Intel® Fortran Compiler Classic and Intel® Fortran Compiler Developer Guide and Reference
ID
767251
Date
7/13/2023
Public
A newer version of this document is available. Customers should click here to go to the newest version.
Use Microsoft Visual Studio* Solution Explorer
Create a New Project
Perform Common Tasks with Microsoft Visual Studio*
Select a Version of the Intel® Fortran Compiler
Use Visual Studio* IDE Automation Objects
Specify Fortran File Extensions
Understand Solutions, Projects, and Configurations
Navigate Programmatic Components in a Fortran File
Specify Path, Library, and Include Directories
Set Compiler Options in the Microsoft Visual Studio* IDE Property Pages
Supported Build Macros
Use Manifests
Use Intel® Libraries with Microsoft Visual Studio*
Use Code Coverage in Microsoft Visual Studio*
Use Profile Guided Optimization in Microsoft Visual Studio*
Use Source Editor Enhancements in Microsoft Visual Studio*
Create the Executable Program
Convert and Copy Projects
About Fortran Project Types
Optimization Reports
Dialog Box Help
Understand Project Types
Specify Project Types with ifort Command Options
Use Fortran Console Application Projects
Use Fortran Standard Graphics Application Projects
Use Fortran QuickWin Application Projects
Use Fortran Windowing Application Projects
Use Fortran Static Library Projects
Use Fortran Dynamic-Link Library Projects
Use the Console
Create Fortran Applications That Use Windows Features
Alphabetical Option List
General Rules for Compiler Options
What Appears in the Compiler Option Descriptions
Optimization Options
Code Generation Options
Interprocedural Optimization Options
Advanced Optimization Options
Profile Guided Optimization Options
Optimization Report Options
Offload Compilation, OpenMP*, and Parallel Processing Options
Floating-Point Options
Inlining Options
Output, Debug, and Precompiled Header Options
Preprocessor Options
Component Control Options
Language Options
Data Options
Compiler Diagnostic Options
Compatibility Options
Linking or Linker Options
Miscellaneous Options
Deprecated and Removed Compiler Options
Display Option Information
Alternate Compiler Options
arch
ax, Qax
fasynchronous-unwind-tables
fcf-protection, Qcf-protection
fexceptions
fomit-frame-pointer, Oy
guard
hotpatch
m, Qm
m32, m64, Qm32, Qm64
m80387
march
masm
mauto-arch, Qauto-arch
mbranches-within-32B-boundaries, Qbranches-within-32B-boundaries
mconditional-branch, Qconditional-branch
minstruction, Qinstruction
momit-leaf-frame-pointer
mstringop-inline-threshold, Qstringop-inline-threshold
mstringop-strategy, Qstringop-strategy
mtune, tune
Qpatchable-addresses
x, Qx
xHost, QxHost
ansi-alias, Qansi-alias
coarray, Qcoarray
coarray-config-file, Qcoarray-config-file
coarray-num-images, Qcoarray-num-images
complex-limited-range, Qcomplex-limited-range
fvec-peel-loops, Qvec-peel-loops
fvec-remainder-loops, Qvec-remainder-loops
fvec-with-mask, Qvec-with-mask
guide, Qguide
guide-data-trans, Qguide-data-trans
guide-file, Qguide-file
guide-file-append, Qguide-file-append
guide-opts, Qguide-opts
guide-par, Qguide-par
guide-vec, Qguide-vec
heap-arrays
pad, Qpad
qmkl, Qmkl
qmkl-ilp64, Qmkl-ilp64
qopt-args-in-regs, Qopt-args-in-regs
qopt-assume-safe-padding, Qopt-assume-safe-padding
qopt-block-factor, Qopt-block-factor
qopt-dynamic-align, Qopt-dynamic-align
qopt-for-throughput, Qopt-for-throughput
qopt-jump-tables, Qopt-jump-tables
qopt-malloc-options
qopt-matmul, Qopt-matmul
qopt-mem-layout-trans, Qopt-mem-layout-trans
qopt-multi-version-aggressive, Qopt-multi-version-aggressive
qopt-multiple-gather-scatter-by-shuffles, Qopt-multiple-gather-scatter-by-shuffles
qopt-prefetch, Qopt-prefetch
qopt-prefetch-distance, Qopt-prefetch-distance (ifort only)
qopt-prefetch-distance, Qopt-prefetch-distance (ifx only)
qopt-prefetch-issue-excl-hint, Qopt-prefetch-issue-excl-hint
qopt-prefetch-loads-only, Qopt-prefetch-loads-only
qopt-ra-region-strategy, Qopt-ra-region-strategy
qopt-streaming-stores, Qopt-streaming-stores
