                
                                                                
                                                            
                                                                
                                                                
                                                                    OPEN: PAD Specifier
                                                                
                                                                
                                                            
                                                                
                                                                
                                                                    OPEN: POSITION Specifier
                                                                
                                                                
                                                            
                                                                
                                                                
                                                                    OPEN: READONLY Specifier
                                                                
                                                                
                                                            
                                                                
                                                                
                                                                    OPEN: RECL Specifier
                                                                
                                                                
                                                            
                                                                
                                                                
                                                                    OPEN: RECORDSIZE Specifier
                                                                
                                                                
                                                            
                                                                
                                                                
                                                                    OPEN: RECORDTYPE Specifier
                                                                
                                                                
                                                            
                                                                
                                                                
                                                                    OPEN: ROUND Specifier
                                                                
                                                                
                                                            
                                                                
                                                                
                                                                    OPEN: SHARE Specifier
                                                                
                                                                
                                                            
                                                                
                                                                
                                                                    OPEN: SHARED Specifier
                                                                
                                                                
                                                            
                                                                
                                                                
                                                                    OPEN: SIGN Specifier
                                                                
                                                                
                                                            
                                                                
                                                                
                                                                    OPEN: STATUS Specifier
                                                                
                                                                
                                                            
                                                                
                                                                
                                                                    OPEN: TITLE Specifier
                                                                
                                                                
                                                            
                                                                
                                                                
                                                                    OPEN: TYPE Specifier
                                                                
                                                                
                                                            
                                                                
                                                                
                                                                    OPEN: USEROPEN Specifier
                                                                
                                                                
                                                            
                                                        
                                                    
                                                
                                                
                                                    
                                                    
                                                        FORTRAN 66 Interpretation of the EXTERNAL Statement
                                                    
                                                    
                                                
                                                    
                                                    
                                                        Alternative Syntax for the PARAMETER Statement
                                                    
                                                    
                                                
                                                    
                                                    
                                                        Alternative Syntax for Binary, Octal, and Hexadecimal Constants
                                                    
                                                    
                                                
                                                    
                                                    
                                                        Alternative Syntax for a Record Specifier
                                                    
                                                    
                                                
                                                    
                                                    
                                                        Alternative Syntax for the DELETE Statement
                                                    
                                                    
                                                
                                                    
                                                    
                                                        Alternative Form for Namelist External Records
                                                    
                                                    
                                                
                                                    
                                                        Record Structures
                                                    
                                                    
                                                    
                                                
                                            
                                        
                                                
                                                
                                                    
                                                    
                                                        Language Extensions: Source Forms
                                                    
                                                    
                                                
                                                    
                                                    
                                                        Language Extensions: Names
                                                    
                                                    
                                                
                                                    
                                                    
                                                        Language Extensions: Character Sets
                                                    
                                                    
                                                
                                                    
                                                    
                                                        Language Extensions: Intrinsic Data Types
                                                    
                                                    
                                                
                                                    
                                                    
                                                        Language Extensions: Constants
                                                    
                                                    
                                                
                                                    
                                                    
                                                        Language Extensions: Expressions and Assignment
                                                    
                                                    
                                                
                                                    
                                                    
                                                        Language Extensions: Specification Statements
                                                    
                                                    
                                                
                                                    
                                                    
                                                        Language Extensions: Execution Control
                                                    
                                                    
                                                
                                                    
                                                    
                                                        Language Extensions: Compilation Control Lines and Statements
                                                    
                                                    
                                                
                                                    
                                                    
                                                        Language Extensions: Built-In Functions
                                                    
                                                    
                                                
                                                    
                                                    
                                                        Language Extensions: I/O Statements
                                                    
                                                    
                                                
                                                    
                                                    
                                                        Language Extensions: I/O Formatting
                                                    
                                                    
                                                
                                                    
                                                    
                                                        Language Extensions: File Operation Statements
                                                    
                                                    
                                                
                                                    
                                                    
                                                        Language Extensions: Compiler Directives
                                                    
                                                    
                                                
                                                    
                                                    
                                                        Language Extensions: Intrinsic Procedures
                                                    
                                                    
                                                
                                                    
                                                    
                                                        Language Extensions: Additional Language Features
                                                    
                                                    
                                                
                                                    
                                                    
                                                        Language Extensions: Runtime Library Routines
                                                    
                                                    
                                                
                                            
                                        
                                                
                                                
                                                    
                                                        Language Summary Tables
                                                    
                                                    
                                                    
                                                
                                                    
                                                        A to B
                                                    
                                                    
                                                    
                                                
                                                    
                                                        C to D
                                                    
                                                    
                                                    
                                                
                                                    
                                                        E to F
                                                    
                                                    
                                                    
                                                
                                                    
                                                        G
                                                    
                                                    
                                                    
                                                
                                                    
                                                        H to I
                                                    
                                                    
                                                    
                                                
                                                    
                                                        J to L
                                                    
                                                    
                                                    
                                                
                                                    
                                                        M to N
                                                    
                                                    
                                                    
                                                
                                                    
                                                        O to P
                                                    
                                                    
                                                    
                                                
                                                    
                                                        Q to R
                                                    
                                                    
                                                    
                                                
                                                    
                                                        S
                                                    
                                                    
                                                    
                                                
                                                    
                                                        T to Z
                                                    
                                                    
                                                    
                                                
                                                    
                                                        POSIX* Library Routines
                                                    
                                                    
                                                    
                                                
                                                    
                                                        Automation Server and Component Object Model Library Routines
                                                    
                                                    
                                                    
                                                
                                                    
                                                        National Language Support Library Routines
                                                    
                                                    
                                                    
                                                
                                                    
                                                        QuickWin Library Routines
                                                    
                                                    
                                                    
                                                
                                                    
                                                        Graphics Library Routines
                                                    
                                                    
                                                    
                                                
                                                    
                                                        Serial Port I/O Library Routines
                                                    
                                                    
                                                    
                                                
                                                    
                                                        Dialog Library Routines
                                                    
                                                    
                                                    
                                                
                                            
                                        
                                                            
                                                            
                                                                
                                                                
                                                                    Statements for Program Unit Calls and Definitions
                                                                
                                                                
                                                            
                                                                
                                                                
                                                                    Statements Affecting Variables
                                                                
                                                                
                                                            
                                                                
                                                                
                                                                    Statements for Input and Output
                                                                
                                                                
                                                            
                                                                
                                                                
                                                                    Compiler Directives
                                                                
                                                                
                                                            
                                                                
                                                                
                                                                    Program Control Statements
                                                                
                                                                
                                                            
                                                                
                                                                
                                                                    Inquiry Intrinsic Functions
                                                                
                                                                
                                                            
                                                                
                                                                
                                                                    Random Number Intrinsic Procedures
                                                                
                                                                
                                                            
                                                                
                                                                
                                                                    Atomic Intrinsic Subroutines
                                                                
                                                                
                                                            
                                                                
                                                                
                                                                    Collective Intrinsic Subroutines
                                                                
                                                                
                                                            
                                                                
                                                                
                                                                    Date and Time Intrinsic Subroutines
                                                                
                                                                
                                                            
                                                                
                                                                
                                                                    Keyboard and Speaker Library Routines
                                                                
                                                                
                                                            
                                                                
                                                                
                                                                    Statements and Intrinsic Procedures for Memory Allocation and Deallocation
                                                                
                                                                
                                                            
                                                                
                                                                
                                                                    Intrinsic Functions for Arrays
                                                                
                                                                
                                                            
                                                                
                                                                
                                                                    Intrinsic Functions for Numeric and Type Conversion
                                                                
                                                                
                                                            
                                                                
                                                                
                                                                    Trigonometric, Exponential, Root, and Logarithmic Intrinsic Procedures
                                                                
                                                                
                                                            
                                                                
                                                                
                                                                    Intrinsic Functions for Floating-Point Inquiry and Control
                                                                
                                                                
                                                            
                                                                
                                                                
                                                                    Character Intrinsic Functions
                                                                
                                                                
                                                            
                                                                
                                                                
                                                                    Intrinsic Procedures for Bit Operation and Representation
                                                                
                                                                
                                                            
                                                                
                                                                
                                                                    QuickWin Library Routines Summary
                                                                
                                                                
                                                            
                                                                
                                                                
                                                                    Graphics Library Routines Summary
                                                                
                                                                
                                                            
                                                                
                                                                
                                                                    Portability Library Routines
                                                                
                                                                
                                                            
                                                                
                                                                
                                                                    National Language Support Library Routines Summary
                                                                
                                                                
                                                            
                                                                
                                                                
                                                                    POSIX* Library Procedures Summary
                                                                
                                                                
                                                            
                                                                
                                                                
                                                                    Dialog Library Routines Summary
                                                                
                                                                
                                                            
                                                                
                                                                
                                                                    COM and Automation Library Routines (W*S)
                                                                
                                                                
                                                            
                                                                
                                                                
                                                                    Miscellaneous Runtime Library Routines
                                                                
                                                                
                                                            
                                                        
                                                    
                                                            
                                                            
                                                                
                                                                
                                                                    ABORT
                                                                
                                                                
                                                            
                                                                
                                                                
                                                                    ABS
                                                                
                                                                
                                                            
                                                                
                                                                
                                                                    ABSTRACT INTERFACE
                                                                
                                                                
                                                            
                                                                
                                                                
                                                                    ACCEPT
                                                                
                                                                
                                                            
                                                                
                                                                
                                                                    ACCESS Function
                                                                
                                                                
                                                            
                                                                
                                                                
                                                                    ACHAR
                                                                
                                                                
                                                            
                                                                
                                                                
                                                                    ACOS
                                                                
                                                                
                                                            
                                                                
                                                                
                                                                    ACOSD
                                                                
                                                                
                                                            
                                                                
                                                                
                                                                    ACOSH
                                                                
                                                                
                                                            
                                                                
                                                                
                                                                    ADJUSTL
                                                                
                                                                
                                                            
                                                                
                                                                
                                                                    ADJUSTR
                                                                
                                                                
                                                            
                                                                
                                                                
                                                                    AIMAG
                                                                
                                                                
                                                            
                                                                
                                                                
                                                                    AINT
                                                                
                                                                
                                                            
                                                                
                                                                
                                                                    ALARM
                                                                
                                                                
                                                            
                                                                
                                                                
                                                                    ALIAS Directive
                                                                
                                                                
                                                            
                                                                
                                                                
                                                                    ALIGNED Clause
                                                                
                                                                
                                                            
                                                                
                                                                
                                                                    ALL
                                                                
                                                                
                                                            
                                                                
                                                                
                                                                    ALLOCATABLE
                                                                
                                                                
                                                            
                                                                
                                                                
                                                                    ALLOCATE Clause
                                                                
                                                                
                                                            
                                                                
                                                                
                                                                    ALLOCATE Directive
                                                                
                                                                
                                                            
                                                                
                                                                
                                                                    ALLOCATE Statement
                                                                
                                                                
                                                            
                                                                
                                                                
                                                                    ALLOCATED
                                                                
                                                                
                                                            
                                                                
                                                                
                                                                    ANINT
                                                                
                                                                
                                                            
                                                                
                                                                
                                                                    ANY
                                                                
                                                                
                                                            
                                                                
                                                                
                                                                    ASIN
                                                                
                                                                
                                                            
                                                                
                                                                
                                                                    ASIND
                                                                
                                                                
                                                            
                                                                
                                                                
                                                                    ASINH
                                                                
                                                                
                                                            
                                                                
                                                                
                                                                    ASSIGN - Label Assignment
                                                                
                                                                
                                                            
                                                                
                                                                
                                                                    Assignment(=) - Defined Assignment
                                                                
                                                                
                                                            
                                                                
                                                                
                                                                    Assignment - Intrinsic Computational
                                                                
                                                                
                                                            
                                                                
                                                                
                                                                    ASSOCIATE
                                                                
                                                                
                                                            
                                                                
                                                                
                                                                    ASSOCIATED
                                                                
                                                                
                                                            
                                                                
                                                                
                                                                    ASSUME
                                                                
                                                                
                                                            
                                                                
                                                                
                                                                    ASSUME_ALIGNED
                                                                
                                                                
                                                            
                                                                
                                                                
                                                                    ASSUMES Directive for OpenMP
                                                                
                                                                
                                                            
                                                                
                                                                
                                                                    ASSUMPTION Clause
                                                                
                                                                
                                                            
                                                                
                                                                
                                                                    ASYNCHRONOUS
                                                                
                                                                
                                                            
                                                                
                                                                
                                                                    ATAN
                                                                
                                                                
                                                            
                                                                
                                                                
                                                                    ATAN2
                                                                
                                                                
                                                            
                                                                
                                                                
                                                                    ATAN2D
                                                                
                                                                
                                                            
                                                                
                                                                
                                                                    ATAND
                                                                
                                                                
                                                            
                                                                
                                                                
                                                                    ATANH
                                                                
                                                                
                                                            
                                                                
                                                                
                                                                    ATOMIC
                                                                
                                                                
                                                            
                                                                
                                                                
                                                                    ATOMIC_ADD
                                                                
                                                                
                                                            
                                                                
                                                                
                                                                    ATOMIC_AND
                                                                
                                                                
                                                            
                                                                
                                                                
                                                                    ATOMIC_CAS
                                                                
                                                                
                                                            
                                                                
                                                                
                                                                    ATOMIC_DEFINE
                                                                
                                                                
                                                            
                                                                
                                                                
                                                                    ATOMIC_FETCH_ADD
                                                                
                                                                
                                                            
                                                                
                                                                
                                                                    ATOMIC_FETCH_AND
                                                                
                                                                
                                                            
                                                                
                                                                
                                                                    ATOMIC_FETCH_OR
                                                                
                                                                
                                                            
                                                                
                                                                
                                                                    ATOMIC_FETCH_XOR
                                                                
                                                                
                                                            
                                                                
                                                                
                                                                    ATOMIC_OR
                                                                
                                                                
                                                            
                                                                
                                                                
                                                                    ATOMIC_REF
                                                                
                                                                
                                                            
                                                                
                                                                
                                                                    ATOMIC_XOR
                                                                
                                                                
                                                            
                                                                
                                                                    ATTRIBUTES
                                                                
                                                                
                                                                
                                                            
                                                                
                                                                
                                                                    AUTOMATIC
                                                                
                                                                
                                                            
                                                                
                                                                
                                                                    BACKSPACE
                                                                
                                                                
                                                            
                                                                
                                                                
                                                                    BADDRESS
                                                                
                                                                
                                                            
                                                                
                                                                
                                                                    BARRIER
                                                                
                                                                
                                                            
                                                                
                                                                
                                                                    BEEPQQ
                                                                
                                                                
                                                            
                                                                
                                                                
                                                                    BESJ0, BESJ1, BESJN, BESY0, BESY1, BESYN
                                                                
                                                                
                                                            
                                                                
                                                                
                                                                    BESSEL_J0
                                                                
                                                                
                                                            
                                                                
                                                                
                                                                    BESSEL_J1
                                                                
                                                                
                                                            
                                                                
                                                                
                                                                    BESSEL_JN
                                                                
                                                                
                                                            
                                                                
                                                                
                                                                    BESSEL_Y0
                                                                
                                                                
                                                            
                                                                
                                                                
                                                                    BESSEL_Y1
                                                                
                                                                
                                                            
                                                                
                                                                
                                                                    BESSEL_YN
                                                                
                                                                
                                                            
                                                                
                                                                
                                                                    BGE
                                                                
                                                                
                                                            
