Intel® Integrated Performance Primitives (Intel® IPP) Developer Guide and Reference
A newer version of this document is available. Customers should click here to go to the newest version.
WinKaiser
Multiplies a vector by a Kaiser windowing function.
Syntax
IppStatus ippsWinKaiser_16s(const Ipp16s* pSrc, Ipp16s* pDst, int len, Ipp32f alpha);
IppStatus ippsWinKaiser_32f(const Ipp32f* pSrc, Ipp32f* pDst, int len, Ipp32f alpha);
IppStatus ippsWinKaiser_64f(const Ipp64f* pSrc, Ipp64f* pDst, int len, Ipp64f alpha);
IppStatus ippsWinKaiser_16sc(const Ipp16sc* pSrc, Ipp16sc* pDst, int len, Ipp32f alpha);
IppStatus ippsWinKaiser_32fc(const Ipp32fc* pSrc, Ipp32fc* pDst, int len, Ipp32f alpha);
IppStatus ippsWinKaiser_64fc(const Ipp64fc* pSrc, Ipp64fc* pDst, int len, Ipp64f alpha);
IppStatus ippsWinKaiser_16s_I(Ipp16s* pSrcDst, int len, Ipp32f alpha);
IppStatus ippsWinKaiser_32f_I(Ipp32f* pSrcDst, int len, Ipp32f alpha);
IppStatus ippsWinKaiser_64f_I(Ipp64f* pSrcDst, int len, Ipp64f alpha);
IppStatus ippsWinKaiser_16sc_I(Ipp16sc* pSrcDst, int len, Ipp32f alpha);
IppStatus ippsWinKaiser_32fc_I(Ipp32fc* pSrcDst, int len, Ipp32f alpha);
IppStatus ippsWinKaiser_64fc_I(Ipp64fc* pSrcDst, int len, Ipp64f alpha);
Include Files
ipps.h
Domain Dependencies
Headers: ippcore.h, ippvm.h
Libraries: ippcore.lib, ippvm.lib
Parameters
pSrc |
Pointer to the source vector. |
pDst |
Pointer to the destination vector. |
pSrcDst |
Pointer to the source and destination vector for the in-place operation. |
alpha |
Adjustable parameter associated with the Kaiser windowing equation. |
len |
Number of elements in the vector. |
Description
This function multiplies the vector pSrc by the Kaiser window, and stores the result in pDst.
The in-place flavors of ippsWinKaiser multiply the vector pSrcDst by the Kaiser window and store the result in pSrcDst.
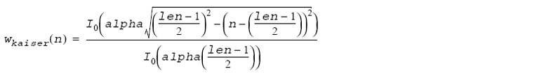
ippsWinKaiser. The function ippsWinKaiser allows the application to specify alpha. The function multiplies both real and imaginary parts of the complex vector by the same window. The Kaiser family of windows are defined as follows:

Here I0() is the modified zero-order Bessel function of the first kind.
Return Values
ippStsNoErr |
Indicates no error. |
ippStsNullPtrErr |
Indicates an error when the pDst, pSrc, or pSrcDst pointer is NULL. |
ippStsSizeErr |
Indicates an error when len is less than 1. |
ippStsHugeWinErr |
Indicates an error when the Kaiser window is too big. |
Example
The example below shows how to use the function ippsWinKaiser_32f_I.
void kaiser(void) { Ipp32f x[8]; IppStatus st; ippsSet_32f(1, x, 8); st = ippsWinKaiser_32f_I( x, 8, 1.0f ); printf_32f("kaiser(half) =", x, 4, ippStsNoErr); }
Output:
kaiser(half) = 0.135534 0.429046 0.755146 0.970290 Matlab* Analog: >> kaiser(8,7/2)'