qopt-subscript-in-range, Qopt-subscript-in-range
qopt-zmm-usage, Qopt-zmm-usage
qoverride-limits, Qoverride-limits
reentrancy
safe-cray-ptr, Qsafe-cray-ptr
scalar-rep, Qscalar-rep
simd, Qsimd
unroll, Qunroll
unroll-aggressive, Qunroll-aggressive
vec, Qvec
vec-guard-write, Qvec-guard-write
vec-threshold, Qvec-threshold
vecabi, Qvecabi
finstrument-functions, Qinstrument-functions
fnsplit, Qfnsplit
p
prof-data-order, Qprof-data-order
prof-dir, Qprof-dir
prof-file, Qprof-file
prof-func-groups
prof-func-order, Qprof-func-order
prof-gen, Qprof-gen
prof-hotness-threshold, Qprof-hotness-threshold
prof-src-dir, Qprof-src-dir
prof-src-root, Qprof-src-root
prof-src-root-cwd, Qprof-src-root-cwd
prof-use, Qprof-use
prof-value-profiling, Qprof-value-profiling
Qcov-dir
Qcov-file
Qcov-gen
qopt-report, Qopt-report (ifort only)
qopt-report, Qopt-report (ifx only)
qopt-report-annotate, Qopt-report-annotate
qopt-report-annotate-position, Qopt-report-annotate-position
qopt-report-embed, Qopt-report-embed
qopt-report-file, Qopt-report-file
qopt-report-filter, Qopt-report-filter
qopt-report-format, Qopt-report-format
qopt-report-help, Qopt-report-help
qopt-report-names, Qopt-report-names
qopt-report-per-object, Qopt-report-per-object
qopt-report-phase, Qopt-report-phase
qopt-report-routine, Qopt-report-routine
tcollect, Qtcollect
tcollect-filter, Qtcollect-filter
device-math-lib
fiopenmp, Qiopenmp
fmpc-privatize
fopenmp
fopenmp-declare-target-scalar-defaultmap, Qopenmp-declare-target-scalar-defaultmap
fopenmp-default-allocator, Qopenmp-default-allocator
fopenmp-device-lib
fopenmp-target-buffers, Qopenmp-target-buffers
fopenmp-target-do-concurrent, Qopenmp-target-do-concurrent
fopenmp-targets, Qopenmp-targets
fsycl
fsycl-dead-args-optimization
fsycl-device-code-split
fsycl-device-lib
fsycl-instrument-device-code
fsycl-link-huge-device-code
ftarget-compile-fast
nolibsycl
par-affinity, Qpar-affinity
par-num-threads, Qpar-num-threads
par-runtime-control, Qpar-runtime-control
par-schedule, Qpar-schedule
par-threshold, Qpar-threshold
parallel, Qparallel
parallel-source-info, Qparallel-source-info
qopenmp, Qopenmp
qopenmp-lib, Qopenmp-lib
qopenmp-link
qopenmp-simd, Qopenmp-simd
qopenmp-stubs, Qopenmp-stubs
qopenmp-threadprivate, Qopenmp-threadprivate
Qpar-adjust-stack
Xopenmp-target
fast-transcendentals, Qfast-transcendentals
fimf-absolute-error, Qimf-absolute-error
fimf-accuracy-bits, Qimf-accuracy-bits
fimf-arch-consistency, Qimf-arch-consistency
fimf-domain-exclusion, Qimf-domain-exclusion
fimf-force-dynamic-target, Qimf-force-dynamic-target
fimf-max-error, Qimf-max-error
fimf-precision, Qimf-precision
fimf-use-svml, Qimf-use-svml
fltconsistency
fma, Qfma
fp-model, fp
fp-port, Qfp-port
fp-speculation, Qfp-speculation
fp-stack-check, Qfp-stack-check
fpe
fpe-all
ftz, Qftz
Ge
mp1, Qprec
pc, Qpc
prec-div, Qprec-div
prec-sqrt, Qprec-sqrt
qsimd-honor-fp-model, Qsimd-honor-fp-model
qsimd-serialize-fp-reduction, Qsimd-serialize-fp-reduction
rcd, Qrcd
recursive
finline
finline-functions
finline-limit
inline
inline-factor, Qinline-factor
inline-forceinline, Qinline-forceinline
inline-level, Ob
inline-max-per-compile, Qinline-max-per-compile
inline-max-per-routine, Qinline-max-per-routine
inline-max-size, Qinline-max-size
inline-max-total-size, Qinline-max-total-size
inline-min-caller-growth, Qinline-min-caller-growth
inline-min-size, Qinline-min-size
Qinline-dllimport
bintext
c
debug (Linux* and macOS)
debug (Windows*)
debug-parameters
exe
Fa
FA
fcode-asm
Fd
feliminate-unused-debug-types, Qeliminate-unused-debug-types
fmerge-constants
fmerge-debug-strings
fsource-asm
ftrapuv, Qtrapuv
fverbose-asm
g
gdwarf
grecord-gcc-switches
gsplit-dwarf
list
list-line-len
list-page-len
map-opts, Qmap-opts
o
object
pdbfile
print-multi-lib
Quse-msasm-symbols
S
show
use-asm, Quse-asm
Zi, Z7
Zo
align
auto
auto-scalar, Qauto-scalar
convert
double-size
dyncom, Qdyncom
falign-functions, Qfnalign
falign-loops, Qalign-loops
falign-stack
fcommon
fkeep-static-consts, Qkeep-static-consts
fmath-errno
fminshared
fpconstant
fpic