                                                                
                                                                
                                                                    BGT
                                                                
                                                                
                                                            
                                                                
                                                                
                                                                    BIC, BIS
                                                                
                                                                
                                                            
                                                                
                                                                
                                                                    BIND
                                                                
                                                                
                                                            
                                                                
                                                                
                                                                    BIT
                                                                
                                                                
                                                            
                                                                
                                                                
                                                                    BIT_SIZE
                                                                
                                                                
                                                            
                                                                
                                                                
                                                                    BLE
                                                                
                                                                
                                                            
                                                                
                                                                
                                                                    BLOCK
                                                                
                                                                
                                                            
                                                                
                                                                
                                                                    BLOCK DATA
                                                                
                                                                
                                                            
                                                                
                                                                
                                                                    BLOCK_LOOP and NOBLOCK_LOOP
                                                                
                                                                
                                                            
                                                                
                                                                
                                                                    BLT
                                                                
                                                                
                                                            
                                                                
                                                                
                                                                    BSEARCHQQ
                                                                
                                                                
                                                            
                                                                
                                                                
                                                                    BTEST
                                                                
                                                                
                                                            
                                                                
                                                                
                                                                    BYTE
                                                                
                                                                
                                                            
                                                        
                                                    
                                                                        
                                                                        
                                                                            
                                                                            
                                                                                ATTRIBUTES ALIAS
                                                                            
                                                                            
                                                                        
                                                                            
                                                                            
                                                                                ATTRIBUTES ALIGN
                                                                            
                                                                            
                                                                        
                                                                            
                                                                            
                                                                                ATTRIBUTES ALLOCATABLE
                                                                            
                                                                            
                                                                        
                                                                            
                                                                            
                                                                                ATTRIBUTES ALLOW_NULL
                                                                            
                                                                            
                                                                        
                                                                            
                                                                            
                                                                                ATTRIBUTES C and STDCALL
                                                                            
                                                                            
                                                                        
                                                                            
                                                                            
                                                                                ATTRIBUTES CODE_ALIGN
                                                                            
                                                                            
                                                                        
                                                                            
                                                                            
                                                                                ATTRIBUTES CONCURRENCY_SAFE
                                                                            
                                                                            
                                                                        
                                                                            
                                                                            
                                                                                ATTRIBUTES CVF
                                                                            
                                                                            
                                                                        
                                                                            
                                                                            
                                                                                ATTRIBUTES DECORATE
                                                                            
                                                                            
                                                                        
                                                                            
                                                                            
                                                                                ATTRIBUTES DEFAULT
                                                                            
                                                                            
                                                                        
                                                                            
                                                                            
                                                                                ATTRIBUTES DLLEXPORT and DLLIMPORT
                                                                            
                                                                            
                                                                        
                                                                            
                                                                            
                                                                                ATTRIBUTES EXTERN
                                                                            
                                                                            
                                                                        
                                                                            
                                                                            
                                                                                ATTRIBUTES INLINE, NOINLINE, and FORCEINLINE
                                                                            
                                                                            
                                                                        
                                                                            
                                                                            
                                                                                ATTRIBUTES IGNORE_LOC
                                                                            
                                                                            
                                                                        
                                                                            
                                                                            
                                                                                ATTRIBUTES MIXED_STR_LEN_ARG and NOMIXED_STR_LEN_ARG
                                                                            
                                                                            
                                                                        
                                                                            
                                                                            
                                                                                ATTRIBUTES NO_ARG_CHECK
                                                                            
                                                                            
                                                                        
                                                                            
                                                                            
                                                                                ATTRIBUTES NOCLONE
                                                                            
                                                                            
                                                                        
                                                                            
                                                                            
                                                                                ATTRIBUTES OPTIMIZATION_PARAMETER
                                                                            
                                                                            
                                                                        
                                                                            
                                                                            
                                                                                ATTRIBUTES REFERENCE and VALUE
                                                                            
                                                                            
                                                                        
                                                                            
                                                                            
                                                                                ATTRIBUTES VARYING
                                                                            
                                                                            
                                                                        
                                                                            
                                                                            
                                                                                ATTRIBUTES VECTOR
                                                                            
                                                                            
                                                                        
                                                                    
                                                                
                                                            
                                                            
                                                                
                                                                
                                                                    C_ASSOCIATED
                                                                
                                                                
                                                            
                                                                
                                                                
                                                                    C_F_POINTER
                                                                
                                                                
                                                            
                                                                
                                                                
                                                                    C_F_PROCPOINTER
                                                                
                                                                
                                                            
                                                                
                                                                
                                                                    C_FUNLOC
                                                                
                                                                
                                                            
                                                                
                                                                
                                                                    C_LOC
                                                                
                                                                
                                                            
                                                                
                                                                
                                                                    C_SIZEOF
                                                                
                                                                
                                                            
                                                                
                                                                
                                                                    CACHESIZE
                                                                
                                                                
                                                            
                                                                
                                                                
                                                                    CALL
                                                                
                                                                
                                                            
                                                                
                                                                
                                                                    CANCEL
                                                                
                                                                
                                                            
                                                                
                                                                
                                                                    CANCELLATION POINT
                                                                
                                                                
                                                            
                                                                
                                                                
                                                                    CASE
                                                                
                                                                
                                                            
                                                                
                                                                
                                                                    CDFLOAT
                                                                
                                                                
                                                            
                                                                
                                                                
                                                                    CEILING
                                                                
                                                                
                                                            
                                                                
                                                                
                                                                    CFI_address
                                                                
                                                                
                                                            
                                                                
                                                                
                                                                    CFI_allocate
                                                                
                                                                
                                                            
                                                                
                                                                
                                                                    CFI_deallocate
                                                                
                                                                
                                                            
                                                                
                                                                
                                                                    CFI_establish
                                                                
                                                                
                                                            
                                                                
                                                                
                                                                    CFI_is_contiguous
                                                                
                                                                
                                                            
                                                                
                                                                
                                                                    CFI_section
                                                                
                                                                
                                                            
                                                                
                                                                
                                                                    CFI_select_part
                                                                
                                                                
                                                            
                                                                
                                                                
                                                                    CFI_setpointer
                                                                
                                                                
                                                            
                                                                
                                                                
                                                                    CHANGEDIRQQ
                                                                
                                                                
                                                            
                                                                
                                                                
                                                                    CHANGEDRIVEQQ
                                                                
                                                                
                                                            
                                                                
                                                                
                                                                    CHANGE TEAM and END TEAM
                                                                
                                                                
                                                            
                                                                
                                                                
                                                                    CHAR
                                                                
                                                                
                                                            
                                                                
                                                                
                                                                    CHARACTER
                                                                
                                                                
                                                            
                                                                
                                                                
                                                                    CHDIR
                                                                
                                                                
                                                            
                                                                
                                                                
                                                                    CHMOD
                                                                
                                                                
                                                            
                                                                
                                                                
                                                                    CLASS
                                                                
                                                                
                                                            
                                                                
                                                                
                                                                    CLEARSTATUSFPQQ
                                                                
                                                                
                                                            
                                                                
                                                                
                                                                    CLOCK
                                                                
                                                                
                                                            
                                                                
                                                                
                                                                    CLOCKX
                                                                
                                                                
                                                            
                                                                
                                                                
                                                                    CLOSE
                                                                
                                                                
                                                            
                                                                
                                                                
                                                                    CMPLX
                                                                
                                                                
                                                            
                                                                
                                                                
                                                                    CO_BROADCAST
                                                                
                                                                
                                                            
                                                                
                                                                
                                                                    CO_MAX
                                                                
                                                                
                                                            
                                                                
                                                                
                                                                    CO_MIN
                                                                
                                                                
                                                            
                                                                
                                                                
                                                                    CO_REDUCE
                                                                
                                                                
                                                            
                                                                
                                                                
                                                                    CO_SUM
                                                                
                                                                
                                                            
                                                                
                                                                
                                                                    CODE_ALIGN
                                                                
                                                                
                                                            
                                                                
                                                                
                                                                    CODIMENSION
                                                                
                                                                
                                                            
                                                                
                                                                
                                                                    COLLAPSE Clause
                                                                
                                                                
                                                            
                                                                
                                                                
                                                                    COMMAND_ARGUMENT_COUNT
                                                                
                                                                
                                                            
                                                                
                                                                
                                                                    COMMITQQ
                                                                
                                                                
                                                            
                                                                
                                                                
                                                                    COMMON
                                                                
                                                                
                                                            
                                                                
                                                                
                                                                    COMPILER_OPTIONS
                                                                
                                                                
                                                            
                                                                
                                                                
                                                                    COMPILER_VERSION
                                                                
                                                                
                                                            
                                                                
                                                                
                                                                    COMPLEX Statement
                                                                
                                                                
                                                            
                                                                
                                                                
                                                                    COMPLINT, COMPLREAL, COMPLLOG
                                                                
                                                                
                                                            
                                                                
                                                                
                                                                    CONJG
                                                                
                                                                
                                                            
                                                                
                                                                
                                                                    CONTAINS
                                                                
                                                                
                                                            
                                                                
                                                                
                                                                    CONTIGUOUS
                                                                
                                                                
                                                            
                                                                
                                                                
                                                                    CONTINUE
                                                                
                                                                
                                                            
                                                                
                                                                
                                                                    COPYIN Clause
                                                                
                                                                
                                                            
                                                                
                                                                
                                                                    COPYPRIVATE Clause
                                                                
                                                                
                                                            
                                                                
                                                                
                                                                    COS
                                                                
                                                                
                                                            
                                                                
                                                                
                                                                    COSD
                                                                
                                                                
                                                            
                                                                
                                                                
                                                                    COSH
                                                                
                                                                
                                                            
                                                                
                                                                
                                                                    COSHAPE
                                                                
                                                                
                                                            
                                                                
                                                                
                                                                    COTAN
                                                                
                                                                
                                                            
                                                                
                                                                
                                                                    COTAND
                                                                
                                                                
                                                            
                                                                
                                                                
                                                                    COUNT
                                                                
                                                                
                                                            
                                                                
                                                                
                                                                    CPU_TIME
                                                                
                                                                
                                                            
                                                                
                                                                
                                                                    CRITICAL Directive
                                                                
                                                                
                                                            
                                                                
                                                                
                                                                    CRITICAL Statement
                                                                
                                                                
                                                            
                                                                
                                                                
                                                                    CSHIFT
                                                                
                                                                
                                                            
                                                                
                                                                
                                                                    CSMG
                                                                
                                                                
                                                            
                                                                
                                                                
                                                                    CTIME
                                                                
                                                                
                                                            
                                                                
                                                                
                                                                    CYCLE
                                                                
                                                                
                                                            
                                                                
                                                                
                                                                    DATA
                                                                
                                                                
                                                            
                                                                
                                                                
                                                                    DATE Intrinsic Procedure
                                                                
                                                                
                                                            
                                                                
                                                                
                                                                    DATE Portability Routine
                                                                
                                                                
                                                            
                                                                
                                                                
                                                                    DATE4
                                                                
                                                                
                                                            
                                                                
                                                                
                                                                    DATE_AND_TIME
                                                                
                                                                
                                                            
                                                                
                                                                
                                                                    DBESJ0, DBESJ1, DBESJN, DBESY0, DBESY1, DBESYN
                                                                
                                                                
                                                            
                                                                
                                                                
                                                                    DBLE
                                                                
                                                                
                                                            
                                                                
                                                                
                                                                    DCLOCK
                                                                
                                                                
                                                            
                                                                
                                                                
                                                                    DCMPLX
                                                                
                                                                
                                                            
                                                                
                                                                
                                                                    DEALLOCATE
                                                                
                                                                
                                                            
                                                                
                                                                
                                                                    DECLARE and NODECLARE
                                                                
                                                                
                                                            
                                                                
                                                                
                                                                    DECLARE MAPPER
                                                                
                                                                
                                                            
                                                                
                                                                
                                                                    DECLARE REDUCTION
                                                                
                                                                
                                                            
                                                                
                                                                
                                                                    DECLARE SIMD
                                                                
                                                                
                                                            
                                                                
                                                                
                                                                    DECLARE TARGET
                                                                
                                                                
                                                            
                                                                
                                                                
                                                                    DECLARE VARIANT
                                                                
                                                                
                                                            
                                                                
                                                                
                                                                    DECODE
                                                                
                                                                
                                                            
                                                                
                                                                
                                                                    DEFAULT Clause
                                                                
                                                                
                                                            
                                                                
                                                                
                                                                    DEFINE and UNDEFINE
                                                                
                                                                
                                                            
                                                                
                                                                
                                                                    DEFINE FILE
                                                                
                                                                
                                                            
                                                                
                                                                
                                                                    DELDIRQQ
                                                                
                                                                
                                                            
                                                                
                                                                
                                                                    DELETE
                                                                
                                                                
                                                            
                                                                
                                                                
                                                                    DELFILESQQ
                                                                
                                                                
                                                            
                                                                
                                                                
                                                                    DEPEND Clause
                                                                
                                                                
                                                            
                                                                
                                                                
                                                                    DEPOBJ
                                                                
                                                                
                                                            
                                                                
                                                                
                                                                    DEVICE Clause
                                                                
                                                                
                                                            
                                                                
                                                                
                                                                    DFLOAT
                                                                
                                                                
                                                            
                                                                
                                                                
                                                                    DFLOATI, DFLOATJ, DFLOATK
                                                                
                                                                
                                                            
                                                                
                                                                
                                                                    DIGITS
                                                                
                                                                
                                                            
                                                                
                                                                
                                                                    DIM
                                                                
                                                                
                                                            
                                                                
                                                                
                                                                    DIMENSION
                                                                
                                                                
                                                            
                                                                
                                                                
                                                                    DISPATCH
                                                                
                                                                
                                                            
                                                                
                                                                
                                                                    DISTRIBUTE
                                                                
                                                                
                                                            
                                                                
                                                                
                                                                    DISTRIBUTE PARALLEL DO
                                                                
                                                                
                                                            
                                                                
                                                                
                                                                    DISTRIBUTE PARALLEL DO SIMD
                                                                
                                                                
                                                            
                                                                
                                                                
                                                                    DISTRIBUTE POINT
                                                                
                                                                
                                                            
                                                                
                                                                
                                                                    DISTRIBUTE SIMD
                                                                
                                                                
                                                            
                                                                
                                                                
                                                                    DNUM
                                                                
                                                                
                                                            
                                                                
                                                                
                                                                    DO Directive
                                                                
                                                                
                                                            
                                                                
                                                                
                                                                    DO Statement
                                                                
                                                                
                                                            
                                                                
                                                                
                                                                    DO CONCURRENT
                                                                
                                                                
                                                            
                                                                
                                                                
                                                                    DO SIMD
                                                                
                                                                
                                                            
                                                                
                                                                
                                                                    DO WHILE
                                                                
                                                                
                                                            
                                                                
                                                                
                                                                    DOT_PRODUCT
                                                                
                                                                
                                                            
                                                                
                                                                
                                                                    DOUBLE COMPLEX
                                                                
                                                                
                                                            
                                                                
                                                                
                                                                    DOUBLE PRECISION
                                                                
                                                                
                                                            
                                                                
                                                                
                                                                    DPROD
                                                                
                                                                
                                                            
                                                                
                                                                
                                                                    DRAND, DRANDM
                                                                
                                                                
                                                            
                                                                
                                                                
                                                                    DRANSET
                                                                
                                                                
                                                            
                                                                
                                                                
                                                                    DREAL
                                                                
                                                                
                                                            
