A newer version of this document is available. Customers should click here to go to the newest version.
Model for Bit Data
The model set for bits (binary digits) interprets a binary digit w located at position k of a nonnegative integer scalar object based on a model nonnegative integer defined by the following:

The following values apply to this model set:
j is the integer value.
s is the number of bits (the length of a sequence of bits).
wk is a bit value of 0 or 1. This defines a sequence of bits ws-1...w0, with ws-1 the leftmost bit and w0 the rightmost bit. The positions of bits in the sequence are numbered from right to left, with the position of the rightmost bit being zero.
The interpretation of a negative integer as a sequence of bits is processor dependent.
The inquiry function BIT_SIZE provides the value of the parameter s of the model.
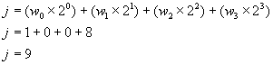
The following example shows the bit model for j = 1001 (integer 9) using a bit number (s) of 4:

