Developer Reference for Intel® oneAPI Math Kernel Library for C
A newer version of this document is available. Customers should click here to go to the newest version.
v?Log10
Computes the base 10 logarithm of vector elements.
Syntax
vhLog10( n, a, y );
vhLog10I(n, a, inca, y, incy);
vmhLog10( n, a, y, mode );
vmhLog10I(n, a, inca, y, incy, mode);
vsLog10( n, a, y );
vsLog10I(n, a, inca, y, incy);
vmsLog10( n, a, y, mode );
vmsLog10I(n, a, inca, y, incy, mode);
vdLog10( n, a, y );
vdLog10I(n, a, inca, y, incy);
vmdLog10( n, a, y, mode );
vmdLog10I(n, a, inca, y, incy, mode);
vcLog10( n, a, y );
vcLog10I(n, a, inca, y, incy);
vmcLog10( n, a, y, mode );
vmcLog10I(n, a, inca, y, incy, mode);
vzLog10( n, a, y );
vzLog10I(n, a, inca, y, incy);
vmzLog10( n, a, y, mode );
vmzLog10I(n, a, inca, y, incy, mode);
Include Files
- mkl.h
Input Parameters
Name |
Type |
Description |
|---|---|---|
n |
const MKL_INT |
Specifies the number of elements to be calculated. |
a |
const _Float16* for vhLog10, vmhLog10 const float* for vsLog10, vmsLog10 const double* for vdLog10, vmdLog10 const MKL_Complex8* for vcLog10, vmcLog10 const MKL_Complex16* for vzLog10, vmzLog10 |
Pointer to an array that contains the input vector a. |
inca, incy |
const MKL_INT |
Specifies increments for the elements of a and y. |
mode |
const MKL_INT64 |
Overrides global VM mode setting for this function call. See vmlSetMode for possible values and their description. |
Output Parameters
Name |
Type |
Description |
|---|---|---|
y |
_Float16* for vhLog10, vmhLog10 float* for vsLog10, vmsLog10 double* for vdLog10, vmdLog10 MKL_Complex8* for vcLog10, vmcLog10 MKL_Complex16* for vzLog10, vmzLog10 |
Pointer to an array that contains the output vector y. |
Description
The v?Log10 function computes the base 10 logarithm of vector elements.
| Argument | Result | VM Error Status | Exception |
|---|---|---|---|
| +1 | +0 | ||
| X < +0 | QNAN | VML_STATUS_ERRDOM | INVALID |
| +0 | -∞ | VML_STATUS_SING | ZERODIVIDE |
| -0 | -∞ | VML_STATUS_SING | ZERODIVIDE |
| -∞ | QNAN | VML_STATUS_ERRDOM | INVALID |
| +∞ | +∞ | ||
| QNAN | QNAN | ||
| SNAN | QNAN | INVALID |
See Special Value Notations for the conventions used in the table below.
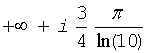
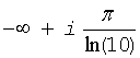
RE(z) i·IM(z) |
-∞
|
-X
|
-0
|
+0
|
+X
|
+∞
|
NAN
|
|---|---|---|---|---|---|---|---|
| +i·∞ | ![]() |
![]() |
![]() |
![]() |
![]() |
![]() |
+∞+i·QNAN INVALID |
| +i·Y | ![]() |
+∞+i·0 | QNAN+i·QNAN INVALID |
||||
| +i·0 | ![]() |
ZERODIVIDE |
-∞+i·0 ZERODIVIDE | +∞+i·0 | QNAN+i·QNAN INVALID |
||
| -i·0 | ![]() |
ZERODIVIDE |
-∞-i·0 ZERODIVIDE | +∞-i·0 | QNAN-i·QNAN INVALID |
||
| -i·Y | ![]() |
+∞-i·0 | QNAN+i·QNAN INVALID |
||||
| -i·∞ | ![]() |
![]() |
![]() |
![]() |
![]() |
![]() |
+∞+i·QNAN |
| +i·NAN | +∞+i·QNAN |
QNAN+i·QNAN INVALID |
QNAN+i·QNAN INVALID |
QNAN+i·QNAN INVALID |
QNAN+i·QNAN INVALID |
+∞+i·QNAN |
QNAN+i·QNAN INVALID |
Notes:
raises INVALID exception when real or imaginary part of the argument is SNAN




ZERODIVIDE
ZERODIVIDE