                                                                
                                                                
                                                                    DSHIFTL
                                                                
                                                                
                                                            
                                                                
                                                                
                                                                    DSHIFTR
                                                                
                                                                
                                                            
                                                                
                                                                
                                                                    DTIME
                                                                
                                                                
                                                            
                                                        
                                                    
                                                            
                                                            
                                                                
                                                                
                                                                    ELEMENTAL
                                                                
                                                                
                                                            
                                                                
                                                                
                                                                    ELSE Directive
                                                                
                                                                
                                                            
                                                                
                                                                
                                                                    ELSE Statement
                                                                
                                                                
                                                            
                                                                
                                                                
                                                                    ELSEIF Directive
                                                                
                                                                
                                                            
                                                                
                                                                
                                                                    ELSE IF
                                                                
                                                                
                                                            
                                                                
                                                                
                                                                    ELSE WHERE
                                                                
                                                                
                                                            
                                                                
                                                                
                                                                    ENCODE
                                                                
                                                                
                                                            
                                                                
                                                                
                                                                    END
                                                                
                                                                
                                                            
                                                                
                                                                
                                                                    END DO
                                                                
                                                                
                                                            
                                                                
                                                                
                                                                    ENDIF Directive
                                                                
                                                                
                                                            
                                                                
                                                                
                                                                    END IF
                                                                
                                                                
                                                            
                                                                
                                                                
                                                                    ENDFILE
                                                                
                                                                
                                                            
                                                                
                                                                
                                                                    END FORALL
                                                                
                                                                
                                                            
                                                                
                                                                
                                                                    END INTERFACE
                                                                
                                                                
                                                            
                                                                
                                                                
                                                                    END TYPE
                                                                
                                                                
                                                            
                                                                
                                                                
                                                                    END WHERE
                                                                
                                                                
                                                            
                                                                
                                                                
                                                                    ENTRY
                                                                
                                                                
                                                            
                                                                
                                                                
                                                                    EOF
                                                                
                                                                
                                                            
                                                                
                                                                
                                                                    EOSHIFT
                                                                
                                                                
                                                            
                                                                
                                                                
                                                                    EPSILON
                                                                
                                                                
                                                            
                                                                
                                                                
                                                                    EQUIVALENCE
                                                                
                                                                
                                                            
                                                                
                                                                
                                                                    ERF
                                                                
                                                                
                                                            
                                                                
                                                                
                                                                    ERFC
                                                                
                                                                
                                                                    
                                                                        Results
                                                                    
                                                                        Example
                                                                    
                                                                
                                                            
                                                                
                                                                
                                                                    ERFC_SCALED
                                                                
                                                                
                                                            
                                                                
                                                                
                                                                    ERROR Directive for OpenMP
                                                                
                                                                
                                                            
                                                                
                                                                
                                                                    ERRSNS
                                                                
                                                                
                                                            
                                                                
                                                                
                                                                    ESTABLISHQQ
                                                                
                                                                
                                                            
                                                                
                                                                
                                                                    ETIME
                                                                
                                                                
                                                            
                                                                
                                                                
                                                                    EVENT POST and EVENT WAIT
                                                                
                                                                
                                                            
                                                                
                                                                
                                                                    EVENT_QUERY
                                                                
                                                                
                                                            
                                                                
                                                                
                                                                    EXECUTE_COMMAND_LINE
                                                                
                                                                
                                                            
                                                                
                                                                
                                                                    EXIT Statement
                                                                
                                                                
                                                            
                                                                
                                                                
                                                                    EXIT Subroutine
                                                                
                                                                
                                                            
                                                                
                                                                
                                                                    EXP
                                                                
                                                                
                                                            
                                                                
                                                                
                                                                    EXP10
                                                                
                                                                
                                                            
                                                                
                                                                
                                                                    EXPONENT
                                                                
                                                                
                                                            
                                                                
                                                                
                                                                    EXTENDS_TYPE_OF
                                                                
                                                                
                                                            
                                                                
                                                                
                                                                    EXTERNAL
                                                                
                                                                
                                                            
                                                                
                                                                
                                                                    FAIL IMAGE
                                                                
                                                                
                                                            
                                                                
                                                                
                                                                    FAILED_IMAGES
                                                                
                                                                
                                                            
                                                                
                                                                
                                                                    FDATE
                                                                
                                                                
                                                            
                                                                
                                                                
                                                                    FGETC
                                                                
                                                                
                                                            
                                                                
                                                                
                                                                    FINAL Clause
                                                                
                                                                
                                                            
                                                                
                                                                
                                                                    FINAL Statement
                                                                
                                                                
                                                            
                                                                
                                                                
                                                                    FIND
                                                                
                                                                
                                                            
                                                                
                                                                
                                                                    FINDLOC
                                                                
                                                                
                                                            
                                                                
                                                                
                                                                    FINDFILEQQ
                                                                
                                                                
                                                            
                                                                
                                                                
                                                                    FIRSTPRIVATE
                                                                
                                                                
                                                            
                                                                
                                                                
                                                                    FIXEDFORMLINESIZE
                                                                
                                                                
                                                            
                                                                
                                                                
                                                                    FLOAT
                                                                
                                                                
                                                            
                                                                
                                                                
                                                                    FLOOR
                                                                
                                                                
                                                            
                                                                
                                                                
                                                                    FLUSH Directive
                                                                
                                                                
                                                            
                                                                
                                                                
                                                                    FLUSH Statement
                                                                
                                                                
                                                            
                                                                
                                                                
                                                                    FLUSH Subroutine
                                                                
                                                                
                                                            
                                                                
                                                                
                                                                    FMA and NOFMA
                                                                
                                                                
                                                            
                                                                
                                                                
                                                                    FOR__SET_FTN_ALLOC
                                                                
                                                                
                                                            
                                                                
                                                                
                                                                    FOR_DESCRIPTOR_ASSIGN
                                                                
                                                                
                                                            
                                                                
                                                                
                                                                    FOR_GET_FPE
                                                                
                                                                
                                                            
                                                                
                                                                
                                                                    FOR_IFCORE_VERSION
                                                                
                                                                
                                                            
                                                                
                                                                
                                                                    FOR_IFPORT_VERSION
                                                                
                                                                
                                                            
                                                                
                                                                
                                                                    FOR_LFENCE
                                                                
                                                                
                                                            
                                                                
                                                                
                                                                    FOR_MFENCE
                                                                
                                                                
                                                            
                                                                
                                                                
                                                                    for_rtl_finish_
                                                                
                                                                
                                                            
                                                                
                                                                
                                                                    for_rtl_init_
                                                                
                                                                
                                                            
                                                                
                                                                
                                                                    FOR_SET_FPE
                                                                
                                                                
                                                            
                                                                
                                                                
                                                                    FOR_SET_REENTRANCY
                                                                
                                                                
                                                            
                                                                
                                                                
                                                                    FOR_SFENCE
                                                                
                                                                
                                                            
                                                                
                                                                
                                                                    FORALL
                                                                
                                                                
                                                            
                                                                
                                                                
                                                                    FORMAT
                                                                
                                                                
                                                            
                                                                
                                                                
                                                                    FORM TEAM
                                                                
                                                                
                                                            
                                                                
                                                                
                                                                    FP_CLASS
                                                                
                                                                
                                                            
                                                                
                                                                
                                                                    FPUTC
                                                                
                                                                
                                                            
                                                                
                                                                
                                                                    FRACTION
                                                                
                                                                
                                                            
                                                                
                                                                
                                                                    FREE
                                                                
                                                                
                                                            
                                                                
                                                                
                                                                    FREEFORM and NOFREEFORM
                                                                
                                                                
                                                            
                                                                
                                                                
                                                                    FSEEK
                                                                
                                                                
                                                            
                                                                
                                                                
                                                                    FSTAT
                                                                
                                                                
                                                            
                                                                
                                                                
                                                                    FTELL, FTELLI8
                                                                
                                                                
                                                            
                                                                
                                                                
                                                                    FULLPATHQQ
                                                                
                                                                
                                                            
                                                                
                                                                
                                                                    FUNCTION
                                                                
                                                                
                                                            
                                                        
                                                    
                                                            
                                                            
                                                                
                                                                
                                                                    GAMMA
                                                                
                                                                
                                                            
                                                                
                                                                
                                                                    GENERIC
                                                                
                                                                
                                                            
                                                                
                                                                
                                                                    GERROR
                                                                
                                                                
                                                            
                                                                
                                                                
                                                                    GETARG
                                                                
                                                                
                                                            
                                                                
                                                                
                                                                    GETC
                                                                
                                                                
                                                            
                                                                
                                                                
                                                                    GETCHARQQ
                                                                
                                                                
                                                            
                                                                
                                                                
                                                                    GET_COMMAND
                                                                
                                                                
                                                            
                                                                
                                                                
                                                                    GET_COMMAND_ARGUMENT
                                                                
                                                                
                                                            
                                                                
                                                                
                                                                    GETCONTROLFPQQ
                                                                
                                                                
                                                            
                                                                
                                                                
                                                                    GETCWD
                                                                
                                                                
                                                            
                                                                
                                                                
                                                                    GETDAT
                                                                
                                                                
                                                            
                                                                
                                                                
                                                                    GETDRIVEDIRQQ
                                                                
                                                                
                                                            
                                                                
                                                                
                                                                    GETDRIVESIZEQQ
                                                                
                                                                
                                                            
                                                                
                                                                
                                                                    GETDRIVESQQ
                                                                
                                                                
                                                            
                                                                
                                                                
                                                                    GETENV
                                                                
                                                                
                                                            
                                                                
                                                                
                                                                    GET_ENVIRONMENT_VARIABLE
                                                                
                                                                
                                                            
                                                                
                                                                
                                                                    GETENVQQ
                                                                
                                                                
                                                            
                                                                
                                                                
                                                                    GETEXCEPTIONPTRSQQ
                                                                
                                                                
                                                            
                                                                
                                                                
                                                                    GETFILEINFOQQ
                                                                
                                                                
                                                            
                                                                
                                                                
                                                                    GETGID
                                                                
                                                                
                                                            
                                                                
                                                                
                                                                    GETLASTERROR
                                                                
                                                                
                                                            
                                                                
                                                                
                                                                    GETLASTERRORQQ
                                                                
                                                                
                                                            
                                                                
                                                                
                                                                    GETLOG
                                                                
                                                                
                                                            
                                                                
                                                                
                                                                    GETPID
                                                                
                                                                
                                                            
                                                                
                                                                
                                                                    GETPOS, GETPOSI8
                                                                
                                                                
                                                            
                                                                
                                                                
                                                                    GETSTATUSFPQQ
                                                                
                                                                
                                                            
                                                                
                                                                
                                                                    GETSTRQQ
                                                                
                                                                
                                                            
                                                                
                                                                
                                                                    GET_TEAM
                                                                
                                                                
                                                            
                                                                
                                                                
                                                                    GETTIM
                                                                
                                                                
                                                            
                                                                
                                                                
                                                                    GETTIMEOFDAY
                                                                
                                                                
                                                            
                                                                
                                                                
                                                                    GETUID
                                                                
                                                                
                                                            
                                                                
                                                                
                                                                    GMTIME
                                                                
                                                                
                                                            
                                                                
                                                                
                                                                    GOTO - Assigned
                                                                
                                                                
                                                            
                                                                
                                                                
                                                                    GOTO - Computed
                                                                
                                                                
                                                            
                                                                
                                                                
                                                                    GOTO - Unconditional
                                                                
                                                                
                                                            
                                                        
                                                    
                                                            
                                                            
                                                                
                                                                
                                                                    HOSTNAM
                                                                
                                                                
                                                            
                                                                
                                                                
                                                                    HUGE
                                                                
                                                                
                                                            
                                                                
                                                                
                                                                    HYPOT
                                                                
                                                                
                                                            
                                                                
                                                                
                                                                    IACHAR
                                                                
                                                                
                                                            
                                                                
                                                                
                                                                    IALL
                                                                
                                                                
                                                            
                                                                
                                                                
                                                                    IAND
                                                                
                                                                
                                                            
                                                                
                                                                
                                                                    IANY
                                                                
                                                                
                                                            
                                                                
                                                                
                                                                    IARGC
                                                                
                                                                
                                                            
                                                                
                                                                
                                                                    IBCHNG
                                                                
                                                                
                                                            
                                                                
                                                                
                                                                    IBCLR
                                                                
                                                                
                                                            
                                                                
                                                                
                                                                    IBITS
                                                                
                                                                
                                                            
                                                                
                                                                
                                                                    IBSET
                                                                
                                                                
                                                            
                                                                
                                                                
                                                                    ICHAR
                                                                
                                                                
                                                            
                                                                
                                                                
                                                                    IDATE Intrinsic Procedure
                                                                
                                                                
                                                            
                                                                
                                                                
                                                                    IDATE Portability Routine
                                                                
                                                                
                                                            
                                                                
                                                                
                                                                    IDATE4
                                                                
                                                                
                                                            
                                                                
                                                                
                                                                    IDENT
                                                                
                                                                
                                                            
                                                                
                                                                
                                                                    IDFLOAT
                                                                
                                                                
                                                            
                                                                
                                                                
                                                                    IEEE_CLASS
                                                                
                                                                
                                                            
                                                                
                                                                
                                                                    IEEE_COPY_SIGN
                                                                
                                                                
                                                            
                                                                
                                                                
                                                                    IEEE_FLAGS
                                                                
                                                                
                                                            
                                                                
                                                                
                                                                    IEEE_FMA
                                                                
                                                                
                                                            
                                                                
                                                                
                                                                    IEEE_GET_FLAG
                                                                
                                                                
                                                            
                                                                
                                                                
                                                                    IEEE_GET_HALTING_MODE
                                                                
                                                                
                                                            
                                                                
                                                                
                                                                    IEEE_GET_MODES
                                                                
                                                                
                                                            
                                                                
                                                                
                                                                    IEEE_GET_ROUNDING_MODE
                                                                
                                                                
                                                            
                                                                
                                                                
                                                                    IEEE_GET_STATUS
                                                                
                                                                
                                                            
                                                                
                                                                
                                                                    IEEE_GET_UNDERFLOW_MODE
                                                                
                                                                
                                                            
                                                                
                                                                
                                                                    IEEE_HANDLER
                                                                
                                                                
                                                            
                                                                
                                                                
                                                                    IEEE_INT
                                                                
                                                                
                                                            
                                                                
                                                                
                                                                    IEEE_IS_FINITE
                                                                
                                                                
                                                            
                                                                
                                                                
                                                                    IEEE_IS_NAN
                                                                
                                                                
                                                            
                                                                
                                                                
                                                                    IEEE_IS_NEGATIVE
                                                                
                                                                
                                                            
                                                                
                                                                
                                                                    IEEE_IS_NORMAL
                                                                
                                                                
                                                            
                                                                
                                                                
                                                                    IEEE_LOGB
                                                                
                                                                
                                                            
                                                                
                                                                
                                                                    IEEE_MAX_NUM
                                                                
                                                                
                                                            
                                                                
                                                                
                                                                    IEEE_MAX_NUM_MAG
                                                                
                                                                
                                                            
                                                                
                                                                
                                                                    IEEE_MIN_NUM
                                                                
                                                                
                                                            
                                                                
                                                                
                                                                    IEEE_MIN_NUM_MAG
                                                                
                                                                
                                                            
                                                                
                                                                
                                                                    IEEE_NEXT_AFTER
                                                                
                                                                
                                                            
                                                                
                                                                
                                                                    IEEE_NEXT_DOWN
                                                                
                                                                
                                                            
                                                                
                                                                
                                                                    IEEE_NEXT_UP
                                                                
                                                                
                                                            
                                                                
                                                                
                                                                    IEEE_QUIET_EQ
                                                                
                                                                
                                                            
                                                                
                                                                
                                                                    IEEE_QUIET_GE
                                                                
                                                                
                                                            
                                                                
                                                                
                                                                    IEEE_QUIET_GT
                                                                
                                                                
                                                            
                                                                
                                                                
                                                                    IEEE_QUIET_LE
                                                                
                                                                
                                                            
                                                                
                                                                
                                                                    IEEE_QUIET_LT
                                                                
                                                                
                                                            
                                                                
                                                                
                                                                    IEEE_QUIET_NE
                                                                
                                                                
                                                            
                                                                
                                                                
                                                                    IEEE_REAL
                                                                
                                                                
                                                            
                                                                
                                                                
                                                                    IEEE_REM
                                                                
                                                                
                                                            
                                                                
                                                                
                                                                    IEEE_RINT
                                                                
                                                                
                                                            
                                                                
                                                                
                                                                    IEEE_SCALB
                                                                
                                                                
                                                            
                                                                
                                                                
                                                                    IEEE_SELECTED_REAL_KIND
                                                                
                                                                
                                                            
                                                                
                                                                
                                                                    IEEE_SET_FLAG
                                                                
                                                                
                                                            
                                                                
                                                                
                                                                    IEEE_SET_HALTING_MODE
                                                                
                                                                
                                                            
                                                                
                                                                
                                                                    IEEE_SET_MODES
                                                                
                                                                
                                                            
                                                                
                                                                
                                                                    IEEE_SET_ROUNDING_MODE
                                                                
                                                                
                                                            
                                                                
                                                                
                                                                    IEEE_SET_STATUS
                                                                
                                                                
                                                            
                                                                
                                                                
                                                                    IEEE_SET_UNDERFLOW_MODE
                                                                
                                                                
                                                            
                                                                
                                                                
                                                                    IEEE_SIGNALING_EQ
                                                                
                                                                
                                                            
                                                                
                                                                
                                                                    IEEE_SIGNALING_GE
                                                                
                                                                
                                                            
                                                                
                                                                
                                                                    IEEE_SIGNALING_GT
                                                                
                                                                
                                                            
                                                                
                                                                
                                                                    IEEE_SIGNALING_LE
                                                                
                                                                
                                                            
                                                                
                                                                
                                                                    IEEE_SIGNALING_LT
                                                                
                                                                
                                                            
                                                                
                                                                
                                                                    IEEE_SIGNALING_NE
                                                                
                                                                
                                                            
                                                                
                                                                
                                                                    IEEE_SIGNBIT
                                                                
                                                                
                                                            
                                                                
                                                                
                                                                    IEEE_SUPPORT_DATATYPE
                                                                
                                                                
                                                            
                                                                
                                                                
                                                                    IEEE_SUPPORT_DENORMAL
                                                                
                                                                
                                                            
                                                                
                                                                
                                                                    IEEE_SUPPORT_DIVIDE
                                                                
                                                                
                                                            
                                                                
                                                                
                                                                    IEEE_SUPPORT_FLAG
                                                                
                                                                
                                                            
                                                                
                                                                
                                                                    IEEE_SUPPORT_HALTING
                                                                
                                                                
                                                            
                                                                
                                                                
                                                                    IEEE_SUPPORT_INF
                                                                
                                                                
                                                            
                                                                
                                                                
                                                                    IEEE_SUPPORT_IO
                                                                
                                                                
                                                            
                                                                
                                                                
                                                                    IEEE_SUPPORT_NAN
                                                                
                                                                
                                                            
                                                                
                                                                
                                                                    IEEE_SUPPORT_ROUNDING
                                                                
                                                                
                                                            
                                                                
                                                                
                                                                    IEEE_SUPPORT_SQRT
                                                                
                                                                
                                                            
                                                                
                                                                
                                                                    IEEE_SUPPORT_STANDARD
                                                                
                                                                
                                                            
                                                                
                                                                
                                                                    IEEE_SUPPORT_SUBNORMAL
                                                                
                                                                
                                                            
                                                                
                                                                
                                                                    IEEE_SUPPORT_UNDERFLOW_CONTROL
                                                                
                                                                
                                                            
                                                                
                                                                
                                                                    IEEE_UNORDERED
                                                                
                                                                
                                                            
                                                                
                                                                
                                                                    IEEE_VALUE
                                                                
                                                                
                                                            
                                                                
                                                                
                                                                    IEOR
                                                                
                                                                
                                                            
                                                                
                                                                
                                                                    IERRNO
                                                                
                                                                
                                                            
                                                                
                                                                
                                                                    IF - Arithmetic
                                                                
                                                                
                                                            
                                                                
                                                                
                                                                    IF - Logical
                                                                
                                                                
                                                            
                                                                
                                                                
                                                                    IF Clause
                                                                
                                                                
                                                            
                                                                
                                                                
                                                                    IF Construct
                                                                
                                                                
                                                            
                                                                
                                                                
                                                                    IF Directive Construct
                                                                
                                                                
                                                            
                                                                
                                                                
                                                                    IF DEFINED Directive
                                                                
                                                                
                                                            
                                                                
                                                                
                                                                    IFIX
                                                                
                                                                
                                                            
                                                                
                                                                
                                                                    IFLOATI, IFLOATJ
                                                                
                                                                
                                                            
                                                                
                                                                
                                                                    ILEN
                                                                
                                                                
                                                            
                                                                
                                                                
                                                                    IMAGE_INDEX
                                                                
                                                                
                                                            
                                                                
                                                                
                                                                    IMAGE_STATUS
                                                                
                                                                
                                                            
                                                                
                                                                
                                                                    IMPLICIT
                                                                
                                                                
                                                            
                                                                
                                                                
                                                                    IMPORT
                                                                
                                                                
                                                            
                                                                
                                                                
                                                                    IMPURE
                                                                
                                                                
                                                            
                                                                
                                                                
                                                                    IN_REDUCTION
                                                                
                                                                
                                                            
                                                                
                                                                
                                                                    INCLUDE
                                                                
                                                                
                                                            
                                                                
                                                                
                                                                    INDEX
                                                                
                                                                
                                                            
                                                                
                                                                
                                                                    INLINE, FORCEINLINE, and NOINLINE
                                                                
                                                                
                                                            
                                                                
                                                                
                                                                    INMAX
                                                                
                                                                
                                                            
                                                                
                                                                
                                                                    INQUIRE
                                                                
                                                                
                                                            
                                                                
                                                                
                                                                    INT
                                                                
                                                                
                                                            
                                                                
                                                                
                                                                    INTC
                                                                
                                                                
                                                            
                                                                
                                                                
                                                                    INT_PTR_KIND
                                                                
                                                                
                                                            
                                                                
                                                                
                                                                    INTEGER Statement
                                                                
                                                                
                                                            
                                                                
                                                                
                                                                    INTEGER Directive
                                                                
                                                                
                                                            
                                                                
                                                                
                                                                    INTENT
                                                                
                                                                
                                                            
                                                                
                                                                
                                                                    INTERFACE
                                                                
                                                                
                                                            
                                                                
                                                                
                                                                    INTERFACE TO
                                                                
                                                                
                                                            
                                                                
                                                                
                                                                    INTEROP
                                                                
                                                                
                                                            
                                                                
                                                                
                                                                    INTRINSIC
                                                                
                                                                
                                                            
                                                                
                                                                
                                                                    INUM
                                                                
                                                                
                                                            
                                                                
                                                                
                                                                    IOR
                                                                
                                                                
                                                            
                                                                
                                                                
                                                                    IPARITY
                                                                
                                                                
                                                            
                                                                
                                                                
                                                                    IRAND, IRANDM
                                                                
                                                                
                                                            
                                                                
                                                                
                                                                    IRANGET
                                                                
                                                                
                                                            
                                                                
                                                                
                                                                    IRANSET
                                                                
                                                                
                                                            
                                                                
                                                                
                                                                    IS_CONTIGUOUS
                                                                
                                                                
                                                            
                                                                
                                                                
                                                                    IS_DEVICE_PTR Clause
                                                                
                                                                
                                                            
                                                                
                                                                
                                                                    IS_IOSTAT_END
                                                                
                                                                
                                                            
                                                                
                                                                
                                                                    IS_IOSTAT_EOR
                                                                
                                                                
                                                            
                                                                
                                                                
                                                                    ISATTY
                                                                
                                                                
                                                            
                                                                
                                                                
                                                                    ISHA
                                                                
                                                                
                                                            
                                                                
                                                                
                                                                    ISHC
                                                                
                                                                
                                                            
                                                                
                                                                
                                                                    ISHFT
                                                                
                                                                
                                                            
                                                                
                                                                
                                                                    ISHFTC
                                                                
                                                                
                                                            
                                                                
                                                                
                                                                    ISHL
                                                                
                                                                
                                                            
                                                                
                                                                
                                                                    ISNAN
                                                                
                                                                
                                                            
                                                                
                                                                
                                                                    ITERATOR Clause Modifier
                                                                
                                                                
                                                            
                                                                
                                                                
                                                                    ITIME
                                                                
                                                                
                                                            
                                                                
                                                                
                                                                    IVDEP
                                                                
                                                                
                                                            
                                                        
                                                    
                                                            
                                                            
                                                                
                                                                
                                                                    MAKEDIRQQ
                                                                
                                                                
                                                            
                                                                
                                                                
                                                                    MALLOC
                                                                
                                                                
                                                            
                                                                
                                                                
                                                                    MAP Clause
                                                                
                                                                
                                                            
                                                                
                                                                
                                                                    MAP and END MAP
                                                                
                                                                
                                                            
                                                                
                                                                
                                                                    MASKED
                                                                
                                                                
                                                            
                                                                
                                                                
                                                                    MASKED TASKLOOP
                                                                
                                                                
                                                            
                                                                
                                                                
                                                                    MASKED TASKLOOP SIMD
                                                                
                                                                
                                                            
                                                                
                                                                
                                                                    MASKL
                                                                
                                                                
                                                            
                                                                
                                                                
                                                                    MASKR
                                                                
                                                                
                                                            
                                                                
                                                                
                                                                    MASTER
                                                                
                                                                
                                                            
                                                                
                                                                
                                                                    MASTER TASKLOOP
                                                                
                                                                
                                                            
                                                                
                                                                
                                                                    MASTER TASKLOOP SIMD
                                                                
                                                                
                                                            
                                                                
                                                                
                                                                    MATMUL
                                                                
                                                                
                                                            
                                                                
                                                                
                                                                    MAX
                                                                
                                                                
                                                            
                                                                
                                                                
                                                                    MAXEXPONENT
                                                                
                                                                
                                                            
                                                                
                                                                
                                                                    MAXLOC
                                                                
                                                                
                                                            
                                                                
                                                                
                                                                    MAXVAL
                                                                
                                                                
                                                            
                                                                
                                                                
                                                                    MCLOCK
                                                                
                                                                
                                                            
                                                                
                                                                
                                                                    MERGE
                                                                
                                                                
                                                            
                                                                
                                                                
                                                                    MERGE_BITS
                                                                
                                                                
                                                            
                                                                
                                                                
                                                                    MERGEABLE Clause
                                                                
                                                                
                                                            
                                                                
                                                                
                                                                    MESSAGE
                                                                
                                                                
                                                            
                                                                
                                                                
                                                                    MIN
                                                                
                                                                
                                                            
                                                                
                                                                
                                                                    MINEXPONENT
                                                                
                                                                
                                                            
                                                                
                                                                
                                                                    MINLOC
                                                                
                                                                
                                                            
                                                                
                                                                
                                                                    MINVAL
                                                                
                                                                
                                                            
                                                                
                                                                
                                                                    MM_PREFETCH
                                                                
                                                                
                                                            
                                                                
                                                                
                                                                    MOD
                                                                
                                                                
                                                            
                                                                
                                                                
                                                                    MODULE
                                                                
                                                                
                                                            
                                                                
                                                                
                                                                    MODULE FUNCTION
                                                                
                                                                
                                                            
                                                                
                                                                
                                                                    MODULE PROCEDURE
                                                                
                                                                
                                                            
                                                                
                                                                
                                                                    MODULE SUBROUTINE
                                                                
                                                                
                                                            
                                                                
                                                                
                                                                    MODULO
                                                                
                                                                
                                                            
                                                                
                                                                
                                                                    MOVE_ALLOC
                                                                
                                                                
                                                            
                                                                
                                                                
                                                                    MVBITS
                                                                
                                                                
                                                            
                                                                
                                                                
                                                                    NAMELIST
                                                                
                                                                
                                                            
                                                                
                                                                
                                                                    NARGS
                                                                
                                                                
                                                            
                                                                
                                                                
                                                                    NEAREST
                                                                
                                                                
                                                            
                                                                
                                                                
                                                                    NEW_LINE
                                                                
                                                                
                                                            
                                                                
                                                                
                                                                    NINT
                                                                
                                                                
                                                            
                                                                
                                                                
                                                                    NOFREEFORM
                                                                
                                                                
                                                            
                                                                
                                                                
                                                                    NOFUSION
                                                                
                                                                
                                                            
                                                                
                                                                
                                                                    NON_RECURSIVE
                                                                
                                                                
                                                            
                                                                
                                                                
                                                                    NOOPTIMIZE
                                                                
                                                                
                                                            
                                                                
                                                                
                                                                    NOPREFETCH
                                                                
                                                                
                                                            
                                                                
                                                                
                                                                    NORM2
                                                                
                                                                
                                                            
                                                                
                                                                
                                                                    NOSTRICT
                                                                
                                                                
                                                            
                                                                
                                                                
                                                                    NOT
                                                                
                                                                
                                                            
                                                                
                                                                
                                                                    NOTHING
                                                                
                                                                
                                                            
                                                                
                                                                
                                                                    NOUNROLL
                                                                
                                                                
                                                            
                                                                
                                                                
                                                                    NOUNROLL_AND_JAM
                                                                
                                                                
                                                            
                                                                
                                                                
                                                                    NOVECTOR
                                                                
                                                                
                                                            
                                                                
                                                                
                                                                    NOWAIT Clause
                                                                
                                                                
                                                            
                                                                
                                                                
                                                                    NULL
                                                                
                                                                
                                                            
                                                                
                                                                
                                                                    NULLIFY
                                                                
                                                                
                                                            
                                                                
                                                                
                                                                    NUM_IMAGES
                                                                
                                                                
                                                            
                                                        
                                                    
                                                            
                                                            
                                                                
                                                                
                                                                    OBJCOMMENT
                                                                
                                                                
                                                            
                                                                
                                                                
                                                                    OPEN
                                                                
                                                                
                                                            
                                                                
                                                                
                                                                    OPTIONAL
                                                                
                                                                
                                                            
                                                                
                                                                
                                                                    OPTIMIZE and NOOPTIMIZE
                                                                
                                                                
                                                            
                                                                
                                                                
                                                                    OPTIONS Directive
                                                                
                                                                
                                                            
                                                                
                                                                
                                                                    OPTIONS Statement
                                                                
                                                                
                                                            
                                                                
                                                                
                                                                    OR
                                                                
                                                                
                                                            
                                                                
                                                                
                                                                    ORDERED
                                                                
                                                                
                                                            
                                                                
                                                                
                                                                    OUT_OF_RANGE
                                                                
                                                                
                                                            
                                                                
                                                                
                                                                    PACK Directive
                                                                
                                                                
                                                            
                                                                
                                                                
                                                                    PACK Function
                                                                
                                                                
                                                            
                                                                
                                                                
                                                                    PACKTIMEQQ
                                                                
                                                                
                                                            
                                                                
                                                                
                                                                    PARALLEL Directive for OpenMP
                                                                
                                                                
                                                            
                                                                
                                                                
                                                                    PARALLEL and NOPARALLEL General Directives
                                                                
                                                                
                                                            
                                                                
                                                                
                                                                    PARALLEL DO
                                                                
                                                                
                                                            
                                                                
                                                                
                                                                    PARALLEL DO SIMD
                                                                
                                                                
                                                            
                                                                
                                                                
                                                                    PARALLEL LOOP
                                                                
                                                                
                                                            
                                                                
                                                                
                                                                    PARALLEL MASKED
                                                                
                                                                
                                                            
                                                                
                                                                
                                                                    PARALLEL MASKED TASKLOOP
                                                                
                                                                
                                                            
                                                                
                                                                
                                                                    PARALLEL MASKED TASKLOOP SIMD
                                                                
                                                                
                                                            
                                                                
                                                                
                                                                    PARALLEL MASTER
                                                                
                                                                
                                                            
                                                                
                                                                
                                                                    PARALLEL MASTER TASKLOOP
                                                                
                                                                
                                                            
                                                                
                                                                
                                                                    PARALLEL MASTER TASKLOOP SIMD
                                                                
                                                                
                                                            
                                                                
                                                                
                                                                    PARALLEL SECTIONS
                                                                
                                                                
                                                            
                                                                
                                                                
                                                                    PARALLEL WORKSHARE
                                                                
                                                                
                                                            
                                                                
                                                                
                                                                    PARAMETER
                                                                
                                                                
                                                            
                                                                
                                                                
                                                                    PARITY
                                                                
                                                                
                                                            
                                                                
                                                                
                                                                    PAUSE
                                                                
                                                                
                                                            
                                                                
                                                                
                                                                    PEEKCHARQQ
                                                                
                                                                
                                                            
                                                                
                                                                
                                                                    PERROR
                                                                
                                                                
                                                            
                                                                
                                                                
                                                                    POINTER - Fortran
                                                                
                                                                
                                                            
                                                                
                                                                
                                                                    POINTER - Integer
                                                                
                                                                
                                                            
                                                                
                                                                
                                                                    POPCNT
                                                                
                                                                
                                                            
                                                                
                                                                
                                                                    POPPAR
                                                                
                                                                
                                                            
                                                                
                                                                
                                                                    PRECISION
                                                                
                                                                
                                                            
                                                                
                                                                
                                                                    PREFETCH and NOPREFETCH General Directives
                                                                
                                                                
                                                            
                                                                
                                                                
                                                                    PREFETCH Directive for OpenMP
                                                                
                                                                
                                                            
                                                                
                                                                
                                                                    PRESENT
                                                                
                                                                
                                                            
                                                                
                                                                
                                                                    PRINT
                                                                
                                                                
                                                            
                                                                
                                                                
                                                                    PRIORITY
                                                                
                                                                
                                                            
                                                                
                                                                
                                                                    PRIVATE Clause
                                                                
                                                                
                                                            
                                                                
                                                                
                                                                    PRIVATE Statement
                                                                
                                                                
                                                            
                                                                
                                                                
                                                                    PROCEDURE
                                                                
                                                                
                                                            
                                                                
                                                                
                                                                    PROCESSOR Clause
                                                                
                                                                
                                                            
                                                                
                                                                
                                                                    PRODUCT
                                                                
                                                                
                                                            
                                                                
                                                                
                                                                    PROGRAM
                                                                
                                                                
                                                            
                                                                
                                                                
                                                                    PROTECTED
                                                                
                                                                
                                                            
                                                                
                                                                
                                                                    PSECT
                                                                
                                                                
                                                            
                                                                
                                                                
                                                                    PUBLIC
                                                                
                                                                
                                                            
                                                                
                                                                
                                                                    PURE
                                                                
                                                                
                                                            
                                                                
                                                                
                                                                    PUTC
                                                                
                                                                
                                                            
                                                        
                                                    
                                                            
                                                            
                                                                
                                                                
                                                                    QCMPLX
                                                                
                                                                
                                                            
                                                                
                                                                
                                                                    QEXT
                                                                
                                                                
                                                            
                                                                
                                                                
                                                                    QFLOAT
                                                                
                                                                
                                                            
                                                                
                                                                
                                                                    QNUM
                                                                
                                                                
                                                            
                                                                
                                                                
                                                                    QRANSET
                                                                
                                                                
                                                            
                                                                
                                                                
                                                                    QREAL
                                                                
                                                                
                                                            
                                                                
                                                                
                                                                    QSORT
                                                                
                                                                
                                                            
                                                                
                                                                
                                                                    RADIX
                                                                
                                                                
                                                            
                                                                
                                                                
                                                                    RAISEQQ
                                                                
                                                                
                                                            
                                                                
                                                                
                                                                    RAN
                                                                
                                                                
                                                            
                                                                
                                                                
                                                                    RAND, RANDOM
                                                                
                                                                
                                                            
                                                                
                                                                
                                                                    RANDOM Subroutine
                                                                
                                                                
                                                            
                                                                
                                                                
                                                                    RANDOM_INIT
                                                                
                                                                
                                                            
                                                                
                                                                
                                                                    RANDOM_NUMBER
                                                                
                                                                
                                                            
                                                                
                                                                
                                                                    RANDOM_SEED
                                                                
                                                                
                                                            
                                                                
                                                                
                                                                    RANDU
                                                                
                                                                
                                                            
                                                                
                                                                
                                                                    RANF Intrinsic Procedure
                                                                
                                                                
                                                            
                                                                
                                                                
                                                                    RANF Portability Routine
                                                                
                                                                
                                                            
                                                                
                                                                
                                                                    RANGE
                                                                
                                                                
                                                            
                                                                
                                                                
                                                                    RANGET
                                                                
                                                                
                                                            
                                                                
                                                                
                                                                    RANK
                                                                
                                                                
                                                            
                                                                
                                                                
                                                                    RANSET
                                                                
                                                                
                                                            
                                                                
                                                                
                                                                    READ Statement
                                                                
                                                                
                                                            
                                                                
                                                                
                                                                    REAL Directive
                                                                
                                                                
                                                            
                                                                
                                                                
                                                                    REAL Function
                                                                
                                                                
                                                            
                                                                
                                                                
                                                                    REAL Statement
                                                                
                                                                
                                                            
                                                                
                                                                
                                                                    RECORD
                                                                
                                                                
                                                            
                                                                
                                                                
                                                                    RECURSIVE and NON_RECURSIVE
                                                                
                                                                
                                                            
                                                                
                                                                
                                                                    REDUCE
                                                                
                                                                
                                                            
                                                                
                                                                
                                                                    REDUCTION
                                                                
                                                                
                                                            
                                                                
                                                                
                                                                    %REF
                                                                
                                                                
                                                            
                                                                
                                                                
                                                                    RENAME
                                                                
                                                                
                                                            
                                                                
                                                                
                                                                    RENAMEFILEQQ
                                                                
                                                                
                                                            
                                                                
                                                                
                                                                    REPEAT
                                                                
                                                                
                                                            
                                                                
                                                                
                                                                    REQUIRES
                                                                
                                                                
                                                            
                                                                
                                                                
                                                                    RESHAPE
                                                                
                                                                
                                                            
                                                                
                                                                
                                                                    RESULT
                                                                
                                                                
                                                            
                                                                
                                                                
                                                                    RETURN
                                                                
                                                                
                                                            
                                                                
                                                                
                                                                    REWIND
                                                                
                                                                
                                                            
                                                                
                                                                
                                                                    REWRITE
                                                                
                                                                
                                                            
                                                                
                                                                
                                                                    RINDEX
                                                                
                                                                
                                                            
                                                                
                                                                
                                                                    RNUM
                                                                
                                                                
                                                            
                                                                
                                                                
                                                                    RRSPACING
                                                                
                                                                
                                                            
                                                                
                                                                
                                                                    RSHIFT
                                                                
                                                                
                                                            
                                                                
                                                                
                                                                    RTC
                                                                
                                                                
                                                            
                                                                
                                                                
                                                                    RUNQQ
                                                                
                                                                
                                                            
                                                        
                                                    
                                                            
                                                            
                                                                
                                                                
                                                                    SAME_TYPE_AS
                                                                
                                                                
                                                            
                                                                
                                                                
                                                                    SAVE
                                                                
                                                                
                                                            
                                                                
                                                                
                                                                    SCALE
                                                                
                                                                
                                                            
                                                                
                                                                
                                                                    SCAN Directive
                                                                
                                                                
                                                            
                                                                
                                                                
                                                                    SCAN Function
                                                                
                                                                
                                                            
                                                                
                                                                
                                                                    SCANENV
                                                                
                                                                
                                                            
                                                                
                                                                
                                                                    SCOPE
                                                                
                                                                
                                                            
                                                                
                                                                
                                                                    SCWRQQ
                                                                
                                                                
                                                            
                                                                
                                                                
                                                                    SECNDS Intrinsic Procedure
                                                                
                                                                
                                                            
                                                                
                                                                
                                                                    SECNDS Portability Routine
                                                                
                                                                
                                                            
                                                                
                                                                
                                                                    SECTIONS
                                                                
                                                                
                                                            
                                                                
                                                                
                                                                    SEED
                                                                
                                                                
                                                            
                                                                
                                                                
                                                                    SELECT CASE and END SELECT
                                                                
                                                                
                                                            
                                                                
                                                                
                                                                    SELECT RANK
                                                                
                                                                
                                                            
                                                                
                                                                
                                                                    SELECT TYPE
                                                                
                                                                
                                                            
                                                                
                                                                
                                                                    SELECTED_CHAR_KIND
                                                                
                                                                
                                                            
                                                                
                                                                
                                                                    SELECTED_INT_KIND
                                                                
                                                                
                                                            
                                                                
                                                                
                                                                    SELECTED_REAL_KIND
                                                                
                                                                
                                                            
                                                                
                                                                
                                                                    SEQUENCE
                                                                
                                                                
                                                            
                                                                
                                                                
                                                                    SETCONTROLFPQQ
                                                                
                                                                
                                                            
                                                                
                                                                
                                                                    SETDAT
                                                                
                                                                
                                                            
                                                                
                                                                
                                                                    SETENVQQ
                                                                
                                                                
                                                            
                                                                
                                                                
                                                                    SETERRORMODEQQ
                                                                
                                                                
                                                            
                                                                
                                                                
                                                                    SET_EXPONENT
                                                                
                                                                
                                                            
                                                                
                                                                
                                                                    SETFILEACCESSQQ
                                                                
                                                                
                                                            
                                                                
                                                                
                                                                    SETFILETIMEQQ
                                                                
                                                                
                                                            
                                                                
                                                                
                                                                    SETTIM
                                                                
                                                                
                                                            
                                                                
                                                                
                                                                    SHAPE
                                                                
                                                                
                                                            
                                                                
                                                                
                                                                    SHARED Clause
                                                                
                                                                
                                                            
                                                                
                                                                
                                                                    SHIFTA
                                                                
                                                                
                                                            
                                                                
                                                                
                                                                    SHIFTL
                                                                
                                                                
                                                            
                                                                
                                                                
                                                                    SHIFTR
                                                                
                                                                
                                                            
                                                                
                                                                
                                                                    SHORT
                                                                
                                                                
                                                            
                                                                
                                                                
                                                                    SIGN
                                                                
                                                                
                                                            
                                                                
                                                                
                                                                    SIGNAL
                                                                
                                                                
                                                            
                                                                
                                                                
                                                                    SIGNALQQ
                                                                
                                                                
                                                            
                                                                
                                                                
                                                                    SIMD Directive for OpenMP
                                                                
                                                                
                                                            
                                                                
                                                                
                                                                    SIMD Loop Directive
                                                                
                                                                
                                                            
                                                                
                                                                
                                                                    SIN
                                                                
                                                                
                                                            
                                                                
                                                                
                                                                    SIND
                                                                
                                                                
                                                            
                                                                
                                                                
                                                                    SINGLE
                                                                
                                                                
                                                            
                                                                
                                                                
                                                                    SINH
                                                                
                                                                
                                                            
                                                                
                                                                
                                                                    SIZE Function
                                                                
                                                                
                                                            
                                                                
                                                                
                                                                    SIZEOF
                                                                
                                                                
                                                            
                                                                
                                                                
                                                                    SLEEP
                                                                
                                                                
                                                            
                                                                
                                                                
                                                                    SLEEPQQ
                                                                
                                                                
                                                            
                                                                
                                                                
                                                                    SNGL
                                                                
                                                                
                                                            
                                                                
                                                                
                                                                    SORTQQ
                                                                
                                                                
                                                            
                                                                
                                                                
                                                                    SPACING
                                                                
                                                                
                                                            
                                                                
                                                                
                                                                    SPLITPATHQQ
                                                                
                                                                
                                                            
                                                                
                                                                
                                                                    SPREAD
                                                                
                                                                
                                                            
                                                                
                                                                
                                                                    SQRT
                                                                
                                                                
                                                            
                                                                
                                                                
                                                                    SRAND
                                                                
                                                                
                                                            
                                                                
                                                                
                                                                    SSWRQQ
                                                                
                                                                
                                                            
                                                                
                                                                
                                                                    STAT
                                                                
                                                                
                                                            
                                                                
                                                                
                                                                    Statement Function
                                                                
                                                                
                                                            
                                                                
                                                                
                                                                    STATIC
                                                                
                                                                
                                                            
                                                                
                                                                
                                                                    STOP and ERROR STOP
                                                                
                                                                
                                                            
                                                                
                                                                
                                                                    STOPPED_IMAGES
                                                                
                                                                
                                                            
                                                                
                                                                
                                                                    STORAGE_SIZE
                                                                
                                                                
                                                            
                                                                
                                                                
                                                                    STRICT and NOSTRICT
                                                                
                                                                
                                                            
                                                                
                                                                
                                                                    STRUCTURE and END STRUCTURE
                                                                
                                                                
                                                            
                                                                
                                                                
                                                                    SUBDEVICE
                                                                
                                                                
                                                            
                                                                
                                                                
                                                                    SUBMODULE
                                                                
                                                                
                                                            
                                                                
                                                                
                                                                    SUBROUTINE
                                                                
                                                                
                                                            
                                                                
                                                                
                                                                    SUM
                                                                
                                                                
                                                            
                                                                
                                                                
                                                                    SYNC ALL
                                                                
                                                                
                                                            
                                                                
                                                                
                                                                    SYNC IMAGES
                                                                
                                                                
                                                            
                                                                
                                                                
                                                                    SYNC MEMORY
                                                                
                                                                
                                                            
                                                                
                                                                
                                                                    SYNC TEAM
                                                                
                                                                
                                                            
                                                                
                                                                
                                                                    SYSTEM
                                                                
                                                                
                                                            
                                                                
                                                                
                                                                    SYSTEM_CLOCK
                                                                
                                                                
                                                            
                                                                
                                                                
                                                                    SYSTEMQQ
                                                                
                                                                
                                                            
                                                        
                                                    
                                                            
                                                            
                                                                
                                                                
                                                                    TAN
                                                                
                                                                
                                                            
