Variable Precision DSP Blocks User Guide: Agilex™ 5 FPGAs and SoCs
ID
813968
Date
3/13/2025
Public
A newer version of this document is available. Customers should click here to go to the newest version.
1. Agilex™ 5 Variable Precision DSP Blocks Overview
2. Agilex™ 5 Variable Precision DSP Blocks Architecture
3. Agilex™ 5 Variable Precision DSP Blocks Operational Modes
4. Agilex™ 5 Variable Precision DSP Blocks Design Considerations
5. Native Fixed Point DSP Agilex™ FPGA IP Core References
6. Multiply Adder Intel® FPGA IP Core References
7. ALTMULT_COMPLEX Intel® FPGA IP Core References
8. LPM_MULT Intel® FPGA IP Core References
9. LPM_DIVIDE (Divider) Intel FPGA IP Core
10. Native Floating Point DSP Agilex™ FPGA IP References
11. Native AI Optimized DSP Agilex™ FPGA IP References
12. Document Revision History for the Agilex™ 5 Variable Precision DSP Blocks User Guide
2.1.1. Input Register Bank for Fixed-point Arithmetic
2.1.2. Pipeline Registers for Fixed-point Arithmetic
2.1.3. Pre-adder for Fixed-point Arithmetic
2.1.4. Internal Coefficient for Fixed-point Arithmetic
2.1.5. Multipliers for Fixed-point Arithmetic
2.1.6. Adder or Subtractor for Fixed-point Arithmetic
2.1.7. Accumulator, Chainout Adder, and Preload Constant for Fixed-point Arithmetic
2.1.8. Systolic Register for Fixed-point Arithmetic
2.1.9. Double Accumulation Register for Fixed-point Arithmetic
2.1.10. Output Register Bank for Fixed-point Arithmetic
2.2.1. Input Register Bank for Floating-point Arithmetic
2.2.2. Pipeline Registers for Floating-point Arithmetic
2.2.3. Multipliers for Floating-point Arithmetic
2.2.4. Adder or Subtractor for Floating-point Arithmetic
2.2.5. Output Register Bank for Floating-point Arithmetic
2.2.6. Exception Handling for Floating-point Arithmetic
3.2.2.1. FP16 Supported Precision Formats
3.2.2.2. Sum of Two FP16 Multiplication Mode
3.2.2.3. Sum of Two FP16 Multiplication with FP32 Addition Mode
3.2.2.4. Sum of Two FP16 Multiplication with Accumulation Mode
3.2.2.5. FP16 Vector One Mode
3.2.2.6. FP16 Vector Two Mode
3.2.2.7. FP16 Vector Three Mode
5.1. Native Fixed Point DSP Agilex™ FPGA IP Release Information
5.2. Supported Operational Modes
5.3. Maximum Input Data Width for Fixed-point Arithmetic
5.4. Maximum Output Data Width for Fixed-point Arithmetic
5.5. Parameterizing Native Fixed Point DSP IP
5.6. Native Fixed Point DSP Agilex™ FPGA IP Signals
5.7. IP Migration
10.4.1. FP32 Multiplication Mode Signals
10.4.2. FP32 Addition or Subtraction Mode Signals
10.4.3. FP32 Multiplication with Addition or Subtraction Mode Signals
10.4.4. FP32 Multiplication with Accumulation Mode Signals
10.4.5. FP32 Vector One and Vector Two Modes Signals
10.4.6. Sum of Two FP16 Multiplication Mode Signals
10.4.7. Sum of Two FP16 Multiplication with FP32 Addition Mode Signals
10.4.8. Sum of Two FP16 Multiplication with Accumulation Mode Signals
10.4.9. FP16 Vector One and Vector Two Modes Signals
10.4.10. FP16 Vector Three Mode Signals
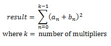
6.2.1.4. Pre-adder Square Mode
This mode is expressed in the following equation.

The following shows the pre-adder square mode of two multipliers.
Figure 77. Pre-adder Square Mode