fpie
fstack-protector
fstack-security-check
fvisibility
fzero-initialized-in-bss, Qzero-initialized-in-bss
Gs
GS
homeparams
init, Qinit
intconstant
integer-size
mcmodel
mdynamic-no-pic
no-bss-init, Qnobss-init
Qsfalign
real-size
save, Qsave
zero, Qzero
4Nportlib, 4Yportlib
Bdynamic
Bstatic
Bsymbolic
Bsymbolic-functions
cxxlib
dbglibs
dll
dynamic-linker
dynamiclib
extlnk
F (Windows*)
F (macOS)
fuse-ld
l
L
libs
link
map
MD
MDs
MT
nodefaultlibs
nofor-main
no-intel-lib, Qno-intel-lib
nostartfiles
nostdlib
pie
pthread
shared
shared-intel
shared-libgcc
static
static-intel
static-libgcc
static-libstdc++
staticlib
T
threads
v
Wa
winapp
Wl
Wp
Xlinker
Create Static Libraries
Create Shared Libraries on Linux and macOS
Use Shared Libraries on macOS
Call Library Routines
Comparison of Intel® Visual Fortran and Windows API Routines
Specify Consistent Library Types on Windows
Redistribute Libraries When Deploying Applications
Resolve References to Shared Libraries
Store Object Code in Static Libraries
Store Routines in Shareable Libraries
Use Windows API Routines
Math Libraries
Logical Devices
Physical Devices on Windows
Types of I/O Statements
Forms of I/O Statements
Assign Files to Logical Units
File Organization
Internal Files and Scratch Files
File Access and File Structure
File Records
Record Types
Record Length
Record Access
Record Transfer
Specify Default Pathnames and File Names
Open Files: OPEN Statement
Obtain File Information: INQUIRE Statement
Close Files: CLOSE Statement
Record I/O Statement Specifiers
File Sharing on Linux and macOS
Specify the Initial Record Position
Advancing and Nonadvancing Record I/O
Use USEROPEN to Pass Control To a Routine
Microsoft Fortran PowerStation Compatible Files
Use Asynchronous I/O
Mixed-Language Issues
Call Subprograms from the Main Program on Windows
Pass Arguments in Mixed-Language Programming
Stack Considerations in Calling Conventions on Windows
Naming Conventions
C/C++ Naming Conventions
Compile and Link Intel® Fortran and C Programs
Build Intel® Fortran and C Mixed-Language Programs on Windows
Understand Runtime Errors
Runtime Default Error Processing
Runtime Message Display and Format
Values Returned at Program Termination
Methods of Handling Errors
Locate Runtime Errors
List of Runtime Error Messages
Signal Handling on Linux* and macOS
Override the Default Runtime Library Exception Handler
Advanced Exception and Termination Handling
New Language Features
New Features for ifx
Language Reference Conventions
Program Elements and Source Forms
Data Types, Constants, and Variables
Expressions and Assignment Statements
Specification Statements
Dynamic Allocation
Execution Control
Program Units and Procedures
Intrinsic Procedures
Data Transfer I/O Statements
I/O Formatting
File Operation I/O Statements
Compilation Control Lines and Statements
Directive Enhanced Compilation
Scope and Association
Deleted and Obsolescent Language Features
Additional Language Features
Additional Character Sets
Data Representation Models
Library Modules and Runtime Library Routines
Summary of Language Extensions
A to Z Reference
Glossary
Main Program
Procedure Characteristics
Modules and Module Procedures
Intrinsic Modules
Block Data Program Units Overview
Functions, Subroutines, and Statement Functions
External Procedures
Internal Procedures
Argument Association in Procedures
Procedure Interfaces
Interoperability of Procedures and Procedure Interfaces
Procedure Pointers
Optional Arguments
Array Arguments
Pointer Arguments
Passed-Object Dummy Arguments
Assumed-Length Character Arguments
Character Constant and Hollerith Arguments
Alternate Return Arguments
Dummy Procedure Arguments
Coarray Dummy Arguments
References to Generic Procedures
References to Non-Fortran Procedures
Unit Specifier (UNIT=)
Format Specifier (FMT=)
Namelist Specifier (NML=)
Record Specifier (REC=)
I/O Status Specifier (IOSTAT=)
Branch Specifiers (END=, EOR=, ERR=)
Advance Specifier (ADVANCE=)
Asynchronous Specifier (ASYNCHRONOUS=)
Character Count Specifier (SIZE=)