                                                                
                                                                
                                                                    TAND
                                                                
                                                                
                                                            
                                                                
                                                                
                                                                    TANH
                                                                
                                                                
                                                            
                                                                
                                                                
                                                                    TARGET
                                                                
                                                                
                                                            
                                                                
                                                                
                                                                    TARGET DATA
                                                                
                                                                
                                                            
                                                                
                                                                
                                                                    TARGET Statement
                                                                
                                                                
                                                            
                                                                
                                                                
                                                                    TARGET ENTER DATA
                                                                
                                                                
                                                            
                                                                
                                                                
                                                                    TARGET EXIT DATA
                                                                
                                                                
                                                            
                                                                
                                                                
                                                                    TARGET PARALLEL
                                                                
                                                                
                                                            
                                                                
                                                                
                                                                    TARGET PARALLEL DO
                                                                
                                                                
                                                            
                                                                
                                                                
                                                                    TARGET PARALLEL DO SIMD
                                                                
                                                                
                                                            
                                                                
                                                                
                                                                    TARGET PARALLEL LOOP
                                                                
                                                                
                                                            
                                                                
                                                                
                                                                    TARGET SIMD
                                                                
                                                                
                                                            
                                                                
                                                                
                                                                    TARGET TEAMS
                                                                
                                                                
                                                            
                                                                
                                                                
                                                                    TARGET TEAMS DISTRIBUTE
                                                                
                                                                
                                                            
                                                                
                                                                
                                                                    TARGET TEAMS DISTRIBUTE PARALLEL DO
                                                                
                                                                
                                                            
                                                                
                                                                
                                                                    TARGET TEAMS DISTRIBUTE PARALLEL DO SIMD
                                                                
                                                                
                                                            
                                                                
                                                                
                                                                    TARGET TEAMS DISTRIBUTE SIMD
                                                                
                                                                
                                                            
                                                                
                                                                
                                                                    TARGET TEAMS LOOP
                                                                
                                                                
                                                            
                                                                
                                                                
                                                                    TARGET UPDATE
                                                                
                                                                
                                                            
                                                                
                                                                
                                                                    TARGET VARIANT DISPATCH
                                                                
                                                                
                                                            
                                                                
                                                                
                                                                    TASK
                                                                
                                                                
                                                            
                                                                
                                                                
                                                                    TASK_REDUCTION
                                                                
                                                                
                                                            
                                                                
                                                                
                                                                    TASKGROUP
                                                                
                                                                
                                                            
                                                                
                                                                
                                                                    TASKLOOP
                                                                
                                                                
                                                            
                                                                
                                                                
                                                                    TASKLOOP SIMD
                                                                
                                                                
                                                            
                                                                
                                                                
                                                                    TASKWAIT
                                                                
                                                                
                                                            
                                                                
                                                                
                                                                    TASKYIELD
                                                                
                                                                
                                                            
                                                                
                                                                
                                                                    TEAM_NUMBER
                                                                
                                                                
                                                            
                                                                
                                                                
                                                                    TEAMS
                                                                
                                                                
                                                            
                                                                
                                                                
                                                                    TEAMS DISTRIBUTE
                                                                
                                                                
                                                            
                                                                
                                                                
                                                                    TEAMS DISTRIBUTE PARALLEL DO
                                                                
                                                                
                                                            
                                                                
                                                                
                                                                    TEAMS DISTRIBUTE PARALLEL DO SIMD
                                                                
                                                                
                                                            
                                                                
                                                                
                                                                    TEAMS DISTRIBUTE SIMD
                                                                
                                                                
                                                            
                                                                
                                                                
                                                                    TEAMS LOOP
                                                                
                                                                
                                                            
                                                                
                                                                
                                                                    THIS_IMAGE
                                                                
                                                                
                                                            
                                                                
                                                                
                                                                    THREADPRIVATE
                                                                
                                                                
                                                            
                                                                
                                                                
                                                                    TIME Intrinsic Procedure
                                                                
                                                                
                                                            
                                                                
                                                                
                                                                    TIME Portability Routine
                                                                
                                                                
                                                            
                                                                
                                                                
                                                                    TIMEF
                                                                
                                                                
                                                            
                                                                
                                                                
                                                                    TINY
                                                                
                                                                
                                                            
                                                                
                                                                
                                                                    TRACEBACKQQ
                                                                
                                                                
                                                            
                                                                
                                                                
                                                                    TRAILZ
                                                                
                                                                
                                                            
                                                                
                                                                
                                                                    TRANSFER
                                                                
                                                                
                                                            
                                                                
                                                                
                                                                    TRANSPOSE
                                                                
                                                                
                                                            
                                                                
                                                                
                                                                    TRIM
                                                                
                                                                
                                                            
                                                                
                                                                
                                                                    TTYNAM
                                                                
                                                                
                                                            
                                                                
                                                                
                                                                    Type Declarations
                                                                
                                                                
                                                            
                                                                
                                                                
                                                                    TYPE Statement for Derived Types)
                                                                
                                                                
                                                            
                                                                
                                                                
                                                                    UBOUND
                                                                
                                                                
                                                            
                                                                
                                                                
                                                                    UCOBOUND
                                                                
                                                                
                                                            
                                                                
                                                                
                                                                    UNDEFINE
                                                                
                                                                
                                                            
                                                                
                                                                
                                                                    UNION and END UNION
                                                                
                                                                
                                                            
                                                                
                                                                
                                                                    UNLINK
                                                                
                                                                
                                                            
                                                                
                                                                
                                                                    UNPACK
                                                                
                                                                
                                                            
                                                                
                                                                
                                                                    UNPACKTIMEQQ
                                                                
                                                                
                                                            
                                                                
                                                                
                                                                    UNROLL Directive for OpenMP
                                                                
                                                                
                                                            
                                                                
                                                                
                                                                    UNROLL and NOUNROLL General Directives
                                                                
                                                                
                                                            
                                                                
                                                                
                                                                    UNROLL_AND_JAM and NOUNROLL_AND_JAM
                                                                
                                                                
                                                            
                                                                
                                                                
                                                                    UNTIED Clause
                                                                
                                                                
                                                            
                                                                
                                                                
                                                                    USE
                                                                
                                                                
                                                            
                                                                
                                                                
                                                                    USE_DEVICE_PTR Clause
                                                                
                                                                
                                                            
                                                                
                                                                
                                                                    %VAL
                                                                
                                                                
                                                            
                                                                
                                                                
                                                                    VALUE
                                                                
                                                                
                                                            
                                                                
                                                                
                                                                    VECREMAINDER Clause
                                                                
                                                                
                                                            
                                                                
                                                                
                                                                    VECTOR and NOVECTOR
                                                                
                                                                
                                                            
                                                                
                                                                
                                                                    VERIFY
                                                                
                                                                
                                                            
                                                                
                                                                
                                                                    VIRTUAL
                                                                
                                                                
                                                            
                                                                
                                                                
                                                                    VOLATILE
                                                                
                                                                
                                                            
                                                                
                                                                
                                                                    WAIT
                                                                
                                                                
                                                            
                                                                
                                                                
                                                                    WHERE
                                                                
                                                                
                                                            
                                                                
                                                                
                                                                    WORKSHARE
                                                                
                                                                
                                                            
                                                                
                                                                
                                                                    WRITE Statement
                                                                
                                                                
                                                            
                                                                
                                                                
                                                                    XOR
                                                                
                                                                
                                                            
                                                                
                                                                
                                                                    ZEXT
                                                                
                                                                
                                                            
                                                        
                                                    
                                                            
                                                            
                                                                
                                                                
                                                                    IPXFARGC
                                                                
                                                                
                                                            
                                                                
                                                                
                                                                    IPXFCONST
                                                                
                                                                
                                                            
                                                                
                                                                
                                                                    IPXFLENTRIM
                                                                
                                                                
                                                            
                                                                
                                                                
                                                                    IPXFWEXITSTATUS
                                                                
                                                                
                                                            
                                                                
                                                                
                                                                    IPXFWSTOPSIG
                                                                
                                                                
                                                            
                                                                
                                                                
                                                                    IPXFWTERMSIG
                                                                
                                                                
                                                            
                                                                
                                                                
                                                                    PXFGET
                                                                
                                                                
                                                            
                                                                
                                                                
                                                                    PXFSET
                                                                
                                                                
                                                            
                                                                
                                                                
                                                                    PXFAGET
                                                                
                                                                
                                                            
                                                                
                                                                
                                                                    PXFASET
                                                                
                                                                
                                                            
                                                                
                                                                
                                                                    PXFACCESS
                                                                
                                                                
                                                            
                                                                
                                                                
                                                                    PXFALARM
                                                                
                                                                
                                                            
                                                                
                                                                
                                                                    PXFCALLSUBHANDLE
                                                                
                                                                
                                                            
                                                                
                                                                
                                                                    PXFCFGETISPEED
                                                                
                                                                
                                                            
                                                                
                                                                
                                                                    PXFCFGETOSPEED
                                                                
                                                                
                                                            
                                                                
                                                                
                                                                    PXFCFSETISPEED
                                                                
                                                                
                                                            
                                                                
                                                                
                                                                    PXFCFSETOSPEED
                                                                
                                                                
                                                            
                                                                
                                                                
                                                                    PXFCHDIR
                                                                
                                                                
                                                            
                                                                
                                                                
                                                                    PXFCHMOD
                                                                
                                                                
                                                            
                                                                
                                                                
                                                                    PXFCHOWN
                                                                
                                                                
                                                            
                                                                
                                                                
                                                                    PXFCLEARENV
                                                                
                                                                
                                                            
                                                                
                                                                
                                                                    PXFCLOSE
                                                                
                                                                
                                                            
                                                                
                                                                
                                                                    PXFCLOSEDIR
                                                                
                                                                
                                                            
                                                                
                                                                
                                                                    PXFCONST
                                                                
                                                                
                                                            
                                                                
                                                                
                                                                    PXFCREAT
                                                                
                                                                
                                                            
                                                                
                                                                
                                                                    PXFCTERMID
                                                                
                                                                
                                                            
                                                                
                                                                
                                                                    PXFDUP, PXFDUP2
                                                                
                                                                
                                                            
                                                                
                                                                
                                                                    PXFEGET
                                                                
                                                                
                                                            
                                                                
                                                                
                                                                    PXFESET
                                                                
                                                                
                                                            
                                                                
                                                                
                                                                    PXFEXECV
                                                                
                                                                
                                                            
                                                                
                                                                
                                                                    PXFEXECVE
                                                                
                                                                
                                                            
                                                                
                                                                
                                                                    PXFEXECVP
                                                                
                                                                
                                                            
                                                                
                                                                
                                                                    PXFEXIT, PXFFASTEXIT
                                                                
                                                                
                                                            
                                                                
                                                                
                                                                    PXFFCNTL
                                                                
                                                                
                                                            
                                                                
                                                                
                                                                    PXFFDOPEN
                                                                
                                                                
                                                            
                                                                
                                                                
                                                                    PXFFFLUSH
                                                                
                                                                
                                                            
                                                                
                                                                
                                                                    PXFFGETC
                                                                
                                                                
                                                            
                                                                
                                                                
                                                                    PXFFILENO
                                                                
                                                                
                                                            
                                                                
                                                                
                                                                    PXFFORK
                                                                
                                                                
                                                            
                                                                
                                                                
                                                                    PXFFPATHCONF
                                                                
                                                                
                                                            
                                                                
                                                                
                                                                    PXFFPUTC
                                                                
                                                                
                                                            
                                                                
                                                                
                                                                    PXFFSEEK
                                                                
                                                                
                                                            
                                                                
                                                                
                                                                    PXFFSTAT
                                                                
                                                                
                                                            
                                                                
                                                                
                                                                    PXFFTELL
                                                                
                                                                
                                                            
                                                                
                                                                
                                                                    PXFGETARG
                                                                
                                                                
                                                            
                                                                
                                                                
                                                                    PXFGETC
                                                                
                                                                
                                                            
                                                                
                                                                
                                                                    PXFGETCWD
                                                                
                                                                
                                                            
                                                                
                                                                
                                                                    PXFGETEGID
                                                                
                                                                
                                                            
                                                                
                                                                
                                                                    PXFGETENV
                                                                
                                                                
                                                            
                                                                
                                                                
                                                                    PXFGETEUID
                                                                
                                                                
                                                            
                                                                
                                                                
                                                                    PXFGETGID
                                                                
                                                                
                                                            
                                                                
                                                                
                                                                    PXFGETGRGID
                                                                
                                                                
                                                            
                                                                
                                                                
                                                                    PXFGETGRNAM
                                                                
                                                                
                                                            
                                                                
                                                                
                                                                    PXFGETGROUPS
                                                                
                                                                
                                                            
                                                                
                                                                
                                                                    PXFGETLOGIN
                                                                
                                                                
                                                            
                                                                
                                                                
                                                                    PXFGETPGRP
                                                                
                                                                
                                                            
                                                                
                                                                
                                                                    PXFGETPID
                                                                
                                                                
                                                            
                                                                
                                                                
                                                                    PXFGETPPID
                                                                
                                                                
                                                            
                                                                
                                                                
                                                                    PXFGETPWNAM
                                                                
                                                                
                                                            
                                                                
                                                                
                                                                    PXFGETPWUID
                                                                
                                                                
                                                            
                                                                
                                                                
                                                                    PXFGETSUBHANDLE
                                                                
                                                                
                                                            
                                                                
                                                                
                                                                    PXFGETUID
                                                                
                                                                
                                                            
                                                                
                                                                
                                                                    PXFISATTY
                                                                
                                                                
                                                            
                                                                
                                                                
                                                                    PXFISBLK
                                                                
                                                                
                                                            
                                                                
                                                                
                                                                    PXFISCHR
                                                                
                                                                
                                                            
                                                                
                                                                
                                                                    PXFISCONST
                                                                
                                                                
                                                            
                                                                
                                                                
                                                                    PXFISDIR
                                                                
                                                                
                                                            
                                                                
                                                                
                                                                    PXFISFIFO
                                                                
                                                                
                                                            
                                                                
                                                                
                                                                    PXFISREG
                                                                
                                                                
                                                            
                                                                
                                                                
                                                                    PXFKILL
                                                                
                                                                
                                                            
                                                                
                                                                
                                                                    PXFLINK
                                                                
                                                                
                                                            
                                                                
                                                                
                                                                    PXFLOCALTIME
                                                                
                                                                
                                                            
                                                                
                                                                
                                                                    PXFLSEEK
                                                                
                                                                
                                                            
                                                                
                                                                
                                                                    PXFMKDIR
                                                                
                                                                
                                                            
                                                                
                                                                
                                                                    PXFMKFIFO
                                                                
                                                                
                                                            
                                                                
                                                                
                                                                    PXFOPEN
                                                                
                                                                
                                                            
                                                                
                                                                
                                                                    PXFOPENDIR
                                                                
                                                                
                                                            
                                                                
                                                                
                                                                    PXFPATHCONF
                                                                
                                                                
                                                            
                                                                
                                                                
                                                                    PXFPAUSE
                                                                
                                                                
                                                            
                                                                
                                                                
                                                                    PXFPIPE
                                                                
                                                                
                                                            
                                                                
                                                                
                                                                    PXFPOSIXIO
                                                                
                                                                
                                                            
                                                                
                                                                
                                                                    PXFPUTC
                                                                
                                                                
                                                            
                                                                
                                                                
                                                                    PXFREAD
                                                                
                                                                
                                                            
                                                                
                                                                
