Notes for Intel® oneAPI Math Kernel Library Vector Statistics
ID
772987
Date
6/30/2025
Public
3D Spheres Test
Birthday Spacing Test
Bitstream Test
Rank of 31x31 Binary Matrices Test
Rank of 32x32 Binary Matrices Test
Rank of 6x8 Binary Matrices Test
Count-the-1's Test (Stream of Bits)
Count-the-1's Test (Stream of Specific Bytes)
Craps Test
Parking Lot Test
Self-Avoiding Random Walk Test
Template Test
Uniform (VSL_RNG_METHOD_UNIFORM_STD/VSL_RNG_METHOD_UNIFORM_STD_ACCURATE)
Gaussian (VSL_RNG_METHOD_GAUSSIAN_BOXMULLER)
Gaussian (VSL_RNG_METHOD_GAUSSIAN_BOXMULLER2)
Gaussian (VSL_RNG_METHOD_GAUSSIAN_ICDF)
GaussianMV (VSL_RNG_METHOD_GAUSSIANMV_BOXMULLER)
GaussianMV (VSL_RNG_METHOD_GAUSSIANMV_BOXMULLER2)
GaussianMV (VSL_RNG_METHOD_GAUSSIANMV_ICDF)
Exponential (VSL_RNG_METHOD_EXPONENTIAL_ICDF/VSL_RNG_METHOD_EXPONENTIAL_ICDF_ACCURATE)
Laplace (VSL_RNG_METHOD_LAPLACE_ICDF)
Weibull (VSL_RNG_METHOD_WEIBULL_ICDF/ VSL_RNG_METHOD_WEIBULL_ICDF_ACCURATE)
Cauchy (VSL_RNG_METHOD_CAUCHY_ICDF)
Rayleigh (VSL_RNG_METHOD_RAYLEIGH_ICDF/ VSL_RNG_METHOD_RAYLEIGH_ICDF_ACCURATE)
Lognormal (VSL_RNG_METHOD_LOGNORMAL_ BOXMULLER2/VSL_RNG_METHOD_LOGNORMAL_BOXMULLER2_ACCURATE)
Lognormal (VSL_RNG_METHOD_LOGNORMAL_ICDF/VSL_RNG_METHOD_LOGNORMAL_ICDF_ACCURATE)
Gumbel (VSL_RNG_METHOD_GUMBEL_ICDF)
Gamma (VSL_RNG_METHOD_GAMMA_GNORM/ VSL_RNG_METHOD_GAMMA_GNORM_ACCURATE)
Beta (VSL_RNG_METHOD_BETA_CJA/ VSL_RNG_METHOD_BETA_CJA_ACCURATE)
ChiSquare (VSL_RNG_METHOD_CHISQUARE_CHI2GAMMA)
Uniform (VSL_RNG_METHOD_UNIFORM_STD)
UniformBits (VSL_RNG_METHOD_UNIFORMBITS_STD)
UniformBits32 (VSL_RNG_METHOD_UNIFORMBITS32_STD)
UniformBits64 (VSL_RNG_METHOD_UNIFORMBITS64_STD)
Bernoulli (VSL_RNG_METHOD_BERNOULLI_ICDF)
Geometric (VSL_RNG_METHOD_GEOMETRIC_ICDF)
Binomial (VSL_RNG_METHOD_BINOMIAL_BTPE)
Hypergeometric (VSL_RNG_METHOD_HYPERGEOMETRIC_H2PE)
Poisson (VSL_RNG_METHOD_POISSON_PTPE)
Poisson (VSL_RNG_METHOD_POISSON_POISNORM)
PoissonV (VSL_RNG_METHOD_POISSONV_POISNORM)
NegBinomial (VSL_RNG_METHOD_NEGBINOMIAL_NBAR)
Multinomial (VSL_RNG_METHOD_MULTINOMIAL_MULTPOISSON)
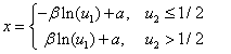
Laplace (VSL_RNG_METHOD_LAPLACE_ICDF)
Random number generator of the Laplace distribution with parameters a and β. You can generate any successive random number x of the Laplace distribution by the inverse transformation method from the formula:

where u1, u2 is a pair of successive random numbers of a uniform distribution over the interval (0, 1).
Parent topic: Continuous Distribution Random Number Generators