ID Specifier (ID=)
POS Specifier (POS=)
I/O Message Specifier (IOMSG=)
INQUIRE: ACCESS Specifier
INQUIRE: ACTION Specifier
INQUIRE: ASYNCHRONOUS Specifier
INQUIRE: BINARY Specifier
INQUIRE: BLANK Specifier
INQUIRE: BLOCKSIZE Specifier
INQUIRE: BUFFERED Specifier
INQUIRE: CARRIAGECONTROL Specifier
INQUIRE: CONVERT Specifier
INQUIRE: DECIMAL Specifier
INQUIRE: DELIM Specifier
INQUIRE: DIRECT Specifier
INQUIRE: ENCODING Specifier
INQUIRE: EXIST Specifier
INQUIRE: FORM Specifier
INQUIRE: FORMATTED Specifier
INQUIRE: IOFOCUS Specifier
INQUIRE: MODE Specifier
INQUIRE: NAME Specifier
INQUIRE: NAMED Specifier
INQUIRE: NEXTREC Specifier
INQUIRE: NUMBER Specifier
INQUIRE: OPENED Specifier
INQUIRE: ORGANIZATION Specifier
INQUIRE: PAD Specifier
INQUIRE: PENDING Specifier
INQUIRE: POS Specifier
INQUIRE: POSITION Specifier
INQUIRE: READ Specifier
INQUIRE: READWRITE Specifier
INQUIRE: RECL Specifier
INQUIRE: RECORDTYPE Specifier
INQUIRE: ROUND Specifier
INQUIRE: SEQUENTIAL Specifier
INQUIRE: SHARE Specifier
INQUIRE: SIGN Specifier
INQUIRE: SIZE Specifier
INQUIRE: UNFORMATTED Specifier
INQUIRE: WRITE Specifier
OPEN: ACCESS Specifier
OPEN: ACTION Specifier
OPEN: ASSOCIATEVARIABLE Specifier
OPEN: ASYNCHRONOUS Specifier
OPEN: BLANK Specifier
OPEN: BLOCKSIZE Specifier
OPEN: BUFFERCOUNT Specifier
OPEN: BUFFERED Specifier
OPEN: CARRIAGECONTROL Specifier
OPEN: CONVERT Specifier
OPEN: DECIMAL Specifier
OPEN: DEFAULTFILE Specifier
OPEN: DELIM Specifier
OPEN: DISPOSE Specifier
OPEN: ENCODING Specifier
OPEN: FILE Specifier
OPEN: FORM Specifier
OPEN: IOFOCUS Specifier
OPEN: MAXREC Specifier
OPEN: MODE Specifier
OPEN: NAME Specifier
OPEN: NEWUNIT Specifier
OPEN: NOSHARED Specifier
OPEN: ORGANIZATION Specifier
OPEN: PAD Specifier
OPEN: POSITION Specifier
OPEN: READONLY Specifier
OPEN: RECL Specifier
OPEN: RECORDSIZE Specifier
OPEN: RECORDTYPE Specifier
OPEN: ROUND Specifier
OPEN: SHARE Specifier
OPEN: SHARED Specifier
OPEN: SIGN Specifier
OPEN: STATUS Specifier
OPEN: TITLE Specifier
OPEN: TYPE Specifier
OPEN: USEROPEN Specifier
FORTRAN 66 Interpretation of the EXTERNAL Statement
Alternative Syntax for the PARAMETER Statement
Alternative Syntax for Binary, Octal, and Hexadecimal Constants
Alternative Syntax for a Record Specifier
Alternative Syntax for the DELETE Statement
Alternative Form for Namelist External Records
Record Structures
Language Extensions: Source Forms
Language Extensions: Names
Language Extensions: Character Sets
Language Extensions: Intrinsic Data Types
Language Extensions: Constants
Language Extensions: Expressions and Assignment
Language Extensions: Specification Statements
Language Extensions: Execution Control
Language Extensions: Compilation Control Lines and Statements
Language Extensions: Built-In Functions
Language Extensions: I/O Statements
Language Extensions: I/O Formatting
Language Extensions: File Operation Statements
Language Extensions: Compiler Directives
Language Extensions: Intrinsic Procedures
Language Extensions: Additional Language Features
Language Extensions: Runtime Library Routines
Language Summary Tables
A to B
C to D
E to F
G
H to I
J to L
M to N
O to P
Q to R
S
T to Z
POSIX* Library Routines
Automation Server and Component Object Model Library Routines
National Language Support Library Routines
QuickWin Library Routines
Graphics Library Routines
Serial Port I/O Library Routines
Dialog Library Routines
Statements for Program Unit Calls and Definitions
Statements Affecting Variables
Statements for Input and Output
Compiler Directives
Program Control Statements
Inquiry Intrinsic Functions
Random Number Intrinsic Procedures
Atomic Intrinsic Subroutines
Collective Intrinsic Subroutines
Date and Time Intrinsic Subroutines
Keyboard and Speaker Library Routines
Statements and Intrinsic Procedures for Memory Allocation and Deallocation
Intrinsic Functions for Arrays
Intrinsic Functions for Numeric and Type Conversion
Trigonometric, Exponential, Root, and Logarithmic Intrinsic Procedures
Intrinsic Functions for Floating-Point Inquiry and Control
Character Intrinsic Functions
Intrinsic Procedures for Bit Operation and Representation
QuickWin Library Routines Summary
Graphics Library Routines Summary
Portability Library Routines
National Language Support Library Routines Summary
POSIX* Library Procedures Summary
Dialog Library Routines Summary
COM and Automation Library Routines (W*S)
Miscellaneous Runtime Library Routines
ABORT
ABS
ABSTRACT INTERFACE
ACCEPT
ACCESS Function
ACHAR
ACOS
ACOSD
ACOSH
ADJUSTL
ADJUSTR
AIMAG
AINT
ALARM
ALIAS Directive
ALIGNED Clause
ALL
ALLOCATABLE
ALLOCATE Clause
ALLOCATE Directive
ALLOCATE Statement
ALLOCATORS
ALLOCATED
ANINT
ANY
ASIN
ASIND
ASINH
ASSIGN - Label Assignment
Assignment(=) - Defined Assignment
Assignment - Intrinsic Computational
ASSOCIATE
ASSOCIATED
ASSUME
ASSUME_ALIGNED
ASSUMES Directive for OpenMP
ASSUMPTION Clause
ASYNCHRONOUS
ATAN
ATAN2
ATAN2D
ATAND
ATANH
ATOMIC
ATOMIC_ADD
ATOMIC_AND
ATOMIC_CAS
ATOMIC_DEFINE
ATOMIC_FETCH_ADD
ATOMIC_FETCH_AND
ATOMIC_FETCH_OR
ATOMIC_FETCH_XOR
ATOMIC_OR
ATOMIC_REF
ATOMIC_XOR
ATTRIBUTES
AUTOMATIC
BACKSPACE
BADDRESS
BARRIER
BEEPQQ
BESJ0, BESJ1, BESJN, BESY0, BESY1, BESYN
BESSEL_J0
BESSEL_J1
BESSEL_JN
BESSEL_Y0
BESSEL_Y1
BESSEL_YN
BGE
BGT
BIC, BIS
BIND
BIT
BIT_SIZE
BLE
BLOCK
BLOCK DATA
BLOCK_LOOP and NOBLOCK_LOOP
BLT
BSEARCHQQ
BTEST
BYTE
ATTRIBUTES ALIAS
ATTRIBUTES ALIGN
ATTRIBUTES ALLOCATABLE
ATTRIBUTES ALLOW_NULL
ATTRIBUTES C and STDCALL
ATTRIBUTES CODE_ALIGN
ATTRIBUTES CONCURRENCY_SAFE
ATTRIBUTES CVF
ATTRIBUTES DECORATE
ATTRIBUTES DEFAULT
ATTRIBUTES DLLEXPORT and DLLIMPORT
ATTRIBUTES EXTERN
ATTRIBUTES INLINE, NOINLINE, and FORCEINLINE
ATTRIBUTES IGNORE_LOC
ATTRIBUTES MIXED_STR_LEN_ARG and NOMIXED_STR_LEN_ARG
ATTRIBUTES NO_ARG_CHECK
ATTRIBUTES NOCLONE
ATTRIBUTES OPTIMIZATION_PARAMETER
ATTRIBUTES REFERENCE and VALUE
ATTRIBUTES VARYING
ATTRIBUTES VECTOR
C_ASSOCIATED
C_F_POINTER
C_F_PROCPOINTER
C_FUNLOC
C_LOC
C_SIZEOF
CACHESIZE
CALL
CANCEL
CANCELLATION POINT
CASE
CDFLOAT
CEILING
CFI_address
CFI_allocate
CFI_deallocate
CFI_establish
CFI_is_contiguous
CFI_section
CFI_select_part
CFI_setpointer
CHANGEDIRQQ
CHANGEDRIVEQQ
CHANGE TEAM and END TEAM
CHAR
CHARACTER
CHDIR
CHMOD
CLASS
CLEARSTATUSFPQQ
CLOCK
CLOCKX
CLOSE
CMPLX
CO_BROADCAST
CO_MAX
CO_MIN
CO_REDUCE
CO_SUM
CODE_ALIGN
CODIMENSION
COLLAPSE Clause
COMMAND_ARGUMENT_COUNT
COMMITQQ
COMMON
COMPILER_OPTIONS
COMPILER_VERSION
COMPLEX Statement
COMPLINT, COMPLREAL, COMPLLOG
CONJG
CONTAINS
CONTIGUOUS
CONTINUE
COPYIN Clause
COPYPRIVATE Clause
COS
COSD
COSH
COSHAPE
COTAN
COTAND
COUNT
CPU_TIME
CRITICAL Directive
CRITICAL Statement
CSHIFT
CSMG
CTIME
CYCLE
DATA
DATE Intrinsic Procedure
DATE Portability Routine
DATE4
DATE_AND_TIME
DBESJ0, DBESJ1, DBESJN, DBESY0, DBESY1, DBESYN
DBLE
DCLOCK
DCMPLX
DEALLOCATE
DECLARE and NODECLARE
DECLARE MAPPER
DECLARE REDUCTION
DECLARE SIMD
DECLARE TARGET
DECLARE VARIANT
DECODE
DEFAULT Clause
DEFINE and UNDEFINE
DEFINE FILE
DELDIRQQ
DELETE
DELFILESQQ
DEPEND Clause
DEPOBJ
DEVICE Clause
DFLOAT
DFLOATI, DFLOATJ, DFLOATK
DIGITS
DIM
DIMENSION
DISPATCH
DISTRIBUTE
DISTRIBUTE PARALLEL DO
DISTRIBUTE PARALLEL DO SIMD
DISTRIBUTE POINT
DISTRIBUTE SIMD
DNUM
DO Directive
DO Statement
DO CONCURRENT
DO SIMD
DO WHILE
DOT_PRODUCT
DOUBLE COMPLEX
DOUBLE PRECISION
DPROD
DRAND, DRANDM
DRANSET
DREAL
DSHIFTL
DSHIFTR
DTIME
ELEMENTAL
ELSE Directive
ELSE Statement
ELSEIF Directive
ELSE IF
ELSE WHERE
ENCODE
END
END DO
ENDIF Directive
END IF
ENDFILE
END FORALL
END INTERFACE
END TYPE
END WHERE
ENTRY
EOF
EOSHIFT
EPSILON
EQUIVALENCE
ERF
ERFC
ERFC_SCALED
ERROR Directive for OpenMP
ERRSNS
ESTABLISHQQ
ETIME
EVENT POST and EVENT WAIT
EVENT_QUERY
EXECUTE_COMMAND_LINE
EXIT Statement
EXIT Subroutine
EXP
EXP10
EXPONENT
EXTENDS_TYPE_OF
EXTERNAL
FAIL IMAGE
FAILED_IMAGES
FDATE
FGETC
FINAL Clause
FINAL Statement
FIND
FINDLOC
FINDFILEQQ
FIRSTPRIVATE
FIXEDFORMLINESIZE
FLOAT
FLOOR
FLUSH Directive
FLUSH Statement
FLUSH Subroutine
FMA and NOFMA
FOR__SET_FTN_ALLOC
FOR_DESCRIPTOR_ASSIGN
FOR_GET_FPE
FOR_IFCORE_VERSION
FOR_IFPORT_VERSION
FOR_LFENCE
FOR_MFENCE
for_rtl_finish_
for_rtl_init_
FOR_SET_FPE
FOR_SET_REENTRANCY
FOR_SFENCE
FORALL
FORMAT
FORM TEAM
FP_CLASS
FPUTC
FRACTION
FREE
FREEFORM and NOFREEFORM
FSEEK
FSTAT
FTELL, FTELLI8
FULLPATHQQ
FUNCTION
GAMMA
Results
Example
GENERIC
GERROR
GETARG
GETC
GETCHARQQ
GET_COMMAND
GET_COMMAND_ARGUMENT
GETCONTROLFPQQ
GETCWD
GETDAT
GETDRIVEDIRQQ
GETDRIVESIZEQQ
GETDRIVESQQ
GETENV
GET_ENVIRONMENT_VARIABLE
GETENVQQ
GETEXCEPTIONPTRSQQ
GETFILEINFOQQ
GETGID
GETLASTERROR
GETLASTERRORQQ
GETLOG
GETPID
GETPOS, GETPOSI8
GETSTATUSFPQQ
GETSTRQQ
GET_TEAM
GETTIM
GETTIMEOFDAY
GETUID
GMTIME
GOTO - Assigned
GOTO - Computed
GOTO - Unconditional
HOSTNAM
HUGE
HYPOT
IACHAR
IALL
IAND
IANY
IARGC
IBCHNG
IBCLR
IBITS
IBSET
ICHAR
IDATE Intrinsic Procedure
IDATE Portability Routine
IDATE4
IDENT
IDFLOAT
IEEE_CLASS
IEEE_COPY_SIGN
IEEE_FLAGS
IEEE_FMA
IEEE_GET_FLAG
IEEE_GET_HALTING_MODE
IEEE_GET_MODES
IEEE_GET_ROUNDING_MODE
IEEE_GET_STATUS
IEEE_GET_UNDERFLOW_MODE
IEEE_HANDLER
IEEE_INT
IEEE_IS_FINITE
IEEE_IS_NAN
IEEE_IS_NEGATIVE
IEEE_IS_NORMAL
IEEE_LOGB
IEEE_MAX_NUM
IEEE_MAX_NUM_MAG
IEEE_MIN_NUM
IEEE_MIN_NUM_MAG
IEEE_NEXT_AFTER
IEEE_NEXT_DOWN
IEEE_NEXT_UP
IEEE_QUIET_EQ
IEEE_QUIET_GE
IEEE_QUIET_GT
IEEE_QUIET_LE
IEEE_QUIET_LT
IEEE_QUIET_NE
IEEE_REAL
IEEE_REM
IEEE_RINT
IEEE_SCALB
IEEE_SELECTED_REAL_KIND
IEEE_SET_FLAG
IEEE_SET_HALTING_MODE
IEEE_SET_MODES
IEEE_SET_ROUNDING_MODE
IEEE_SET_STATUS
IEEE_SET_UNDERFLOW_MODE
IEEE_SIGNALING_EQ
IEEE_SIGNALING_GE
IEEE_SIGNALING_GT
IEEE_SIGNALING_LE
IEEE_SIGNALING_LT
IEEE_SIGNALING_NE
IEEE_SIGNBIT
IEEE_SUPPORT_DATATYPE
IEEE_SUPPORT_DENORMAL
IEEE_SUPPORT_DIVIDE
IEEE_SUPPORT_FLAG
IEEE_SUPPORT_HALTING
IEEE_SUPPORT_INF
IEEE_SUPPORT_IO
IEEE_SUPPORT_NAN
IEEE_SUPPORT_ROUNDING
IEEE_SUPPORT_SQRT
IEEE_SUPPORT_STANDARD
IEEE_SUPPORT_SUBNORMAL
IEEE_SUPPORT_UNDERFLOW_CONTROL
IEEE_UNORDERED
IEEE_VALUE
IEOR
IERRNO
IF - Arithmetic
IF - Logical
IF Clause
IF Construct
IF Directive Construct
IF DEFINED Directive
IFIX
IFLOATI, IFLOATJ
ILEN
IMAGE_INDEX
IMAGE_STATUS
IMPLICIT
IMPORT
IMPURE
IN_REDUCTION
INCLUDE
INDEX
INLINE, FORCEINLINE, and NOINLINE
INMAX
INQUIRE
INT
INTC
INT_PTR_KIND
INTEGER Statement
INTEGER Directive
INTENT
INTERFACE
INTERFACE TO
INTEROP
INTRINSIC
INUM
IOR
IPARITY
IRAND, IRANDM
IRANGET
IRANSET
IS_CONTIGUOUS
IS_DEVICE_PTR Clause
IS_IOSTAT_END
IS_IOSTAT_EOR
ISATTY
ISHA
ISHC
ISHFT
ISHFTC
ISHL
ISNAN
ITERATOR Clause Modifier
ITIME
IVDEP
MAKEDIRQQ
MALLOC
MAP Clause
MAP and END MAP
MASKED
MASKED TASKLOOP
MASKED TASKLOOP SIMD
MASKL
MASKR
MASTER
MASTER TASKLOOP
MASTER TASKLOOP SIMD
MATMUL
MAX
MAXEXPONENT
MAXLOC
MAXVAL
MCLOCK
MERGE
MERGE_BITS
MERGEABLE Clause
MESSAGE
MIN
MINEXPONENT
MINLOC
MINVAL
MM_PREFETCH
MOD
MODULE
MODULE FUNCTION
MODULE PROCEDURE
MODULE SUBROUTINE
MODULO
MOVE_ALLOC
MVBITS
NAMELIST
NARGS
NEAREST
NEW_LINE
NINT
NOFREEFORM
NOFUSION
NON_RECURSIVE
NOOPTIMIZE
NOPREFETCH
NORM2
NOSTRICT
NOT
NOTHING
NOUNROLL
NOUNROLL_AND_JAM
NOVECTOR
NOWAIT Clause
NULL
NULLIFY
NUM_IMAGES
OBJCOMMENT
OPEN
OPTIONAL
OPTIMIZE and NOOPTIMIZE
OPTIONS Directive
OPTIONS Statement
OR
ORDERED
OUT_OF_RANGE
PACK Directive
PACK Function
PACKTIMEQQ
PARALLEL Directive for OpenMP
PARALLEL and NOPARALLEL General Directives
PARALLEL DO
PARALLEL DO SIMD
PARALLEL LOOP
PARALLEL MASKED
PARALLEL MASKED TASKLOOP
PARALLEL MASKED TASKLOOP SIMD
PARALLEL MASTER
PARALLEL MASTER TASKLOOP
PARALLEL MASTER TASKLOOP SIMD
PARALLEL SECTIONS
PARALLEL WORKSHARE
PARAMETER
PARITY
PAUSE
PEEKCHARQQ
PERROR
POINTER - Fortran
POINTER - Integer
POPCNT
POPPAR
PRECISION
PREFETCH and NOPREFETCH General Directives
PREFETCH Directive for OpenMP
PRESENT
PRINT
PRIORITY
PRIVATE Clause
PRIVATE Statement
PROCEDURE
PROCESSOR Clause
PRODUCT
PROGRAM
PROTECTED
PSECT
PUBLIC
PURE
PUTC
QCMPLX
QEXT
QFLOAT
QNUM
QRANSET
QREAL
QSORT
RADIX
RAISEQQ
RAN
RAND, RANDOM
RANDOM Subroutine
RANDOM_INIT
RANDOM_NUMBER
RANDOM_SEED
RANDU
RANF Intrinsic Procedure
RANF Portability Routine
RANGE
RANGET
RANK
RANSET
READ Statement
REAL Directive
REAL Function
REAL Statement
RECORD
RECURSIVE and NON_RECURSIVE
REDUCE
REDUCTION
%REF
RENAME
RENAMEFILEQQ
REPEAT
REQUIRES
RESHAPE
RESULT
RETURN
REWIND
REWRITE
RINDEX
RNUM
RRSPACING
RSHIFT
RTC
RUNQQ
SAME_TYPE_AS
SAVE
SCALE
SCAN Directive
SCAN Function
SCANENV
SCOPE
SCWRQQ
SECNDS Intrinsic Procedure
SECNDS Portability Routine
SECTIONS
SEED
SELECT CASE and END SELECT
SELECT RANK
SELECT TYPE
SELECTED_CHAR_KIND
SELECTED_INT_KIND
SELECTED_REAL_KIND
SEQUENCE
SETCONTROLFPQQ
SETDAT
SETENVQQ
SETERRORMODEQQ
SET_EXPONENT
SETFILEACCESSQQ
SETFILETIMEQQ
SETTIM
SHAPE
SHARED Clause
SHIFTA
SHIFTL
SHIFTR
SHORT
SIGN
SIGNAL
SIGNALQQ
SIMD Directive for OpenMP
SIMD Loop Directive
SIN
SIND
SINGLE
SINH
SIZE Function
SIZEOF
SLEEP
SLEEPQQ
SNGL
SORTQQ
SPACING
SPLITPATHQQ
SPREAD
SQRT
SRAND
SSWRQQ
STAT
Statement Function
STATIC
STOP and ERROR STOP
STOPPED_IMAGES
STORAGE_SIZE
STRICT and NOSTRICT
STRUCTURE and END STRUCTURE
SUBDEVICE
SUBMODULE
SUBROUTINE
SUM
SYNC ALL
SYNC IMAGES
SYNC MEMORY
SYNC TEAM
SYSTEM
SYSTEM_CLOCK
SYSTEMQQ
TAN
TAND
TANH
TARGET
TARGET DATA
TARGET Statement
TARGET ENTER DATA
TARGET EXIT DATA
TARGET PARALLEL
TARGET PARALLEL DO
TARGET PARALLEL DO SIMD
TARGET PARALLEL LOOP
TARGET SIMD
TARGET TEAMS
TARGET TEAMS DISTRIBUTE
TARGET TEAMS DISTRIBUTE PARALLEL DO
TARGET TEAMS DISTRIBUTE PARALLEL DO SIMD
TARGET TEAMS DISTRIBUTE SIMD
TARGET TEAMS LOOP
TARGET UPDATE
TARGET VARIANT DISPATCH
TASK
TASK_REDUCTION
TASKGROUP
TASKLOOP
TASKLOOP SIMD
TASKWAIT
TASKYIELD
TEAM_NUMBER
TEAMS
TEAMS DISTRIBUTE
TEAMS DISTRIBUTE PARALLEL DO
TEAMS DISTRIBUTE PARALLEL DO SIMD
TEAMS DISTRIBUTE SIMD
TEAMS LOOP
THIS_IMAGE
THREADPRIVATE
TILE
TIME Intrinsic Procedure
TIME Portability Routine
TIMEF
TINY
TRACEBACKQQ
TRAILZ
TRANSFER
TRANSPOSE
TRIM
TTYNAM
Type Declarations
TYPE Statement for Derived Types)
UBOUND
UCOBOUND
UNDEFINE
UNION and END UNION
UNLINK
UNPACK
UNPACKTIMEQQ
UNROLL Directive for OpenMP
UNROLL and NOUNROLL General Directives
UNROLL_AND_JAM and NOUNROLL_AND_JAM
UNTIED Clause
USE
USE_DEVICE_PTR Clause
%VAL
VALUE
VECREMAINDER Clause
VECTOR and NOVECTOR
VERIFY
VIRTUAL
VOLATILE
WAIT
WHERE
WORKSHARE
WRITE Statement
XOR
ZEXT
IPXFARGC
IPXFCONST
IPXFLENTRIM
IPXFWEXITSTATUS
IPXFWSTOPSIG
IPXFWTERMSIG
PXFGET
PXFSET
PXFAGET
PXFASET
PXFACCESS
PXFALARM
PXFCALLSUBHANDLE
PXFCFGETISPEED
PXFCFGETOSPEED
PXFCFSETISPEED
PXFCFSETOSPEED
PXFCHDIR
PXFCHMOD
PXFCHOWN
PXFCLEARENV
PXFCLOSE
PXFCLOSEDIR
PXFCONST
PXFCREAT
PXFCTERMID
PXFDUP, PXFDUP2
PXFEGET
PXFESET
PXFEXECV
PXFEXECVE
PXFEXECVP
PXFEXIT, PXFFASTEXIT
PXFFCNTL
PXFFDOPEN
PXFFFLUSH
PXFFGETC
PXFFILENO
PXFFORK
PXFFPATHCONF
PXFFPUTC
PXFFSEEK
PXFFSTAT
PXFFTELL
PXFGETARG
PXFGETC
PXFGETCWD
PXFGETEGID
PXFGETENV
PXFGETEUID
PXFGETGID
PXFGETGRGID
PXFGETGRNAM
PXFGETGROUPS
PXFGETLOGIN
PXFGETPGRP
PXFGETPID
PXFGETPPID
PXFGETPWNAM
PXFGETPWUID
PXFGETSUBHANDLE
PXFGETUID
PXFISATTY
PXFISBLK
PXFISCHR
PXFISCONST
PXFISDIR
PXFISFIFO
PXFISREG
PXFKILL
PXFLINK
PXFLOCALTIME
PXFLSEEK
PXFMKDIR
PXFMKFIFO
PXFOPEN
PXFOPENDIR
PXFPATHCONF
PXFPAUSE
PXFPIPE
PXFPOSIXIO
PXFPUTC
PXFREAD
PXFREADDIR
PXFRENAME
PXFREWINDDIR
PXFRMDIR
PXFSETENV
PXFSETGID
PXFSETPGID
PXFSETSID
PXFSETUID
PXFSIGACTION
PXFSIGADDSET
PXFSIGDELSET
PXFSIGEMPTYSET
PXFSIGFILLSET
PXFSIGISMEMBER
PXFSIGPENDING
PXFSIGPROCMASK
PXFSIGSUSPEND
PXFSLEEP
PXFSTAT
PXFSTRUCTCOPY
PXFSTRUCTCREATE
PXFSTRUCTFREE
PXFSYSCONF
PXFTCDRAIN
PXFTCFLOW
PXFTCFLUSH
PXFTCGETATTR
PXFTCGETPGRP
PXFTCSENDBREAK
PXFTCSETATTR
PXFTCSETPGRP
PXFTIME
PXFTIMES
PXFTTYNAME
PXFUCOMPARE
PXFUMASK
PXFUNAME
PXFUNLINK
PXFUTIME
PXFWAIT
PXFWAITPID
PXFWIFEXITED
PXFWIFSIGNALED
PXFWIFSTOPPED
PXFWRITE
AUTOAddArg
AUTOAllocateInvokeArgs
AUTODeallocateInvokeArgs
AUTOGetExceptInfo
AUTOGetProperty
AUTOGetPropertyByID
AUTOGetPropertyInvokeArgs
AUTOInvoke
AUTOSetProperty
AUTOSetPropertyByID
AUTOSetPropertyInvokeArgs
COMAddObjectReference
COMCLSIDFromProgID
COMCLSIDFromString
COMCreateObject
COMCreateObjectByGUID
COMCreateObjectByProgID
COMGetActiveObjectByGUID
COMGetActiveObjectByProgID
COMGetFileObject
COMInitialize
COMIsEqualGUID
COMQueryInterface
COMReleaseObject
COMStringFromGUID
COMUninitialize
MBCharLen
MBConvertMBToUnicode
MBConvertUnicodeToMB
MBCurMax
MBINCHARQQ
MBINDEX
MBJISToJMS, MBJMSToJIS
MBLead
MBLen
MBLen_Trim