                                                                    PXFREADDIR
                                                                
                                                                
                                                            
                                                                
                                                                
                                                                    PXFRENAME
                                                                
                                                                
                                                            
                                                                
                                                                
                                                                    PXFREWINDDIR
                                                                
                                                                
                                                            
                                                                
                                                                
                                                                    PXFRMDIR
                                                                
                                                                
                                                            
                                                                
                                                                
                                                                    PXFSETENV
                                                                
                                                                
                                                            
                                                                
                                                                
                                                                    PXFSETGID
                                                                
                                                                
                                                            
                                                                
                                                                
                                                                    PXFSETPGID
                                                                
                                                                
                                                            
                                                                
                                                                
                                                                    PXFSETSID
                                                                
                                                                
                                                            
                                                                
                                                                
                                                                    PXFSETUID
                                                                
                                                                
                                                            
                                                                
                                                                
                                                                    PXFSIGACTION
                                                                
                                                                
                                                            
                                                                
                                                                
                                                                    PXFSIGADDSET
                                                                
                                                                
                                                            
                                                                
                                                                
                                                                    PXFSIGDELSET
                                                                
                                                                
                                                            
                                                                
                                                                
                                                                    PXFSIGEMPTYSET
                                                                
                                                                
                                                            
                                                                
                                                                
                                                                    PXFSIGFILLSET
                                                                
                                                                
                                                            
                                                                
                                                                
                                                                    PXFSIGISMEMBER
                                                                
                                                                
                                                            
                                                                
                                                                
                                                                    PXFSIGPENDING
                                                                
                                                                
                                                            
                                                                
                                                                
                                                                    PXFSIGPROCMASK
                                                                
                                                                
                                                            
                                                                
                                                                
                                                                    PXFSIGSUSPEND
                                                                
                                                                
                                                            
                                                                
                                                                
                                                                    PXFSLEEP
                                                                
                                                                
                                                            
                                                                
                                                                
                                                                    PXFSTAT
                                                                
                                                                
                                                            
                                                                
                                                                
                                                                    PXFSTRUCTCOPY
                                                                
                                                                
                                                            
                                                                
                                                                
                                                                    PXFSTRUCTCREATE
                                                                
                                                                
                                                            
                                                                
                                                                
                                                                    PXFSTRUCTFREE
                                                                
                                                                
                                                            
                                                                
                                                                
                                                                    PXFSYSCONF
                                                                
                                                                
                                                            
                                                                
                                                                
                                                                    PXFTCDRAIN
                                                                
                                                                
                                                            
                                                                
                                                                
                                                                    PXFTCFLOW
                                                                
                                                                
                                                            
                                                                
                                                                
                                                                    PXFTCFLUSH
                                                                
                                                                
                                                            
                                                                
                                                                
                                                                    PXFTCGETATTR
                                                                
                                                                
                                                            
                                                                
                                                                
                                                                    PXFTCGETPGRP
                                                                
                                                                
                                                            
                                                                
                                                                
                                                                    PXFTCSENDBREAK
                                                                
                                                                
                                                            
                                                                
                                                                
                                                                    PXFTCSETATTR
                                                                
                                                                
                                                            
                                                                
                                                                
                                                                    PXFTCSETPGRP
                                                                
                                                                
                                                            
                                                                
                                                                
                                                                    PXFTIME
                                                                
                                                                
                                                            
                                                                
                                                                
                                                                    PXFTIMES
                                                                
                                                                
                                                            
                                                                
                                                                
                                                                    PXFTTYNAME
                                                                
                                                                
                                                            
                                                                
                                                                
                                                                    PXFUCOMPARE
                                                                
                                                                
                                                            
                                                                
                                                                
                                                                    PXFUMASK
                                                                
                                                                
                                                            
                                                                
                                                                
                                                                    PXFUNAME
                                                                
                                                                
                                                            
                                                                
                                                                
                                                                    PXFUNLINK
                                                                
                                                                
                                                            
                                                                
                                                                
                                                                    PXFUTIME
                                                                
                                                                
                                                            
                                                                
                                                                
                                                                    PXFWAIT
                                                                
                                                                
                                                            
                                                                
                                                                
                                                                    PXFWAITPID
                                                                
                                                                
                                                            
                                                                
                                                                
                                                                    PXFWIFEXITED
                                                                
                                                                
                                                            
                                                                
                                                                
                                                                    PXFWIFSIGNALED
                                                                
                                                                
                                                            
                                                                
                                                                
                                                                    PXFWIFSTOPPED
                                                                
                                                                
                                                            
                                                                
                                                                
                                                                    PXFWRITE
                                                                
                                                                
                                                            
                                                        
                                                    
                                                            
                                                            
                                                                
                                                                
                                                                    AUTOAddArg
                                                                
                                                                
                                                            
                                                                
                                                                
                                                                    AUTOAllocateInvokeArgs
                                                                
                                                                
                                                            
                                                                
                                                                
                                                                    AUTODeallocateInvokeArgs
                                                                
                                                                
                                                            
                                                                
                                                                
                                                                    AUTOGetExceptInfo
                                                                
                                                                
                                                            
                                                                
                                                                
                                                                    AUTOGetProperty
                                                                
                                                                
                                                            
                                                                
                                                                
                                                                    AUTOGetPropertyByID
                                                                
                                                                
                                                            
                                                                
                                                                
                                                                    AUTOGetPropertyInvokeArgs
                                                                
                                                                
                                                            
                                                                
                                                                
                                                                    AUTOInvoke
                                                                
                                                                
                                                            
                                                                
                                                                
                                                                    AUTOSetProperty
                                                                
                                                                
                                                            
                                                                
                                                                
                                                                    AUTOSetPropertyByID
                                                                
                                                                
                                                            
                                                                
                                                                
                                                                    AUTOSetPropertyInvokeArgs
                                                                
                                                                
                                                            
                                                                
                                                                
                                                                    COMAddObjectReference
                                                                
                                                                
                                                            
                                                                
                                                                
                                                                    COMCLSIDFromProgID
                                                                
                                                                
                                                            
                                                                
                                                                
                                                                    COMCLSIDFromString
                                                                
                                                                
                                                            
                                                                
                                                                
                                                                    COMCreateObject
                                                                
                                                                
                                                            
                                                                
                                                                
                                                                    COMCreateObjectByGUID
                                                                
                                                                
                                                            
                                                                
                                                                
                                                                    COMCreateObjectByProgID
                                                                
                                                                
                                                            
                                                                
                                                                
                                                                    COMGetActiveObjectByGUID
                                                                
                                                                
                                                            
                                                                
                                                                
                                                                    COMGetActiveObjectByProgID
                                                                
                                                                
                                                            
                                                                
                                                                
                                                                    COMGetFileObject
                                                                
                                                                
                                                            
                                                                
                                                                
                                                                    COMInitialize
                                                                
                                                                
                                                            
                                                                
                                                                
                                                                    COMIsEqualGUID
                                                                
                                                                
                                                            
                                                                
                                                                
                                                                    COMQueryInterface
                                                                
                                                                
                                                            
                                                                
                                                                
                                                                    COMReleaseObject
                                                                
                                                                
                                                            
                                                                
                                                                
                                                                    COMStringFromGUID
                                                                
                                                                
                                                            
                                                                
                                                                
                                                                    COMUninitialize
                                                                
                                                                
                                                            
                                                        
                                                    
                                                            
                                                            
                                                                
                                                                
                                                                    MBCharLen
                                                                
                                                                
                                                            
                                                                
                                                                
                                                                    MBConvertMBToUnicode
                                                                
                                                                
                                                            
                                                                
                                                                
                                                                    MBConvertUnicodeToMB
                                                                
                                                                
                                                            
                                                                
                                                                
                                                                    MBCurMax
                                                                
                                                                
                                                            
                                                                
                                                                
                                                                    MBINCHARQQ
                                                                
                                                                
                                                            
                                                                
                                                                
                                                                    MBINDEX
                                                                
                                                                
                                                            
                                                                
                                                                
                                                                    MBJISToJMS, MBJMSToJIS
                                                                
                                                                
                                                            
                                                                
                                                                
                                                                    MBLead
                                                                
                                                                
                                                            
                                                                
                                                                
                                                                    MBLen
                                                                
                                                                
                                                            
                                                                
                                                                
                                                                    MBLen_Trim
                                                                
                                                                
                                                            
                                                                
                                                                
                                                                    MBLGE, MBLGT, MBLLE, MBLLT, MBLEQ, MBLNE
                                                                
                                                                
                                                            
                                                                
                                                                
                                                                    MBNext
                                                                
                                                                
                                                            
                                                                
                                                                
                                                                    MBPrev
                                                                
                                                                
                                                            
                                                                
                                                                
                                                                    MBSCAN
                                                                
                                                                
                                                            
                                                                
                                                                
                                                                    MBStrLead
                                                                
                                                                
                                                            
                                                                
                                                                
                                                                    MBVERIFY
                                                                
                                                                
                                                            
                                                                
                                                                
                                                                    NLSEnumCodepages
                                                                
                                                                
                                                            
                                                                
                                                                
                                                                    NLSEnumLocales
                                                                
                                                                
                                                            
                                                                
                                                                
                                                                    NLSFormatCurrency
                                                                
                                                                
                                                            
                                                                
                                                                
                                                                    NLSFormatDate
                                                                
                                                                
                                                            
                                                                
                                                                
                                                                    NLSFormatNumber
                                                                
                                                                
                                                            
                                                                
                                                                
                                                                    NLSFormatTime
                                                                
                                                                
                                                            
                                                                
                                                                
                                                                    NLSGetEnvironmentCodepage
                                                                
                                                                
                                                            
                                                                
                                                                
                                                                    NLSGetLocale
                                                                
                                                                
                                                            
                                                                
                                                                
                                                                    NLSGetLocaleInfo
                                                                
                                                                
                                                            
                                                                
                                                                
                                                                    NLSSetEnvironmentCodepage
                                                                
                                                                
                                                            
                                                                
                                                                
                                                                    NLSSetLocale
                                                                
                                                                
                                                            
                                                        
                                                    
                                                            
                                                            
                                                                
                                                                
                                                                    ABOUTBOXQQ
                                                                
                                                                
                                                            
                                                                
                                                                
                                                                    APPENDMENUQQ
                                                                
                                                                
                                                            
                                                                
                                                                
                                                                    CLICKMENUQQ
                                                                
                                                                
                                                            
                                                                
                                                                
                                                                    DELETEMENUQQ
                                                                
                                                                
                                                            
                                                                
                                                                
                                                                    FOCUSQQ
                                                                
                                                                
                                                            
                                                                
                                                                
                                                                    GETACTIVEQQ
                                                                
                                                                
                                                            
                                                                
                                                                
                                                                    GETEXITQQ
                                                                
                                                                
                                                            
                                                                
                                                                
                                                                    GETHWNDQQ
                                                                
                                                                
                                                            
                                                                
                                                                
                                                                    GETUNITQQ
                                                                
                                                                
                                                            
                                                                
                                                                
                                                                    GETWINDOWCONFIG
                                                                
                                                                
                                                            
                                                                
                                                                
                                                                    GETWSIZEQQ
                                                                
                                                                
                                                            
                                                                
                                                                
                                                                    INCHARQQ
                                                                
                                                                
                                                            
                                                                
                                                                
                                                                    INITIALSETTINGS
                                                                
                                                                
                                                            
                                                                
                                                                
                                                                    INQFOCUSQQ
                                                                
                                                                
                                                            
                                                                
                                                                
                                                                    INSERTMENUQQ
                                                                
                                                                
                                                            
                                                                
                                                                
                                                                    INTEGERTORGB
                                                                
                                                                
                                                            
                                                                
                                                                
                                                                    MESSAGEBOXQQ
                                                                
                                                                
                                                            
                                                                
                                                                
                                                                    MODIFYMENUFLAGSQQ
                                                                
                                                                
                                                            
                                                                
                                                                
                                                                    MODIFYMENUROUTINEQQ
                                                                
                                                                
                                                            
                                                                
                                                                
                                                                    MODIFYMENUSTRINGQQ
                                                                
                                                                
                                                            
                                                                
                                                                
                                                                    PASSDIRKEYSQQ
                                                                
                                                                
                                                            
                                                                
                                                                
                                                                    REGISTERMOUSEEVENT
                                                                
                                                                
                                                            
                                                                
                                                                
                                                                    RGBTOINTEGER
                                                                
                                                                
                                                            
                                                                
                                                                
                                                                    SETACTIVEQQ
                                                                
                                                                
                                                            
                                                                
                                                                
                                                                    SETEXITQQ
                                                                
                                                                
                                                            
                                                                
                                                                
                                                                    SETMESSAGEQQ
                                                                
                                                                
                                                            
                                                                
                                                                
                                                                    SETMOUSECURSOR
                                                                
                                                                
                                                            
                                                                
                                                                
                                                                    SETWINDOWCONFIG
                                                                
                                                                
                                                            
                                                                
                                                                
                                                                    SETWINDOWMENUQQ
                                                                
                                                                
                                                            
                                                                
                                                                
                                                                    SETWSIZEQQ
                                                                
                                                                
                                                            
                                                                
                                                                
                                                                    UNREGISTERMOUSEEVENT
                                                                
                                                                
                                                            
                                                                
                                                                
                                                                    WAITONMOUSEEVENT
                                                                
                                                                
                                                            
                                                        
                                                    
                                                            
                                                            
                                                                
                                                                
                                                                    ARC, ARC_W
                                                                
                                                                
                                                            
                                                                
                                                                
                                                                    CLEARSCREEN
                                                                
                                                                
                                                            
                                                                
                                                                
                                                                    DISPLAYCURSOR
                                                                
                                                                
                                                            
                                                                
                                                                
                                                                    ELLIPSE, ELLIPSE_W
                                                                
                                                                
                                                            
                                                                
                                                                
                                                                    FLOODFILL, FLOODFILL_W
                                                                
                                                                
                                                            
                                                                
                                                                
                                                                    FLOODFILLRGB, FLOODFILLRGB_W
                                                                
                                                                
                                                            
                                                                
                                                                
                                                                    GETARCINFO
                                                                
                                                                
                                                            
                                                                
                                                                
                                                                    GETBKCOLOR
                                                                
                                                                
                                                            
                                                                
                                                                
                                                                    GETBKCOLORRGB
                                                                
                                                                
                                                            
                                                                
                                                                
                                                                    GETCOLOR
                                                                
                                                                
                                                            
                                                                
                                                                
                                                                    GETCOLORRGB
                                                                
                                                                
                                                            
                                                                
                                                                
                                                                    GETCURRENTPOSITION, GETCURRENTPOSITION_W
                                                                
                                                                
                                                            
                                                                
                                                                
                                                                    GETFILLMASK
                                                                
                                                                
                                                            
                                                                
                                                                
                                                                    GETFONTINFO
                                                                
                                                                
                                                            
                                                                
                                                                
                                                                    GETGTEXTEXTENT
                                                                
                                                                
                                                            
                                                                
                                                                
                                                                    GETGTEXTROTATION
                                                                
                                                                
                                                            
                                                                
                                                                
                                                                    GETIMAGE, GETIMAGE_W
                                                                
                                                                
                                                            
                                                                
                                                                
                                                                    GETLINESTYLE
                                                                
                                                                
                                                            
                                                                
                                                                
                                                                    GETLINEWIDTHQQ
                                                                
                                                                
                                                            
                                                                
                                                                
                                                                    GETPHYSCOORD
                                                                
                                                                
                                                            
                                                                
                                                                
                                                                    GETPIXEL, GETPIXEL_W
                                                                
                                                                
                                                            
                                                                
                                                                
                                                                    GETPIXELRGB, GETPIXELRGB_W
                                                                
                                                                
                                                            
                                                                
                                                                
                                                                    GETPIXELS
                                                                
                                                                
                                                            
                                                                
                                                                
                                                                    GETPIXELSRGB
                                                                
                                                                
                                                            
                                                                
                                                                
                                                                    GETTEXTCOLOR
                                                                
                                                                
                                                            
                                                                
                                                                
                                                                    GETTEXTCOLORRGB
                                                                
                                                                
                                                            
                                                                
                                                                
                                                                    GETTEXTPOSITION
                                                                
                                                                
                                                            
                                                                
                                                                
                                                                    GETTEXTWINDOW
                                                                
                                                                
                                                            
                                                                
                                                                
                                                                    GETVIEWCOORD, GETVIEWCOORD_W
                                                                
                                                                
                                                            
                                                                
                                                                
                                                                    GETWINDOWCOORD
                                                                
                                                                
                                                            
                                                                
                                                                
                                                                    GETWRITEMODE
                                                                
                                                                
                                                            
                                                                
                                                                
                                                                    GRSTATUS
                                                                
                                                                
                                                            
                                                                
                                                                
                                                                    IMAGESIZE, IMAGESIZE_W
                                                                
                                                                
                                                            
                                                                
                                                                
                                                                    INITIALIZEFONTS
                                                                
                                                                
                                                            
                                                                
                                                                
                                                                    LINETO, LINETO_W
                                                                
                                                                
                                                            
                                                                
                                                                
                                                                    LINETOAR
                                                                
                                                                
                                                            
                                                                
                                                                
                                                                    LINETOAREX
                                                                
                                                                
                                                            
                                                                
                                                                
                                                                    LOADIMAGE, LOADIMAGE_W
                                                                
                                                                
                                                            
                                                                
                                                                
                                                                    MOVETO, MOVETO_W
                                                                
                                                                
                                                            
                                                                
                                                                
                                                                    OUTGTEXT
                                                                
                                                                
                                                            
                                                                
                                                                
                                                                    OUTTEXT
                                                                
                                                                
                                                            
                                                                
                                                                
                                                                    PIE, PIE_W
                                                                
                                                                
                                                            
                                                                
                                                                
                                                                    POLYBEZIER, POLYBEZIER_W
                                                                
                                                                
                                                            
                                                                
                                                                
                                                                    POLYBEZIERTO, POLYBEZIERTO_W
                                                                
                                                                
                                                            
                                                                
                                                                
                                                                    POLYGON, POLYGON_W
                                                                
                                                                
                                                            
                                                                
                                                                
                                                                    POLYLINEQQ
                                                                
                                                                
                                                            
                                                                
                                                                
                                                                    PUTIMAGE, PUTIMAGE_W
                                                                
                                                                
                                                            
                                                                
                                                                
                                                                    RECTANGLE, RECTANGLE_W
                                                                
                                                                
                                                            
                                                                
                                                                
                                                                    REMAPALLPALETTERGB, REMAPPALETTERGB
                                                                
                                                                
                                                            
                                                                
                                                                
                                                                    SAVEIMAGE, SAVEIMAGE_W
                                                                
                                                                
                                                            
                                                                
                                                                
                                                                    SCROLLTEXTWINDOW
                                                                
                                                                
                                                            
                                                                
                                                                
                                                                    SETBKCOLOR
                                                                
                                                                
                                                            
                                                                
                                                                
                                                                    SETBKCOLORRGB
                                                                
                                                                
                                                            
                                                                
                                                                
                                                                    SETCLIPRGN
                                                                
                                                                
                                                            
                                                                
                                                                
                                                                    SETCOLOR
                                                                
                                                                
                                                            
                                                                
                                                                
                                                                    SETCOLORRGB
                                                                
                                                                
                                                            
                                                                
                                                                
                                                                    SETFILLMASK
                                                                
                                                                
                                                            
                                                                
                                                                
                                                                    SETFONT
                                                                
                                                                
                                                            
                                                                
                                                                
                                                                    SETGTEXTROTATION
                                                                
                                                                
                                                            
                                                                
                                                                
                                                                    SETLINESTYLE
                                                                
                                                                
                                                            
                                                                
                                                                
                                                                    SETLINEWIDTHQQ
                                                                
                                                                
                                                            
                                                                
                                                                
                                                                    SETPIXEL, SETPIXEL_W
                                                                
                                                                
                                                            
                                                                
                                                                
                                                                    SETPIXELRGB, SETPIXELRGB_W
                                                                
                                                                
                                                            
                                                                
                                                                
                                                                    SETPIXELS
                                                                
                                                                
                                                            
                                                                
                                                                
                                                                    SETPIXELSRGB
                                                                
                                                                
                                                            
                                                                
                                                                
                                                                    SETTEXTCOLOR
                                                                
                                                                
                                                            
                                                                
                                                                
                                                                    SETTEXTCOLORRGB
                                                                
                                                                
                                                            
                                                                
                                                                
                                                                    SETTEXTCURSOR
                                                                
                                                                
                                                            
                                                                
                                                                
                                                                    SETTEXTPOSITION
                                                                
                                                                
                                                            
                                                                
                                                                
                                                                    SETTEXTWINDOW
                                                                
                                                                
                                                            
                                                                
                                                                
                                                                    SETVIEWORG
                                                                
                                                                
                                                            
                                                                
                                                                
                                                                    SETVIEWPORT
                                                                
                                                                
                                                            
                                                                
                                                                
                                                                    SETWINDOW
                                                                
                                                                
                                                            
                                                                
                                                                
                                                                    SETWRITEMODE
                                                                
                                                                
                                                            
                                                                
                                                                
                                                                    WRAPON
                                                                
                                                                
                                                            
                                                        
                                                    
                                                            
                                                            
                                                                
                                                                
                                                                    SPORT_CANCEL_IO
                                                                
                                                                
                                                            
                                                                
                                                                
                                                                    SPORT_CONNECT
                                                                
                                                                
                                                            
                                                                
                                                                
                                                                    SPORT_CONNECT_EX
                                                                
                                                                
                                                            
                                                                
                                                                
                                                                    SPORT_GET_HANDLE
                                                                
                                                                
                                                            
                                                                
                                                                
                                                                    SPORT_GET_STATE
                                                                
                                                                
                                                            
                                                                
                                                                
                                                                    SPORT_GET_STATE_EX
                                                                
                                                                
                                                            
                                                                
                                                                
                                                                    SPORT_GET_TIMEOUTS
                                                                
                                                                
                                                            
                                                                
                                                                
                                                                    SPORT_PEEK_DATA
                                                                
                                                                
                                                            
                                                                
                                                                
                                                                    SPORT_PEEK_LINE
                                                                
                                                                
                                                            
                                                                
                                                                
                                                                    SPORT_PURGE
                                                                
                                                                
                                                            
                                                                
                                                                
                                                                    SPORT_READ_DATA
                                                                
                                                                
                                                            
                                                                
                                                                
                                                                    SPORT_READ_LINE
                                                                
                                                                
                                                            
                                                                
                                                                
                                                                    SPORT_RELEASE
                                                                
                                                                
                                                            
                                                                
                                                                
                                                                    SPORT_SET_STATE
                                                                
                                                                
                                                            
                                                                
                                                                
                                                                    SPORT_SET_STATE_EX
                                                                
                                                                
                                                            
                                                                
                                                                
                                                                    SPORT_SET_TIMEOUTS
                                                                
                                                                
                                                            
                                                                
                                                                
                                                                    SPORT_SHOW_STATE
                                                                
                                                                
                                                            
                                                                
                                                                
                                                                    SPORT_SPECIAL_FUNC
                                                                
                                                                
                                                            
                                                                
                                                                
                                                                    SPORT_WRITE_DATA
                                                                
                                                                
                                                            
                                                                
                                                                
                                                                    SPORT_WRITE_LINE
                                                                
                                                                
                                                            
                                                        
                                                    
                                                            
                                                            
                                                                
                                                                
                                                                    DLGEXIT
                                                                
                                                                
                                                            
                                                                
                                                                
                                                                    DLGFLUSH
                                                                
                                                                
                                                            
                                                                
                                                                
                                                                    DLGGET, DLGGETINT, DLGGETLOG, DLGGETCHAR
                                                                
                                                                
                                                            
                                                                
                                                                
                                                                    DLGINIT, DLGINITWITHRESOURCEHANDLE
                                                                
                                                                
                                                            
                                                                
                                                                
                                                                    DLGISDLGMESSAGE, DLGISDLGMESSAGEWITHDLG
                                                                
                                                                
                                                            
                                                                
                                                                
                                                                    DLGMODAL, DLGMODALWITHPARENT
                                                                
                                                                
                                                            
                                                                
                                                                
                                                                    DLGMODELESS
                                                                
                                                                
                                                            
                                                                
                                                                
                                                                    DLGSENDCTRLMESSAGE
                                                                
                                                                
                                                            
                                                                
                                                                
                                                                    DLGSET, DLGSETINT, DLGSETLOG, DLGSETCHAR
                                                                
                                                                
                                                            
                                                                
                                                                
                                                                    DLGSETCTRLEVENTHANDLER
                                                                
                                                                
                                                            
                                                                
                                                                
                                                                    DLGSETRETURN
                                                                
                                                                
                                                            
                                                                
                                                                
                                                                    DLGSETSUB
                                                                
                                                                
                                                            
                                                                
                                                                
                                                                    DLGSETTITLE
                                                                
                                                                
                                                            
                                                                
                                                                
                                                                    DLGUNINIT
                                                                
                                                                
                                                            
                                                        
                                                    
                                    
                                    
                                        
                                        
                                            Supported Environment Variables
                                        
                                        
                                    
                                        
                                        
                                            Use Other Methods to Set Environment Variables
                                        
                                        
                                    
                                        
                                        
                                            Files Associated with Intel® Fortran Applications on Windows
                                        
                                        
                                    
                                        
                                        
                                            Compile and Link Multithreaded Programs
                                        
                                        
                                    
                                        
                                        
                                            Linking Tools and Options
                                        
                                        
                                    
                                        
                                        
                                            Use Configuration Files
                                        
                                        
                                    
                                        
                                        
                                            Use Response Files
                                        
                                        
                                    
                                        
                                        
                                            Create Fortran Executables
                                        
                                        
                                    
                                        
                                        
                                            Link Debug Information
                                        
                                        
                                    
                                        
                                            Debugging
                                        
                                        
                                        
                                    
                                
                            
                                                
                                                
                                                    
                                                    
                                                        Prepare Your Program for Debugging
                                                    
                                                    
                                                
                                                    
                                                    
                                                        Use Breakpoints in the Microsoft Debugger
                                                    
                                                    
                                                
                                                    
                                                    
                                                        Debug the Squares Example with Microsoft Debugger
                                                    
                                                    
                                                
                                                    
                                                    
                                                        View Fortran Data Types in the Microsoft Debugger
                                                    
                                                    
                                                
                                                    
                                                    
                                                        View the Call Stack in the Microsoft Debugger
                                                    
                                                    
                                                
                                                    
                                                    
                                                        Locate Unaligned Data
                                                    
                                                    
                                                
                                                    
                                                    
                                                        Debug a Program that Encounters a Signal or Exception
                                                    
                                                    
                                                
                                                    
                                                    
                                                        Debugging and Optimizations
                                                    
                                                    
                                                
                                                    
                                                    
                                                        Debug Mixed-Language Programs
                                                    
                                                    
                                                
                                                    
                                                    
                                                        Debug Multithreaded Programs
                                                    
                                                    
                                                
                                                    
                                                        Use Remote Debugging
                                                    
                                                    
                                                    
                                                
                                            
                                        
                                                            
                                                            
                                                                
                                                                
                                                                    GAP Message (Diagnostic ID 30506)
                                                                
                                                                
                                                            
                                                                
                                                                
                                                                    GAP Message (Diagnostic ID 30513)
                                                                
                                                                
                                                            
                                                                
                                                                
                                                                    GAP Message (Diagnostic ID 30515)
                                                                
                                                                
                                                            
                                                                
                                                                
                                                                    GAP Message (Diagnostic ID 30519)
                                                                
                                                                
                                                            
                                                                
                                                                
                                                                    GAP Message (Diagnostic ID 30521)
                                                                
                                                                
                                                            
                                                                
                                                                
                                                                    GAP Message (Diagnostic ID 30522)
                                                                
                                                                
                                                            
                                                                
                                                                
                                                                    GAP Message (Diagnostic ID 30523)
                                                                
                                                                
                                                            
                                                                
                                                                
                                                                    GAP Message (Diagnostic ID 30525)
                                                                
                                                                
                                                            
                                                                
                                                                
                                                                    GAP Message (Diagnostic ID 30526)
                                                                
                                                                
                                                            
                                                                
                                                                
                                                                    GAP Message (Diagnostic ID 30528)
                                                                
                                                                
                                                            
                                                                
                                                                
                                                                    GAP Message (Diagnostic ID 30531)
                                                                
                                                                
                                                            
                                                                
                                                                
                                                                    GAP Message (Diagnostic ID 30532)
                                                                
                                                                
                                                            
                                                                
                                                                
                                                                    GAP Message (Diagnostic ID 30533)
                                                                
                                                                
                                                            
                                                                
                                                                
                                                                    GAP Message (Diagnostic ID 30538)
                                                                
                                                                
                                                            
                                                        
                                                    
                                                
                                                
                                                    
                                                    
                                                        Support for 64-bit Architecture on Linux
                                                    
                                                    
                                                
                                                    
                                                        Traceback
                                                    
                                                    
                                                    
                                                
                                                    
                                                    
                                                        Allocate Common Blocks
                                                    
                                                    
                                                
                                                    
                                                    
                                                        Generate Listing and Map Files
                                                    
                                                    
                                                
                                                    
                                                    
                                                        Create Shared Libraries
                                                    
                                                    
                                                
                                                    
                                                    
                                                        Specify Alternative Tools and Locations
                                                    
                                                    
                                                
                                                    
                                                    
                                                        Temporary Files Created by the Compiler or Linker
                                                    
                                                    
                                                
                                                    
                                                        Use the Intel® Fortran COM Server on Windows
                                                    
                                                    
                                                    
                                                
                                                    
                                                        Use the Intel® Fortran Module Wizard (COM Client) on Windows
                                                    
                                                    
                                                    
                                                
                                                    
                                                    
                                                        IFPORT Portability Library
                                                    
                                                    
                                                
                                            
                                        ERFC
Elemental Intrinsic Function (Generic): Returns the complementary error function of an argument.
result = ERFC (x)
x  |  
      (Input) Must be of type real.  |  
     
Results
The result type and kind are the same as x. The result is in the range 0 to 2.
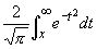
ERFC returns 1 - ERF(x) and is defined as follows:
![]()
ERFC is provided because of the extreme loss of relative accuracy if ERF(x) is called for large x and the result is subtracted from 1.
Specific Name  |  
        Argument Type  |  
        Result Type  |  
       
|---|---|---|
ERFC  |  
        REAL(4)  |  
        REAL(4)  |  
       
DERFC  |  
        REAL(8)  |  
        REAL(8)  |  
       
QERFC  |  
        REAL(16)  |  
        REAL(16)  |  
       
Example
ERFC (1.0) has the value 0.1572992057.
 Parent topic: E to F