MBLGE, MBLGT, MBLLE, MBLLT, MBLEQ, MBLNE
MBNext
MBPrev
MBSCAN
MBStrLead
MBVERIFY
NLSEnumCodepages
NLSEnumLocales
NLSFormatCurrency
NLSFormatDate
NLSFormatNumber
NLSFormatTime
NLSGetEnvironmentCodepage
NLSGetLocale
NLSGetLocaleInfo
NLSSetEnvironmentCodepage
NLSSetLocale
ABOUTBOXQQ
APPENDMENUQQ
CLICKMENUQQ
DELETEMENUQQ
FOCUSQQ
GETACTIVEQQ
GETEXITQQ
GETHWNDQQ
GETUNITQQ
GETWINDOWCONFIG
GETWSIZEQQ
INCHARQQ
INITIALSETTINGS
INQFOCUSQQ
INSERTMENUQQ
INTEGERTORGB
MESSAGEBOXQQ
MODIFYMENUFLAGSQQ
MODIFYMENUROUTINEQQ
MODIFYMENUSTRINGQQ
PASSDIRKEYSQQ
REGISTERMOUSEEVENT
RGBTOINTEGER
SETACTIVEQQ
SETEXITQQ
SETMESSAGEQQ
SETMOUSECURSOR
SETWINDOWCONFIG
SETWINDOWMENUQQ
SETWSIZEQQ
UNREGISTERMOUSEEVENT
WAITONMOUSEEVENT
ARC, ARC_W
CLEARSCREEN
DISPLAYCURSOR
ELLIPSE, ELLIPSE_W
FLOODFILL, FLOODFILL_W
FLOODFILLRGB, FLOODFILLRGB_W
GETARCINFO
GETBKCOLOR
GETBKCOLORRGB
GETCOLOR
GETCOLORRGB
GETCURRENTPOSITION, GETCURRENTPOSITION_W
GETFILLMASK
GETFONTINFO
GETGTEXTEXTENT
GETGTEXTROTATION
GETIMAGE, GETIMAGE_W
GETLINESTYLE
GETLINEWIDTHQQ
GETPHYSCOORD
GETPIXEL, GETPIXEL_W
GETPIXELRGB, GETPIXELRGB_W
GETPIXELS
GETPIXELSRGB
GETTEXTCOLOR
GETTEXTCOLORRGB
GETTEXTPOSITION
GETTEXTWINDOW
GETVIEWCOORD, GETVIEWCOORD_W
GETWINDOWCOORD
GETWRITEMODE
GRSTATUS
IMAGESIZE, IMAGESIZE_W
INITIALIZEFONTS
LINETO, LINETO_W
LINETOAR
LINETOAREX
LOADIMAGE, LOADIMAGE_W
MOVETO, MOVETO_W
OUTGTEXT
OUTTEXT
PIE, PIE_W
POLYBEZIER, POLYBEZIER_W
POLYBEZIERTO, POLYBEZIERTO_W
POLYGON, POLYGON_W
POLYLINEQQ
PUTIMAGE, PUTIMAGE_W
RECTANGLE, RECTANGLE_W
REMAPALLPALETTERGB, REMAPPALETTERGB
SAVEIMAGE, SAVEIMAGE_W
SCROLLTEXTWINDOW
SETBKCOLOR
SETBKCOLORRGB
SETCLIPRGN
SETCOLOR
SETCOLORRGB
SETFILLMASK
SETFONT
SETGTEXTROTATION
SETLINESTYLE
SETLINEWIDTHQQ
SETPIXEL, SETPIXEL_W
SETPIXELRGB, SETPIXELRGB_W
SETPIXELS
SETPIXELSRGB
SETTEXTCOLOR
SETTEXTCOLORRGB
SETTEXTCURSOR
SETTEXTPOSITION
SETTEXTWINDOW
SETVIEWORG
SETVIEWPORT
SETWINDOW
SETWRITEMODE
WRAPON
SPORT_CANCEL_IO
SPORT_CONNECT
SPORT_CONNECT_EX
SPORT_GET_HANDLE
SPORT_GET_STATE
SPORT_GET_STATE_EX
SPORT_GET_TIMEOUTS
SPORT_PEEK_DATA
SPORT_PEEK_LINE
SPORT_PURGE
SPORT_READ_DATA
SPORT_READ_LINE
SPORT_RELEASE
SPORT_SET_STATE
SPORT_SET_STATE_EX
SPORT_SET_TIMEOUTS
SPORT_SHOW_STATE
SPORT_SPECIAL_FUNC
SPORT_WRITE_DATA
SPORT_WRITE_LINE
DLGEXIT
DLGFLUSH
DLGGET, DLGGETINT, DLGGETLOG, DLGGETCHAR
DLGINIT, DLGINITWITHRESOURCEHANDLE
DLGISDLGMESSAGE, DLGISDLGMESSAGEWITHDLG
DLGMODAL, DLGMODALWITHPARENT
DLGMODELESS
DLGSENDCTRLMESSAGE
DLGSET, DLGSETINT, DLGSETLOG, DLGSETCHAR
DLGSETCTRLEVENTHANDLER
DLGSETRETURN
DLGSETSUB
DLGSETTITLE
DLGUNINIT
Supported Environment Variables
Use Other Methods to Set Environment Variables
Files Associated with Intel® Fortran Applications on Windows
Compile and Link Multithreaded Programs
Linking Tools and Options
Use Configuration Files
Use Response Files
Create Fortran Executables
Link Debug Information
Debugging
Prepare Your Program for Debugging
Use Breakpoints in the Microsoft Debugger
Debug the Squares Example with Microsoft Debugger
View Fortran Data Types in the Microsoft Debugger
View the Call Stack in the Microsoft Debugger
Locate Unaligned Data
Debug a Program that Encounters a Signal or Exception
Debugging and Optimizations
Debug Mixed-Language Programs
Debug Multithreaded Programs
Use Remote Debugging
Support for 64-bit Architecture on Linux
Traceback
Allocate Common Blocks
Generate Listing and Map Files
Create Shared Libraries
Specify Alternative Tools and Locations
Temporary Files Created by the Compiler or Linker
Use the Intel® Fortran COM Server on Windows
Use the Intel® Fortran Module Wizard (COM Client) on Windows
IFPORT Portability Library
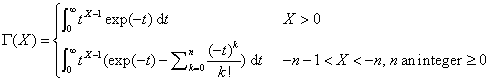
GAMMA
Elemental Intrinsic Function (Generic): Returns the gamma value of its argument.
result = GAMMA (x)
x |
(Input) Must be of type real. It must not be zero or a negative number. |
Results
The result type and kind are the same as x.
The result has a value equal to a processor-dependent approximation to the gamma function of x,

Example
GAMMA (1.0) has the approximate value 1.000.
Parent topic: G